相关产品推荐更多 >
万千商家帮你免费找货
0 人在求购买到急需产品
- 详细信息
- 技术资料
- 库存:
183
- 英文名:
Acythylmedecamycin
- CAS号:
55881-07-7
- 保质期:
长期
- 供应商:
北京百奥莱博科技有限公司
- 保存条件:
2-8℃
- 规格:
100mg
特别提示:包括醋酸麦迪霉素在内,本公司的所有产品仅可用于科研实验,严禁用于临床医疗及其他非科研用途!
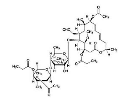
产品名称:醋酸麦迪霉素
英文名称:Acythylmedecamycin
产品货号:BP1583
产品规格:100mg
本品为醋酸麦迪霉素标准品,供抗生素微生物效价测定用,使用前不需干燥处理。
CAS号:55881-07-7
分子式:C45H71NO17
分子量:898.04
结构式:
包装:白色安瓿
规格:约100毫克/支
储存条件:2-8℃保存
除了醋酸麦迪霉素,,我公司还供应以下相关产品:
| 货号 | 名称 | 规格 |
| BP0070 | 葡萄糖酸钙 | 100mg |
| BP0114 | N-甲基*嗪 | 50mg |
| BP0127 | 西咪替丁 | 100mg/支 |
| BP0234 | 酮康唑 | 100mg |
| BP0582 | 西替利嗪杂质A(1-[(4-氯*)苯甲基]*嗪) | 50mg |
| BP0694 | 阿达帕林 | 100mg |
| BP0724 | 右羟丙*嗪 | 约50毫克/支 |
| BP0958 | 左奥硝唑杂质Ⅲ | 50毫克/支 |
| BP0975 | 盐酸米多君杂质I | 30毫克/支 |
| BP1433 | 旱莲苷A | 10mg/支 |
| BP1474 | 银杏内酯K | 约20mg/支 |
| BP1534 | 凤仙萜四醇苷A | 20mg/支 |
| BP1588 | 4-差向四环素 | 50mg |
| BP1638 | 克林霉素磷酸酯 | 100mg/支 |
| BP1657 | 头孢米诺 | 100mg |
| BP1707 | 比阿培南 | 50mg/支 |
| BP1933 | 人绝经尿促性腺素(HMG) | FSH:247IU/支;LH:202IU/支 |
| BP1957 | 那可丁 | 100mg |
| BP2046 | 半乳糖醇 | 50mg |
风险提示:丁香通仅作为第三方平台,为商家信息发布提供平台空间。用户咨询产品时请注意保护个人信息及财产安全,合理判断,谨慎选购商品,商家和用户对交易行为负责。对于医疗器械类产品,请先查证核实企业经营资质和医疗器械产品注册证情况。
技术资料暂无技术资料 索取技术资料
醋酸麦迪霉素
¥380 - 3800









