万千商家帮你免费找货
0 人在求购买到急需产品
- 详细信息
- 文献和实验
- 技术资料
- 库存:
39
- 英文名:
Saikosaponin B
- CAS号:
新品待定
- 保质期:
详见说明书
- 供应商:
上海一研
- 保存条件:
低温冷藏
- 规格:
20 mg/支
柴胡皂苷B订购须知:
客户订购时需留下详细的寄送信息;收到货以后,请先验货,看包装有无破损,如有破损请不要签收,并及时反馈给我们,我们会重新发货;
实验的过程中,请严格按照说明书进行操作,如遇技术问题可与我司技术部咨询。
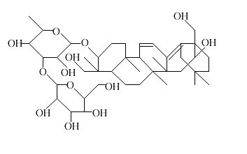
以下是柴胡皂苷B详细介绍:
产品中文名称: 柴胡皂苷B
中文别名:柴胡皂甙B
英文名:Saikosaponin B
CAS登录号:新品待定
分子结构:
外观:白色粉末
规格:20 mg/支
纯度:≥ 98%
用途:用于含量测定/鉴定/药理实验等。
提取来源:伞形科植物阿尔泰柴胡Bupleurum krylovianum Schischk.ex Kryl.
溶解性:可溶于水,不溶于等有机溶剂。
药理药效:抗炎、抗病毒、抗肿瘤。
贮存条件: 4℃冷藏、密封、避光
有效期: 2年
柴胡皂苷B 一)选择问题
标准品的选择原则包括物质稳定性以及参比物质和测定物质的同质性。
其次,在标准品选择时应该充分关注不同盐基、酸根的不同用途。
二)来源渠道多
其来源渠道一般包括:自制标准品;原料药精制提供;国外购进;直接在原料药基础上提高质量要求后进行对照。我司提供的标准品渠道正规,符合国家相关标准,请客户放心购买。
标准品的管理:
(一)接收
收到标准品后,应检查外包装是否完好密封,标签是否清晰完整,并及时填好相关贮存记录,记录信息要完整无缺,至少要包括产品名称、储存条件、存入日期、保质期、规格、批号、含量、数量、瓶号以及备注信息等。
(二)销毁
及时检查基准标准品是否过期,如有过期,需要收集起来及时做销货处理。
(三)使用
采用登记制度,如需要取用,则需要填写取用的产品名、对应的批号、数量、使用目的、取用人等相关详细的信息,以明确责任主体,保证能够查到标准品使用的来龙去脉。
(四)贮存
对于标准品的存放期间,要经常性的核查标准品是否失效,对于怕光怕热易挥发的标准品,是否密封实了,是否按照存放要求进行存放。
柴胡皂苷B标准物质的管理:
(一)规范记录:
建立标准物质台帐,定期更新台账,明确责任主体,以便做到可以追本溯源;
领用时,记录好领用时的名称、数量、时间、领用人、发放人等必要的信息;
标准物质应在有效期内使用,应定期检查标准物质的有效期,对于超限的标准物质要填写销毁登记表;建立标准物质档案。
(二)定期核查:
对于标准物质的种类、级别、介质、浓度含量、有效期、批号、环境条件、储存方法、帐物相符等等各参数,要定期核查。
定期检查实验室各检测项目所对应的标准物质是否相符。对新增检测项目所对应的标准物质应及时纳入规范管理。
存放环境条件和有效性。按标准物质证书上规定的环境条件,储存方法进行存放,及时检查是否过期。标准物质的储存环境应保证其特性完整不变。
标准物质所用介质和浓度是否满足检测方法对介质的要求。浓度是否合适,所用的介质对分析是否有影响。
(三)期间核查:
有效期短、使用频率高的标准物质,要经常性的核查;
不常使用的标准物质,在分析检测之前核查即可;
稳定性好,还未开封的标准物质,可延长核查周期;
磷酸化粘附相关激酶抗体,现货供应,请询价
磷酸化活化转录因子4抗体,现货供应,请询价
磷酸化蛋白激酶AKT1,2,3抗体,现货供应,请询价
凋亡相关蛋白3抗体,现货供应,请询价
自噬相关蛋白18抗体,现货供应,请询价
自噬相关蛋白4A抗体,现货供应,请询价
SYT2 Polyclonal Antibody 突触结合蛋白2 多克隆抗体
SYT15 Polyclonal Antibody 突触结合蛋白15 多克隆抗体
SYT14 Polyclonal Antibody 突触结合蛋白14 多克隆抗体
SYT12 Polyclonal Antibody 突触结合蛋白12 多克隆抗体
Synaptotagmin 1/2 (phospho Thr202/199) Polyclonal Antibody 突触结合蛋白1/2 (phospho Thr202/199) 多克隆抗体
