相关产品推荐更多 >
万千商家帮你免费找货
0 人在求购买到急需产品
- 详细信息
- 文献和实验
- 技术资料
- 库存:
72
- 英文名:
Ketoconazole Impurity B
- 保质期:
长期
- 供应商:
北京百奥莱博科技有限公司
- 保存条件:
常温
- 规格:
30mg
特别提示:包括酮康唑杂质B在内,本公司的所有产品仅可用于科研实验,严禁用于临床医疗及其他非科研用途!
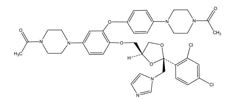
产品名称:酮康唑杂质B
英文名称:Ketoconazole Impurity B
产品货号:BP1752
产品规格:30mg
本品为酮康唑杂质B化学对照品,供酮康唑杂质检查用
分子式:C38H42Cl2N6O6
结构式:
分子量:748.3
包装及装量:安瓿;30mg/支
储存条件:常温避光保存。
除了酮康唑杂质B,,我公司还供应以下相关产品:
| 货号 | 名称 | 规格 |
| BP0544 | 马来酸依那普利杂质Ⅱ(依那普利双酮) | 30mg/支 |
| BP0621 | 富马酸喹硫平 | 100mg |
| BP0726 | 帕米膦*二钠 | 100mg |
| BP0771 | 氯氧喹 | 100mg |
| BP0912 | 波生坦 | 100mg/支 |
| BP0913 | 盐酸兰地洛尔 | 100mg/支 |
| BP1117 | 广藿香油 | 1ml |
| BP1645 | 头孢克洛δ-3异构体 | 50mg |
| BP2084 | 环甲基硅酮6 | 0.5g/瓶 |
| BP2195 | 硫代艾地那非 | 30mg/支 |
| GL1352 | pH标准缓冲粉剂(pH=9.18) | 1L |
风险提示:丁香通仅作为第三方平台,为商家信息发布提供平台空间。用户咨询产品时请注意保护个人信息及财产安全,合理判断,谨慎选购商品,商家和用户对交易行为负责。对于医疗器械类产品,请先查证核实企业经营资质和医疗器械产品注册证情况。
文献和实验剂量应随病原真菌而异。 3.酮康唑(ketoconazole)是广谱抗真菌药。对念珠菌和表浅癣菌有强大抗菌力。口服易吸收,血浆蛋白结合率达80%以上,不易透过血脑屏障,血浆t1/2为7~8小时。口服治疗多种浅部真菌病的疗效至少相当于或优于灰黄霉素、两性霉素B和咪康唑。酮康唑在酸性溶液中溶解吸收,因此不能与抗酸药、胆碱受体阻断药及H2受体阻断药同服,必要时至少相隔2小时。老年人胃酸缺乏,应将药片溶于4ml的稀盐酸中服下。不良反应有胃肠道反应,血清转氨酶升同,偶有严重肝毒性及过敏
3.酮康唑(ketoconazole)是广谱抗真菌药。对念珠菌和表浅癣菌有强大抗菌力。口服易吸收,血浆蛋白结合率达80%以上,不易透过血脑屏障,血浆t1/2为7~8小时。口服治疗多种浅部真菌病的疗效至少相当于或优于灰黄霉素、两性霉素B和咪康唑。酮康唑在酸性溶液中溶解吸收,因此不能与抗酸药、胆碱受体阻断药及H2受体阻断药同服,必要时至少相隔2小时。老年人胃酸缺乏,应将药片溶于4ml的稀盐酸中服下。不良反应有胃肠道反应,血清转氨酶升同,偶有严重肝毒性及过敏反应等。 4.氟康
。 防治花斑癣要注意个人卫生,病人的衬衫、裤子、被单等都 要煮沸消毒。可用复方雷琐辛溶液,或40%硫代硫酸钠溶液外搽。 必要时可用酮康唑内服,对本病疗效颇好。
技术资料暂无技术资料 索取技术资料










