相关产品推荐更多 >
万千商家帮你免费找货
0 人在求购买到急需产品
- 详细信息
- 询价记录
- 文献和实验
- 技术资料
- 库存:
404
- 英文名:
Chlorogenic acid
- CAS号:
327-97-9
- 保质期:
长期
- 供应商:
北京百奥莱博科技有限公司
- 保存条件:
冷处(2-10℃)
- 规格:
约20mg/支
特别提示:包括绿原酸在内,本公司的所有产品仅可用于科研实验,严禁用于临床医疗及其他非科研用途!
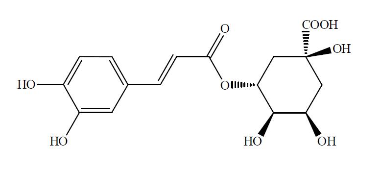
产品名称:绿原酸
英文名称:Chlorogenic acid
产品货号:BP1050
产品规格:约20mg/支
本品为绿原酸化学对照品,供鉴别或含量测定用。置五氧化*磷干燥器中减压干燥12小时后使用,含量以99.3%计。
CAS号:327-97-9
分子式:C16H18O9
分子量:354.31
结构式:
包装:棕色瓶
规格:约20mg/支
储存条件:冷处(2-10℃)、遮光。
除了绿原酸,,我公司还供应以下相关产品:
名称:对乙酰氨基酚
货号:BP0017
规格:1克/支
本品供含量测定用,使用前不需干燥处理,供HPLC法测定,按C8H9NO2计,含量为99.9%。
分子式:C8H9NO2
分子量:151.16
CAS号:103-90-2
包装:棕色西林瓶
规格:约1克/支
储存条件:遮光,密闭,10~30℃保存。
名称:盐酸多巴胺
货号:BP0060
规格:200mg
本品为盐酸多巴胺(DopamineHydrochloride)的化学对照品,使用前不需干燥处理。供HPLC法含量测定用,按C8H11NO2·HCl计算,含量为99.8%。
分子式:C8H11NO2·HCl
结构式:
分子量:189.64
CAS号:62-31-7
包装:安瓿瓶装
规格:约200毫克/支
储存条件:遮光,密闭,冷处保存。
名称:盐酸司他斯汀
货号:BP0529
规格:100mg
名称:盐酸米安色林
货号:BP0618
规格:100mg
名称:膦甲*钠
货号:BP0710
规格:100mg
名称:盐酸贝凡洛尔
货号:BP0755
规格:100mg
名称:金刚烷
货号:BP0865
规格:500mg
本品为金刚烷化学对照品,供检查用,使用前不需干燥处理,供GC法系统适用性试验用。
CAS号:281-23-2
分子式:C10H16
分子量:136.23
结构式:
包装及装量:棕色西林瓶,约500mg/支。
储存条件:遮光,密封保存。
名称:盐酸普罗帕酮
货号:BP0866
规格:100mg
本品为盐酸普罗帕酮化学对照品,供UV法溶出度检查用,按C21H27NO3·HCl计,含量为99.9%。
CAS号:34183-22-7
分子式:C21H27NO3·HCl
分子量:377.91
包装及装量:棕色小瓶装,每支约100毫克。
储存条件:遮光,密封保存。
注意事项:使用前无需处理。
名称:表儿茶素没食子酸酯
货号:BP1519
规格:20mg
本品为表儿茶素没食子酸酯化学对照品,供鉴别和含量测定用,含量以98.1%计,使用前不需干燥处理。
CAS号:1257-08-5
分子式:C22H18O10
分子量:442.37
结构式:
包装:棕色安瓿
规格:约20mg/支
储存条件:4℃保存
名称:舍雷肽酶
货号:BP1840
规格:25mg
本品为舍雷肽酶化学对照品,供舍雷肽酶鉴别用。
包装:棕色小瓶
规格:每支25mg
储存条件:密封保存。
名称:酮苯丙氨酸钙
货号:BP1903
规格:220mg/瓶
本品为酮苯丙氨酸钙化学对照品,含量以C18H14CaO6计为94.7%,供鉴别与含量测定。
CAS号:51828-93-4
分子式:C18H14CaO6
分子量:366.38
结构式:
包装及装量:2ml棕色西林瓶轧铝盖,220mg/瓶
储存条件:2-8℃保存
注意事项:使用前不需干燥处理。
风险提示:丁香通仅作为第三方平台,为商家信息发布提供平台空间。用户咨询产品时请注意保护个人信息及财产安全,合理判断,谨慎选购商品,商家和用户对交易行为负责。对于医疗器械类产品,请先查证核实企业经营资质和医疗器械产品注册证情况。
- 作者
- 内容
- 询问日期
文献和实验- 抑制。和抗坏血酸氧化酶一起,借助氧使酚类氧化,所产生的苯醌类在醌还原酶的作用下可被谷胱甘肽和 NADPH等还原,构成一种电子传递系统。如果发生象马铃薯块茎切口那样的细胞损伤,由于绿原酸和酪氨酸的氧化产生的醌不能还原,而聚合生成黑素变成褐色。
相映,故名“金银花”。浆果球形,熟时黑色。适应性强,对气候、土壤要求不严。山坡、河堤等处都可种植。但需阳光充足,在砂质壤土栽培更为适宜。通常用插条繁殖。一般在6~8月选阴天取1~2年生的健壮枝条直接扦插,或育苗后移栽。萌芽期和头茬花采收后要追肥。春季及夏季进行合理修枝,以利通风透光,促使植株多发新枝,多开花蕾,提高产量。病虫害有忍冬褐斑病、蚜虫等。金银花于5~6月间花蕾膨大呈青白色至白色时采收,采后晒干或烘干。忍冬藤于秋冬割取嫩枝晒干。 金银花含异绿原酸、绿原酸、木犀草素、肌醇及挥发油;叶含
系金鸡纳树皮、咖啡的种子,苹果、桃子等的果实中含量很多的高等植物特有的脂环族有机酸,普遍分布于维管束植物,常与莽草酸共存。此外还发现在许多植物组织中作为绿原酸( chlorogenic acid)等的缩酚酸类的组成成分。在植物体内与莽草酸同样是作为一种芳香族氨基酸生物合成的前体物质,但在代谢上的作用仍未阐明。土壤细菌或霉菌可利用奎宁酸作为碳源,因此与此相伴地可观察到代谢系统生化方面的变化。
技术资料暂无技术资料 索取技术资料










