相关产品推荐更多 >
万千商家帮你免费找货
0 人在求购买到急需产品
- 详细信息
- 文献和实验
- 技术资料
- 库存:
268
- 英文名:
Ginsenoside Rd
- CAS号:
52705-93-8
- 保质期:
2年
- 供应商:
北京百奥莱博科技有限公司
- 保存条件:
-20℃,有效期2年,溶入溶剂后-20℃
- 规格:
1mL(10mM)|5mg|10mg
特别提示:包括人参皂苷Rd(Ginsenoside Rd)在内,本公司的所有产品仅可用于科研实验,严禁用于临床医疗及其他非科研用途!
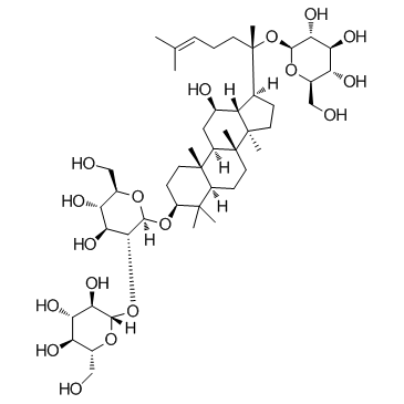
产品名称:人参皂苷Rd(Ginsenoside Rd)
英文名称:Ginsenoside Rd
产品货号:M04905
产品规格:1mL(10mM)|5mg|10mg
人参皂苷Rd(Ginsenoside Rd)是具有心血管保护、神经保护作用,抗炎等生物活性天然化合物。
注:本品仅可用于科研实验,严禁用于临床医疗及其他用途!
CAS号:52705-93-8
别名:Gypenoside VIII
纯度:98.0%
分子式:C₄₈H₈₂O₁₈
分子量:947.15
结构式:
储存条件:-20℃,有效期2年,溶入溶剂后-20℃请尽量在一个月内使用。
除了人参皂苷Rd(Ginsenoside Rd),Gypenoside VIII,我公司还供应以下相关产品:
YT024 BL21甘油菌 200μl
M00193 烷化剂Cyclophosphamide 1mL(10mM)|100mg|200mg|500mg
M00397 Puromycin aminonucleoside 1mL(10mM)|5mg|10mg|50mg|100mg
M01327 Pemetrexed disodium hemipenta hydrate 1mL(10mM)|100mg|500mg
M01682 莪术醇(Curcumol) 1mL(10mM)|5mg|10mg
M01717 L-Ascorbic acid sodium 1mL(10mM)|1g
M01818 PF-06380101 1mL(10mM)|1mg|5mg|10mg
M02354 ERR降解剂(Elacestrant S enantiomer dihydrochloride) 1mL(10mM)|1mg|5mg|10mg|50mg
M02640 Sarsasapogenin 1mL(10mM)|25mg|50mg|100mg
M02692 6-Aminochrysene 1mL(10mM)|25mg
M03941 Tildipirosin 1mL(10mM)|5mg|10mg|50mg|100mg
M04755 Flurbiprofen 1mL(10mM)|100mg|500mg
M05531 Paricalcitol-D6 1mg|5mg|10mg
M05667 VIP拮抗剂 1mL(10mM)|500ug|1mg|5mg
M05937 5-HT2受体拮抗剂 1mL(10mM)|50mg|100mg|500mg|1g
M06316 Fluroxene 1mL(10mM)|100mg
M06463 mGlu5拮抗剂(MTEP hydrochloride) 1mL(10mM)|10mg|50mg
M06943 AMPA受体阻断剂(gamma-DGG) 1mL(10mM)|5mg|10mg|50mg|100mg
M07090 Methylene Blue 1mL(10mM)|100mg|500mg
M07509 Aspartame 1mL(10mM)|1g|5g
M07725 6-FITC 1mL(10mM)|100mg|500mg
M07847 Carzenide 1mL(10mM)|5g
HR8269 细胞P300/CBP组蛋白乙酰转移酶(P300/CBP-HAT)活性检测试剂盒(比色) 100T
BTN160184 克来宁堡固定液 250ml
BTN160189 Mirsky固定液 250mL
BTN160190 Mossman固定液 250mL
BTN160252 *酮缓冲液 100ml
BTN160224 5%甲*溶液 250mL
GL1821 Griess试剂 10g
风险提示:丁香通仅作为第三方平台,为商家信息发布提供平台空间。用户咨询产品时请注意保护个人信息及财产安全,合理判断,谨慎选购商品,商家和用户对交易行为负责。对于医疗器械类产品,请先查证核实企业经营资质和医疗器械产品注册证情况。
文献和实验相关专题 【原理】 限制性显示 PCR 技术 (Restriction Display PCR,RD-PCR) 技术的思路是在获得反转录的 cDNA 之后 , 进行 Sau 3AI 酶切? Sau 3AI 识别位点是四个碱基 , 理论上计算平均每 256 个碱基有一个识别位点 , 然后在酶切片段的两端加上通用接头?接头由 15bp 和 21 bp 长的两条互补寡核苷酸 单链逐步退火形成 , 接头的一端
【分享】2007新书 Primer of Genetic Analysis: A Problems Approach, 3rd ed
Primer of Genetic Analysis: A Problems Approach, 3rd ed Product Details »Book Publisher: Cambridge University Press (01 October, 2007) »ISBN: 052160365X »Book author: Jr, James N. Thompson, Jenna J. Hellack, Gerald Braver, David S. Durica
【共享】Atlas of Immunology 3rd Ed 免叮当
Julius M. Cruse, "Atlas of Immunology, Third Edition" Publisher: CRC Press | 2010 | ISBN: 1439802688 | PDF | 958 pages | 194.2 MB In the 11 years since this atlas first published, the immunology field has experienced an exponential increase
技术资料暂无技术资料 索取技术资料










