相关产品推荐更多 >
万千商家帮你免费找货
0 人在求购买到急需产品
- 详细信息
- 询价记录
- 技术资料
- 库存:
162
- 英文名:
Magnesium Isoglycyrrhizinate
- 保质期:
长期
- 供应商:
北京百奥莱博科技有限公司
- 规格:
100mg
特别提示:包括异甘草酸镁在内,本公司的所有产品仅可用于科研实验,严禁用于临床医疗及其他非科研用途!
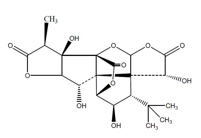
产品名称:异甘草酸镁
英文名称:Magnesium Isoglycyrrhizinate
产品货号:BP0669
产品规格:100mg
本品为异甘草酸镁化学对照品,,供含量测定用,使用前不需干燥处理,按C42H60MgO16计,供HPLC法测定,含量为90.8%。
分子式:C42H60MgO16·4H2O4
分子量:917.28
包装:棕色安瓿瓶装
装量:每支约100毫克。
储存条件:遮光,密封保存。
注意事项:使用前不需干燥处理。
除了异甘草酸镁,,我公司还供应以下相关产品:
名称:曲安奈德
货号:BP0049
规格:100mg
本品为曲安奈德(TriamcinoloneAcetonide)化学对照品,供含量测定用。按C24H31FO6计,含量为98.8%
分子式:C24H31FO6
分子量:434.50
CAS号:76-25-5
包装及装量:棕色小瓶装,每支约100毫克。
储存条件:遮光,密封保存。
注意事项:使用前不需干燥处理。
名称:葡萄糖酸钙
货号:BP0070
规格:100mg
本品为葡萄糖酸钙一水合物(CalciumGluconate),按C12H22CaO14·H2O计,供原子吸收分光光度法溶出度限度检查用,含量为99.8%。
分子式:C12H22CaO14·H2O
分子量:448.40
CAS号:18016-24-5
包装及装量:棕色小瓶装,每支约100毫克。
储存条件:密封保存。
注意事项:使用前不需干燥处理。
名称:环戊噻嗪
货号:BP0154
规格:50mg
名称:维生素A醋酸酯
货号:BP0295
规格:1g/支
本品应为澄清溶液,如必要,临用前可在不超过60℃的水浴中加热至溶液澄清。供HPLC法测定,按C22H32O2计,本品每1g中含维生素A醋酸酯344mg(100万单位),其中含全反式维生素A醋酸酯98.0%。建议打开包装后一次性使用完毕。
分子式:C22H32O2
分子量:328.49
CAS号:127-47-9
包装:棕色安瓿
装量:约1克/支
储存条件:遮光,充氮,密封,在冷处保存
名称:磷酸二氢钾
货号:BP0573
规格:100mg
本品为磷酸二氢钾化学对照品,使用前不需干燥处理。供比色法含量测定用,按KH2PO4计算,含量按100.0%计。
CAS号:7778-77-0
分子式:KH2PO4
分子量:136.09
包装:西林瓶装。
规格:约100毫克/支。
储存条件:密闭保存。
名称:盐酸曲美他嗪
货号:BP0677
规格:100mg
本品为盐酸曲美他嗪化学对照品,供含量测定用。按C14H22N2O3·2HCl计,含量为99.9%。
CAS号:13171-25-0
分子式:C14H22N2O3·2HCl
分子量:339.28
包装及装量:棕色瓶,约100mg/支
储存条件:遮光,密封,干燥处保存
注意事项:105℃干燥2小时后使用。
名称:盐酸埃他卡林
货号:BP0787
规格:100mg
名称:大黄素*醚
货号:BP1055
规格:约20mg/支
本品为大黄素*醚化学对照品,供鉴别或含量测定用,含量99.0%。置*氧化二磷干燥器中减压干燥12小时以后使用。
CAS号:521-61-9
分子式:C16H12O5
分子量:284.26
结构式:
包装:棕色瓶
规格:约20mg/支
储存条件:冷处(2~10℃)
名称:银杏内酯A
货号:BP1138
规格:约20mg/支
本品为银杏内酯A化学对照品,供鉴别和含量测定用,含量以97.4%计,使用前不需干燥处理。
