相关产品推荐更多 >
万千商家帮你免费找货
0 人在求购买到急需产品
- 详细信息
- 文献和实验
- 技术资料
- 库存:
120
- 英文名:
Terbutaline sulfate impurity Ⅰ(1-(3,5-Dihydroxyphenyl)-2-[(1,1-dimethylethyl)amino]ethanone)
- 保质期:
长期
- 供应商:
北京百奥莱博科技有限公司
- 保存条件:
密闭,10~30℃
- 规格:
30mg/支
特别提示:包括硫酸特布他林杂质Ⅰ在内,本公司的所有产品仅可用于科研实验,严禁用于临床医疗及其他非科研用途!
产品名称:硫酸特布他林杂质Ⅰ
英文名称:Terbutaline sulfate impurity Ⅰ(1-(3,5-Dihydroxyphenyl)-2-[(1,1-dimethylethyl)amino]ethanone)
产品货号:BP0981
产品规格:30mg/支
本品为硫酸特布他林杂质Ⅰ化学对照品,供系统适用性试验用,使用前不需干燥处理。
分子式:C12H17NO3·HCl
分子量:259.77
装量:约30毫克/支。
储存条件:密闭,10~30℃保存。
注意事项:本品为硫酸特布他林杂质Ⅰ的盐酸盐。
除了硫酸特布他林杂质Ⅰ,,我公司还供应以下相关产品:
名称:环磷酰胺
货号:BP0190
规格:100mg/支
本品为环磷酰胺的化学对照品,供HPLC法含量测定用,使用前不需干燥处理,按C7H15Cl2N2O2P计,含量为93.5%。
分子式:C7H15Cl2N2O2P·H2O
分子量:279.10
CAS号:6055-19-2
包装:棕色安瓿瓶。
规格:100毫克/支。
储存条件:遮光,密封,2-8℃冷藏保存。
名称:枸橼酸锌
货号:BP0282
规格:100mg
本品为枸橼酸锌化学对照品,含两分子结晶水。供原子吸收法溶出度测定用。
分子式:C12H10O14Zn3·2H2O
分子量:610.35
CAS号:5990-32-9
包装及装量:棕色小瓶装,每支约100毫克。
储存条件:遮光,密闭保存。
注意事项:使用前不需干燥处理。
名称:苯磺酸氨氯地平
货号:BP0300
规格:100mg/支
本品为苯磺酸氨氯地平化学对照品,供含量测定用,105℃干燥2小时后使用,供HPLC法测定,按C20H25ClN2O5·C6H6O3S计,含量为100.0%。
分子式:C20H25ClN2O5·C6H6O3S
分子量:567.05
CAS号:11470-99-6
包装:棕色小瓶装
规格:每支约100毫克
储存条件:遮光,密闭,10~30℃保存。
名称:非诺贝特
货号:BP0565
规格:100mg
本品为非诺贝特化学对照品,使用前不需干燥处理。供含量测定用,按C20H21ClO4计算,含量为99.9%。
CAS号:49562-28-9
分子式:C20H21ClO4
分子量:360.84
结构式:
包装:西林瓶装
规格:约100毫克
储存条件:遮光,密闭保存
名称:维库溴铵
货号:BP0619
规格:100mg
本品为维库溴铵化学对照品,在低于10%RH相对湿度条件下称量,供HPLC法含量测定用。按C34H57BrN2O4计,含量为99.8%。
CAS号:50700-72-6
分子式:C34H57BrN2O4
分子量:637.73
包装及装量:安瓿装,每支约100毫克。
储存条件:遮光,阴凉处保存。
注意事项:本品有引湿性,打开包装一次性使用完毕。以*氧化二磷为干燥剂真空干燥3 小时后使用。
名称:盐酸贝尼地平
货号:BP0767
规格:100mg
本品为盐酸贝尼地平化学对照品,供UV法测定,按C28H31N3O6·HCl计,含量为100%。
CAS号:91599-74-5
分子式:C28H31N3O6·HCl
分子量:542.03
包装及装量:棕色小瓶装,每支约100毫克。
储存条件:遮光,密封保存。
注意事项:105℃干燥2小时后使用。
名称:羟基脲
货号:BP0868
规格:100mg/支
本品为羟基脲化学对照品,供HPLC法含量测定用,按CH4N2O2计,含量为99.8%,使用前不需要干燥处理。
CAS号:127-07-1
分子式:CH4N2O2
分子量:76.06
包装:棕色西林瓶装。
规格:约100毫克/支
储存条件:遮光,密封保存。
名称:吲哚美辛杂质I(2-甲基-5-甲氧基-1H-吲哚-3-乙酸)
货号:BP0962
规格:50毫克/支
本品为吲哚美辛杂质I(2-甲基-5-甲氧基-1H-吲哚-3-乙酸)化学对照品,供检查用。室温减压干燥24小时后使用,供HPLC法测定,按C12H13NO3计,含量为100%。
CAS号:2882-15-7
分子式:C12H13NO3
分子量:219.24
包装:安瓿瓶
规格:约50毫克/支
储存条件:遮光,密闭,2~8℃保存。
名称:吲哚美辛杂质II(4-氯**酸)
货号:BP0963
规格:50毫克/支
本品为吲哚美辛杂质II(4-氯**酸)化学对照品,供检查用。使用前不需干燥,供HPLC法测定,按C7H5ClO2计,含量为100%。
