相关产品推荐更多 >
万千商家帮你免费找货
0 人在求购买到急需产品
- 详细信息
- 询价记录
- 文献和实验
- 技术资料
- 库存:
387
- 英文名:
Aclarubicin
- CAS号:
57576-44-0
- 保质期:
长期
- 供应商:
北京百奥莱博科技有限公司
- 保存条件:
2-8℃
- 规格:
20mg/支
特别提示:包括阿柔比星在内,本公司的所有产品仅可用于科研实验,严禁用于临床医疗及其他非科研用途!
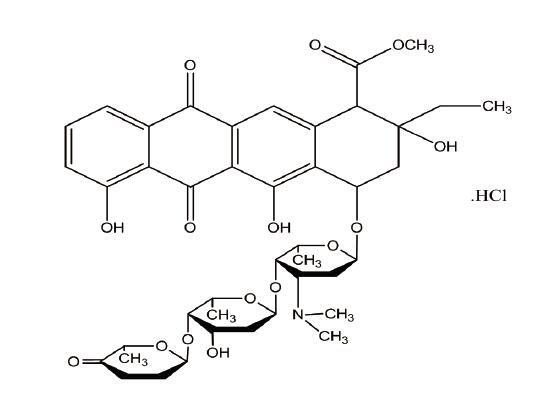
产品名称:阿柔比星
英文名称:Aclarubicin
产品货号:BP1746
产品规格:20mg/支
本品为阿柔比星化学对照品,供HPLC含量测定用,以阿柔比星(C42H53NO15)计,每支含阿柔比星为19.10mg。使用前不需干燥处理。使用时需要整瓶稀释。
CAS号:57576-44-0
分子式:C42H53NO15·HCl
分子量:847.3
结构式:
包装:西林瓶
规格:20mg/支
储存条件:2-8℃保存
除了阿柔比星,,我公司还供应以下相关产品:
| 货号 | 名称 | 规格 |
| BP0107 | 奋乃静 | 100mg |
| BP0162 | 硫唑嘌呤 | 50mg |
| BP0189 | 环吡酮胺 | 50mg/支 |
| BP0392 | 盐酸贝那替嗪 | 100mg |
| BP0401 | 异丙安替比林 | 200毫克/支 |
| BP0682 | 甲磺酸齐拉西酮 | 100mg |
| BP0814 | 二甘醇 | 100mg |
| BP0904 | 美他沙酮 | 100mg |
| BP0961 | 吗替麦考酚酯杂质H | 20mg/支 |
| BP1017 | 丹皮酚 | 50mg/支 |
| BP1018 | 齐墩果酸 | 20mg/支 |
| BP1020 | 粉防己碱 | 20mg/支 |
| BP1099 | 血竭素高氯酸盐 | 20mg/支 |
| BP1195 | 荆芥油 | 0.2ml |
| BP1198 | 八角茴香油 | 0.2ml |
| BP1214 | 远志皂苷元 | 20mg |
| BP1318 | 木犀草苷 | 约20mg/支 |
| BP1322 | 胡黄连苷 Ⅰ | 约20mg/支 |
| BP1441 | 对羟基苯乙酮 | 20mg/支 |
| BP1619 | 青霉素酶(盒) | 2mL/支,10支/盒 |
| BP1694 | 卡那霉素 | 200mg/支 |
| BP1760 | 伊曲康唑杂质E | 30mg/支 |
| BP1852 | 脱氧核糖腺嘌呤核苷酸钠(A) | 20mg/瓶 |
| BP2025 | 甘油 | 2g/支 |
| GL2318 | 标准葡萄糖溶液(100mmol/L) | 1ml |
风险提示:丁香通仅作为第三方平台,为商家信息发布提供平台空间。用户咨询产品时请注意保护个人信息及财产安全,合理判断,谨慎选购商品,商家和用户对交易行为负责。对于医疗器械类产品,请先查证核实企业经营资质和医疗器械产品注册证情况。
- 作者
- 内容
- 询问日期
文献和实验PNAS | 蒽环化疗药物心脏毒性的新机制及新药化学合成策略
蒽环类药物,主要包括阿霉素(多柔比星,doxorubicin, Doxo)、柔红霉素(Daunorubicin, Daun)、伊达比星(Idarubicin, Ida)和阿柔比星(Aclarubicin, Acla),是一类高效广谱的化疗药物,广泛应用于多种血液系统肿瘤和实体瘤的治疗。图片来源:PNAS然而,蒽环类药物的临床应用常受到其心脏毒性的限制。该副作用通常表现为剂量相关的、迟发的和不可逆的心脏衰竭。目前,尚无用于预防和控制的药物,严重的病人只能接受心脏移植。因此,一旦达到指导性的安全
如下CAG方案治疗:阿糖胞苷10mg/m2,肌肉注射每12小时一次,连续用药14天;阿柔比星10mg/m2/d,第1-4天静脉注射;特尔津(rhG-CSF,厦门特宝生物工程股份有限公司),皮下注射,第0天至第14天或者WBC大于0.5×109/L时停药。化疗期间,给予镇吐、保肝、补液等支持治疗,有感染者给予抗生素。结果显示,25例患者中获得完全缓解12例,其中2例经2疗程达到完全缓解;总有效率60%。在这12例达到完全缓解的患者中,继续应用rhG-CSF预激的CAG方案巩固一个疗程,除1例中途失访和3例
技术资料暂无技术资料 索取技术资料










