相关产品推荐更多 >
万千商家帮你免费找货
0 人在求购买到急需产品
- 详细信息
- 文献和实验
- 技术资料
- 库存:
212
- 英文名:
Mitochondrial Green FM
- 保质期:
长期
- 供应商:
北京百奥莱博科技有限公司
- 保存条件:
-20℃
- 规格:
50μg
与CMXRos不同的是本品定位于线粒体的能力不受线粒体膜电位影响,使其可能作为定量线粒体质量的一种工具。本品经乙醛固定后染料不稳定,因此更适合活细胞染色。
虽然传统的线粒体荧光探针如TMR和罗丹明123,也能很容易的聚集在功能线粒体上,但是一旦线粒体膜电位丧失即会被洗掉,从而在一些需要细胞进行醛类固定或者包含线粒体能量状态影响因子的实验中,使其应用大受限制。
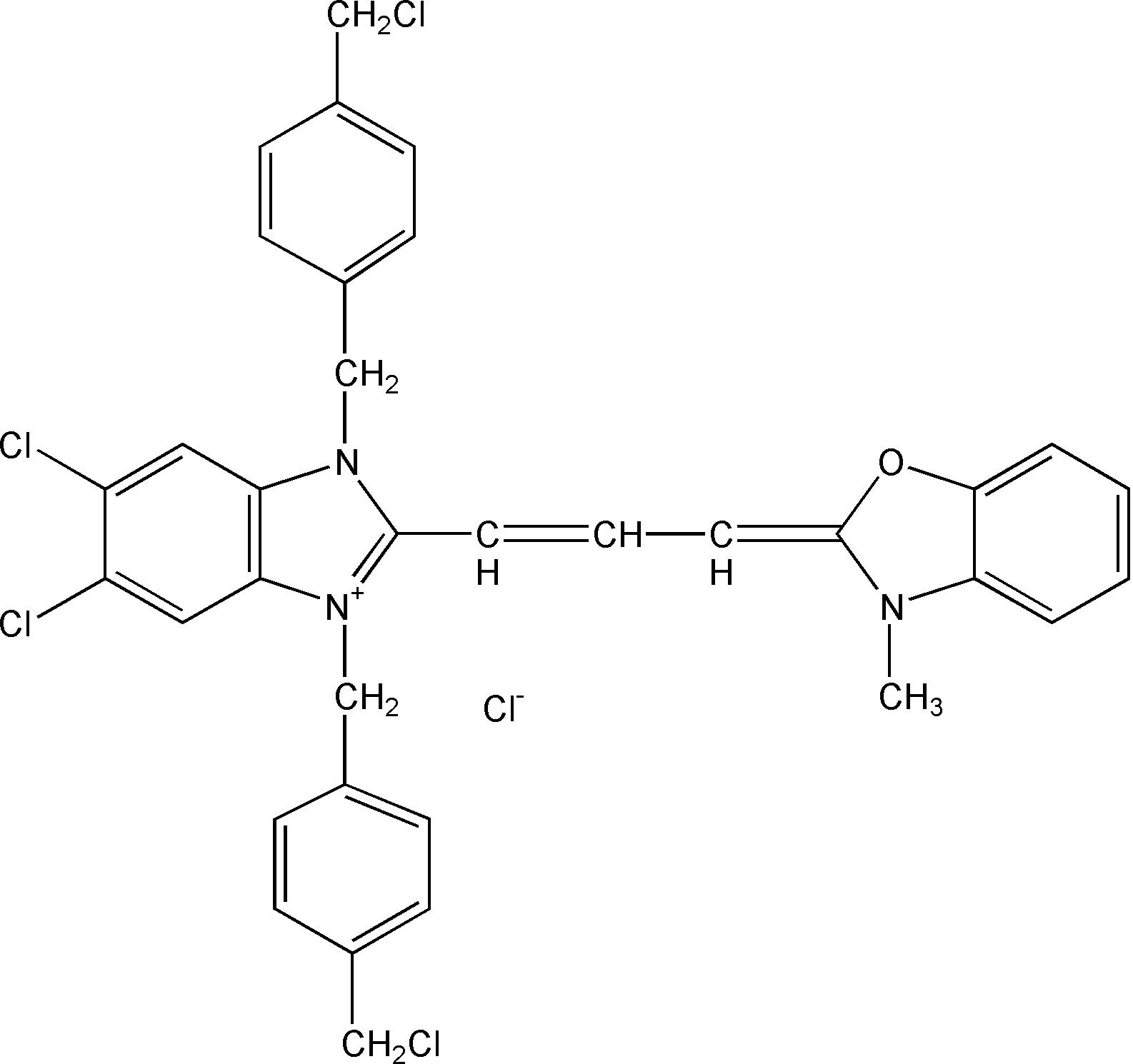
CAS:201860-17-5
分子式:C34H28Cl5N3O
分子量:671.88
外观:红色固体
激发波长:490 nm
发射波长:516 nm
储存条件:-20℃避光干燥
结构式
风险提示:丁香通仅作为第三方平台,为商家信息发布提供平台空间。用户咨询产品时请注意保护个人信息及财产安全,合理判断,谨慎选购商品,商家和用户对交易行为负责。对于医疗器械类产品,请先查证核实企业经营资质和医疗器械产品注册证情况。
文献和实验线粒体荧光探针信息大全 (Probes for Mitochondria)包括各种常用探针,如JC-1,JC-9,TMRM,TMRE等 Mitochondria are found in eukaryotic cells, where they make up as much as 10% of the cell volume. They are pleomorphic organelles with structural
线粒体荧光探针大全:TMRM,Mitotracker,JC-1
线粒体荧光探针信息大全 (Probes for Mitochondria)包括各种常用探针,如JC-1,JC-9,TMRM,TMRE等 Mitochondria are found in eukaryotic cells, where they make up as much as 10% of the cell volume. They are pleomorphic organelles with structural variations depending on cell type
Investigating G Protein-Coupled Receptor Endocytosis and Trafficking by TIR-FM
, some of which occur on a rapid timescale similar to that of functional signaling itself. Here, we describe and discuss an optical imaging approach, based on evanescent field or total internal reflection-fluorescence microscopy (TIR-FM), to investigate receptor
技术资料暂无技术资料 索取技术资料