CAS号:74-11-3
分子式:C7H5ClO2
分子量:156.57
包装:棕色西林瓶
规格:约50毫克/支
储存条件:遮光,密闭,10~30℃保存。
名称:佐米曲普坦R-异构体
货号:BP0991
规格:约20毫克/支
本品为佐米曲普坦R-异构体化学对照品,供毛细管电泳法系统适用性试验用,使用前不需干燥。
CAS号:139264-24-7
分子式:C16H21N3O2
分子量:287.36
结构式:
包装:棕色西林瓶
规格:约20毫克/支
储存条件:遮光,10~30℃密闭保存
名称:氢溴*槟榔碱
货号:BP1290
规格:30mg/支
本品为氢溴*槟榔碱化学对照品,供含量测定用,含量以99.8%计,置*氧化二磷干燥器中减压干燥12小时以上使用。
CAS号:300-08-3
分子式:C8H13NO2·HBr
分子量:236.12
结构式:
包装:棕色安瓿
装量:约30mg/支
储存条件:阴凉处保存
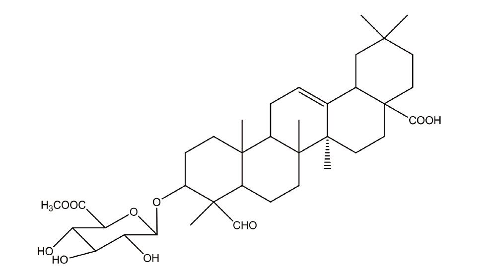
名称:丝石竹皂苷元-3-O-β-D-葡萄糖醛酸甲酯
货号:BP1489
规格:20mg
本品为丝石竹皂苷元-3-O-β-D-葡萄糖醛酸甲酯化学对照品,供鉴别和含量测定用,含量以97.5%计。
CAS号:96553-02-5
分子式:C37H56O10
分子量:660
结构式:
包装及装量:棕色安瓿瓶,约20mg/支。
储存条件:干燥避光。
注意事项:本品具有引湿性,打开后一次性使用完毕。使用前无需处理。
名称:依替米星
货号:BP1584
规格:200mg
本品为依替米星标准品,供抗生素微生物效价测定用,使用前不需干燥处理。
CAS号:362045-44-1
分子式:(C21H43N5O7)2·5H2SO4
分子量:1445.58
结构式:
包装:白色安瓿
规格:约200毫克/支
储存条件:2-8℃保存
名称:5’-胞苷酸
货号:BP1866
规格:10mg/瓶
本品为5"-胞苷酸化学对照品,供胞磷胆碱钠及制剂含量测定中系统适用性试验和有关物质检查用。含量为99.6%。
CAS号:63-37-6
分子式:C9H14N3O8P
分子量:323.19
使用方法:按照质量标准方法称量溶解使用。
包装及装量:2ml西林瓶,约10mg/瓶
储存条件:4~8℃保存。
注意事项:使用前无需干燥处理。
名称:戈那瑞林
货号:BP1876
规格:15mg
本品为戈那瑞林化学对照品,供HPLC法鉴别和含量测定用,以C55H75N17O13计,含量为87.7%。使用前不需干燥处理。
CAS号:33515-09-2
分子式:C55H75N17O13
分子量:1182.3
结构式:
包装:棕色安瓿瓶
规格:约15毫克/支
储存条件:遮光,密封,-20℃保存。
注意事项:本品具有引湿性,临用前将安瓿瓶垂直放置室温平衡至少2小时再开封,30%以下湿度环境下尽快称量,开封后一次性使用。
风险提示:丁香通仅作为第三方平台,为商家信息发布提供平台空间。用户咨询产品时请注意保护个人信息及财产安全,合理判断,谨慎选购商品,商家和用户对交易行为负责。对于医疗器械类产品,请先查证核实企业经营资质和医疗器械产品注册证情况。
文献和实验值,若OD260 /OD280 > 2. 0,表明DNA 中含有RNA杂质。若OD260 /OD280 1. 2. 3 质粒DNA单酶切后的电泳检测[ 2 ] 分别取四种方法得到的质粒DNA 1μl,进行酶切。反应体系为20μl,在0. 5ml Eppendorf管中依次加入ddH2O,10 ×酶切反应缓冲液, BSA, 1μg质粒DNA,限制性内切酶Sma Ⅰ0. 5μl, 于37℃酶切2h, 加适当loadingbuffer混匀上样, 在0. 8%琼脂糖凝胶上电泳,采用5V / cm的电压
溶液并调节检测灵敏度后,取供试品溶液和对照溶液适量,分别进样,前者的记录时间,除另有规定外,应为主成分保留时间的2倍,测量供试品溶液色谱图上各杂质的峰面积并与对照溶液主成分的峰面积比较,计算杂质含量。若供试品所含的部分杂质未与溶剂峰完全分离,则按规定先记录供试品溶液的色谱图Ⅰ,再记录等体积纯溶剂的色谱图Ⅱ。色谱图Ⅰ上杂质峰的总面积(包括溶剂峰),减去色谱图Ⅱ上的溶剂峰面积,即为总杂质峰的校正面积。然后依法计算。 (5)面积归一化法 由于峰面积归一化法测定误差大,因此,本法通常只能
李文强, 张改生, 汪奎, 牛娜, 潘栋梁西北农林科技大学 陕西省作物杂种优势研究与利用重点实验室, 杨凌 7121 00摘要: 以小麦黄化苗为材料, 通过简单差速离心、DNaseⅠ处理得到无核DNA 杂质的线粒体, 用SDS 和蛋白酶K 裂解线粒体, 经酚/氯仿抽提除去蛋白, 并用RNase A 消化而得到单纯线粒体DNA(mtDNA)。对所提取的mtDNA 进行紫外吸收光度分析, A260/A280 平均为1.92, A260/A230 平均为2.09, 平均每克黄化苗可提取mtDNA
技术资料暂无技术资料 索取技术资料