CAS号:15291-75-5
分子式:C20H24O9
分子量:408.40
结构式:
包装:棕色安瓿
规格:约20mg/支
储存条件:冷冻保存
名称:银杏内酯C
货号:BP1140
规格:约20mg/支
本品为银杏内酯C化学对照品,供鉴别或含量测定用,含量以99.8%计,使用前不需干燥处理。
CAS号:15291-76-6
分子式:C20H24O11
分子量:440.40
结构式:
包装:棕色安瓿瓶
装量:约20mg/支
储存条件:冷冻保存
名称:次野鸢尾黄素
货号:BP1206
规格:20mg
本品为次野鸢尾黄素化学对照品,供含量测定用。
分子式:C20H18O8
分子量:386.36
包装及装量:棕色瓶。
储存条件:干燥密闭保存。
注意事项:置*氧化二磷减压干燥器中干燥 12 小时后使用。
名称:紫菀酮
货号:BP1223
规格:约20mg/支
本品为紫菀酮化学对照品,供鉴别和含量测定用,含量以99.8%计,使用前不需干燥处理。
CAS号:10376-48-4
分子式:C30H50O
分子量:426.72
结构式:
包装:棕色安瓿
规格:约20mg/支
储存条件:冷处(2-10℃)密封保存
名称:广藿香酮
货号:BP1390
规格:20mg
本品为广藿香酮化学对照品,供相关物质鉴别用。
分子式:C12H16O4
分子量:224.25
包装及装量:棕色瓶。
储存条件:干燥密闭冷处保存。
注意事项:使用前无需处理。
名称:α-对羟基苯甘氨酸
货号:BP1616
规格:30mg
本品为α-对羟基苯甘氨酸化学对照品,供有关物质测定用。
使用方法:精密称取本品适量,按相关质量标准溶解并稀释至所需浓度的对照品溶液,立即使用。
储存条件:置 5℃以下低温避光保存。开启安瓿后严密保持干燥,以防吸水。
注意事项:使用前不需干燥处理。
名称:辅酶Q10
货号:BP1784
规格:50mg/瓶
本品为辅酶Q化学对照品,含量为99.6%。供鉴别与含量测定用,使用前不需干燥处理。
CAS号:303-98-0
分子式:C59H90O4
分子量:863.36
包装:2ml棕色西林瓶
规格:50mg/瓶
储存条件:-20℃、遮光、密闭保存
注意事项:本品遇光不稳定,试验操作应避光。
名称:舍雷肽酶
货号:BP1840
规格:25mg
本品为舍雷肽酶化学对照品,供舍雷肽酶鉴别用。
包装:棕色小瓶
规格:每支25mg
储存条件:密封保存。
名称:醋酸纤维素
货号:BP2019
规格:200mg
本品为醋酸纤维素化学对照品,供醋酸纤维素品种红外光谱鉴别用。
CAS号:9004-35-7
包装及装量:棕色西林瓶装,每支约200 毫克
储存条件:遮光,密封保存。
注意事项:使用前不需干燥处理。
名称:麦芽酚
货号:BP2039
规格:200mg/瓶
本品为麦芽酚化学对照品,供麦芽酚品种红外鉴别和含量测定用对照品,使用前不需干燥处理,以C6H6O3计本品含量为99.6%。
CAS号:118-71-8
分子式:C6H6O3
分子量:126.11
包装:棕色安瓿
规格:约200毫克/支
储存条件:遮光、常温保存。
注意事项:建议打开包装一次性使用完。
名称:异环磷酰胺杂质Ⅰ
货号:BP2134
规格:约50mg/支
名称:邻苯二甲*二环己酯
货号:BP2180
规格:100mg
本品为邻苯二甲*二环己酯化学对照品,供HPLC法和GC法含量测定用,按C20H26O4计,含量为99.8%,使用前不需干燥处理。
CAS号:84-61-7
分子式:C20H26O4
分子量:330.42
包装及装量:棕色西林瓶装,每支约100毫克。
储存条件:遮光,密封保存。
风险提示:丁香通仅作为第三方平台,为商家信息发布提供平台空间。用户咨询产品时请注意保护个人信息及财产安全,合理判断,谨慎选购商品,商家和用户对交易行为负责。对于医疗器械类产品,请先查证核实企业经营资质和医疗器械产品注册证情况。
- 作者
- 内容
- 询问日期
技术资料暂无技术资料 索取技术资料
异甘草酸镁
¥380 - 3800










