相关产品推荐更多 >
万千商家帮你免费找货
0 人在求购买到急需产品
- 详细信息
- 文献和实验
- 技术资料
- 库存:
246
- 英文名:
Etoposide (100mM)
- 保质期:
6个月
- 供应商:
北京百奥莱博科技有限公司
- 保存条件:
-20℃
- 规格:
100μl
特别提示:包括依托泊甙溶液(100mM)在内,本公司的所有产品仅可用于科研实验,严禁用于临床医疗及其他非科研用途!
产品名称:依托泊甙溶液(100mM)
英文名称:Etoposide (100mM)
产品货号:SY0483
产品规格:100μl
依托泊甙,是一种抗肿瘤试剂,作为一种凋亡诱导剂,依托泊甙是一种拓扑异构酶II抑制剂(IC50=59.2μM),常用工作浓度5-50µM。
英文别名:4-Demethylepipodophyllotoxin; EPEG1; VP-16; VP-16213; NK 171; NSC-141540; 9-(4,6-O-Ethylidene-b-D-Glucopyranoside)
CAS:33419-42-0
分子式:C29H32O13
分子量:588.56
储存条件:-20℃,有效期6个月
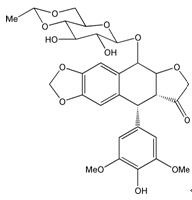
结构式
除了依托泊甙溶液(100mM),4-Demethylepipodophyllotoxin,NSC-141540,EPEG1,9-(4,6-O-Ethylidene-b-D-Glucopyranoside),VP-16213,NK 171,VP-16,我公司还供应以下相关产品:
YT137 TUNEL细胞凋亡检测试剂盒(显色法) 20次|50次
YT146 Caspase 3抑制剂(Ac-DEVD-CHO) 10mM×0.1ml|5mg
YT896 活细胞染色液(Hoechst 33342)(100×) 0.1ml|0.5ml|3ml
SNM523 DNA损伤试剂盒(彗星电泳法) 20T
SNM524 线粒体膜电位检测试剂盒(JC-1法) 50T|20T|10T
SNM537 TUNEL细胞凋亡原位检测试剂盒(显色法,石蜡切片) 50T|20T
KFS193 Annexin V-kFluor555/7-AAD双染细胞凋亡检测试剂盒 10T|20T|50T|100T
KFS199 Caspase 3荧光法检测试剂盒(AFC) 20T|50T|100T
KFS202 Caspase 8分光光度法检测试剂盒 20T|50T|100T
KFS209 细胞凋亡DNA Ladder检测试剂盒 20T|50T|100T
KFS250 活细胞/凋亡细胞/坏死细胞鉴别试剂盒(AO/EB法.荧光显微镜) 50T|100T
KFS318 XTT细菌增殖及细菌毒性检测试剂 500T|1000T
KFS341 DNA损伤/断裂分析试剂盒(IF FM HCS法,橙/绿/蓝) 100T
SY0473 细胞凋亡检测试剂盒(Annexin V-Alexa Fluor 647/PI) 20 rxn
SY0475 TUNEL细胞凋亡检测试剂盒(FITC) 20T
SY0477 TUNEL细胞凋亡检测试剂盒(Alexa Fluor 647) 20 rxn
SY0499 Hoechst 33342染液(即用型) 10ml
SY0502 MTT(噻唑兰) 250mg
HR0453 DAPI染色试剂盒 100T
HR0456 Propidium Iodide染色试剂盒 100T
HR0462 AO/PI双染试剂盒 100T
HR0449 线粒体绿色荧光染色试剂盒 100T
HR8273 线粒体膜电位检测试剂盒(TMRM法) 50T/100T
HR0405 Annexin V-Alexa Fluor 488/PI双染细胞凋亡检测试剂盒 20T/50T/100T
HR8280 Annexin V-FITC/7-AAD双染细胞凋亡检测试剂盒 20T/50T/100T
HR8284 Annexin V-APC/PI细胞凋亡检测试剂盒 50T/100T
HR0471 Camptothecin(5mM) 400μl
HQF08 甲基化试剂盒 50次/100次
风险提示:丁香通仅作为第三方平台,为商家信息发布提供平台空间。用户咨询产品时请注意保护个人信息及财产安全,合理判断,谨慎选购商品,商家和用户对交易行为负责。对于医疗器械类产品,请先查证核实企业经营资质和医疗器械产品注册证情况。
文献和实验与所有的化学平衡一样,当溶液的浓度、温度等条件改变时,弱酸、弱碱的解离平衡会发生移动。就浓度的改变来说,除用稀释的方法外,还可在弱酸、弱碱溶液中加入具有相同离子的强电解质以改变某一离子的浓度,从而引起弱酸或弱碱解离平衡的移动。例如,往 HAc 溶液中加入 NaAc ,由于 Ac - 离子浓度增大,使平衡向生成 HAc 的一方移动,结果就降低了 HAc 的解离度。又如,往 NH 3 水溶液中加入 NH 4 Cl ,由于 弱酸溶液中加入该酸的共轭
人S 蛋白100B (S-100B) 酶联免疫分析 试剂盒使用说明书 本试剂仅供研究使用 目的:本试剂盒用于测定人血清,血浆及相关液体样本中S 蛋白100B (S-100B) 的含量。 实验原理: 本试剂盒应用双抗体夹心法测定标本中人 S 蛋白 100B (S-100B) 水平。用纯化的人 S 蛋白 100B (S-100B) 抗体包被微孔板,制成固相抗体,往包被单抗的微孔中依次加入 S 蛋白 100
Introduction to QM/MM Simulations
Hybrid quantum mechanics/molecular mechanics (QM/MM) simulations have become a popular tool for investigating chemical reactions in condensed phases. In QM/MM methods, the region of the system in which the chemical process takes place
技术资料暂无技术资料 索取技术资料