Synaptotagmin 1/2 (phospho Ser309/306) Polyclonal Antibody 突触结合蛋白1/2 (phospho Ser309/306) 多克隆抗体
Synuclein-α (phospho Tyr125) Polyclonal Antibody 突触核蛋白α (phospho Tyr125) 多克隆抗体
Synapsin I (phospho Ser9) Polyclonal Antibody 突触蛋白I (phospho Ser9) 多克隆抗体
SYN3 Polyclonal Antibody 突触蛋白3 多克隆抗体
SYN2 Polyclonal Antibody 突触蛋白2 多克隆抗体
柴胡皂苷BⅡD组磷脂酶A2Elisa检测试剂盒英文名称:PLA2G2D ELISA Kit英文缩写:PLA2G2D
Ⅱ型肺泡细胞表面抗原Elisa检测试剂盒英文名称:KL-6/MUC1 ELISA Kit英文缩写:KL-6/MUC1
Ⅱ型前胶原Elisa检测试剂盒英文名称:PCⅡ ELISA Kit英文缩写:PCⅡ
Ⅱ型前胶原N端前肽Elisa检测试剂盒英文名称:PⅡNP ELISA Kit英文缩写:PⅡNP
Ⅱ型前胶原氨基端原肽Elisa检测试剂盒英文名称:PⅡNT ELISA Kit英文缩写:PⅡNT
Ⅱ型前胶原羧基端肽Elisa检测试剂盒英文名称:PⅡCP ELISA Kit英文缩写:PⅡCP
Ⅱ型前胶原羧基端原肽Elisa检测试剂盒英文名称:PⅡCP ELISA Kit英文缩写:PⅡCP
Ⅱ型胶原C端肽Elisa检测试剂盒英文名称:CTX-Ⅱ ELISA Kit英文缩写:CTX-Ⅱ
客户订购时需留下详细的寄送信息;收到货以后,请先验货,看包装有无破损,如有破损请不要签收,并及时反馈给我们,我们会重新发货;
实验的过程中,请严格按照说明书进行操作,如遇技术问题可与我司技术部咨询。
以下是柴胡皂苷B详细介绍:
产品中文名称: 柴胡皂苷B
中文别名:柴胡皂甙B
英文名:Saikosaponin B
CAS登录号:新品待定
分子结构:
外观:白色粉末
规格:20 mg/支
纯度:≥ 98%
用途:用于含量测定/鉴定/药理实验等。
提取来源:伞形科植物阿尔泰柴胡Bupleurum krylovianum Schischk.ex Kryl.
溶解性:可溶于水,不溶于等有机溶剂。
药理药效:抗炎、抗病毒、抗肿瘤。
贮存条件: 4℃冷藏、密封、避光
有效期: 2年
柴胡皂苷B 一)选择问题
标准品的选择原则包括物质稳定性以及参比物质和测定物质的同质性。
其次,在标准品选择时应该充分关注不同盐基、酸根的不同用途。
二)来源渠道多
其来源渠道一般包括:自制标准品;原料药精制提供;国外购进;直接在原料药基础上提高质量要求后进行对照。我司提供的标准品渠道正规,符合国家相关标准,请客户放心购买。
标准品的管理:
(一)接收
收到标准品后,应检查外包装是否完好密封,标签是否清晰完整,并及时填好相关贮存记录,记录信息要完整无缺,至少要包括产品名称、储存条件、存入日期、保质期、规格、批号、含量、数量、瓶号以及备注信息等。
(二)销毁
及时检查基准标准品是否过期,如有过期,需要收集起来及时做销货处理。
(三)使用
采用登记制度,如需要取用,则需要填写取用的产品名、对应的批号、数量、使用目的、取用人等相关详细的信息,以明确责任主体,保证能够查到标准品使用的来龙去脉。
(四)贮存
对于标准品的存放期间,要经常性的核查标准品是否失效,对于怕光怕热易挥发的标准品,是否密封实了,是否按照存放要求进行存放。
柴胡皂苷B标准物质的管理:
(一)规范记录:
建立标准物质台帐,定期更新台账,明确责任主体,以便做到可以追本溯源;
领用时,记录好领用时的名称、数量、时间、领用人、发放人等必要的信息;
标准物质应在有效期内使用,应定期检查标准物质的有效期,对于超限的标准物质要填写销毁登记表;建立标准物质档案。
(二)定期核查:
对于标准物质的种类、级别、介质、浓度含量、有效期、批号、环境条件、储存方法、帐物相符等等各参数,要定期核查。
定期检查实验室各检测项目所对应的标准物质是否相符。对新增检测项目所对应的标准物质应及时纳入规范管理。
存放环境条件和有效性。按标准物质证书上规定的环境条件,储存方法进行存放,及时检查是否过期。标准物质的储存环境应保证其特性完整不变。
标准物质所用介质和浓度是否满足检测方法对介质的要求。浓度是否合适,所用的介质对分析是否有影响。
(三)期间核查:
有效期短、使用频率高的标准物质,要经常性的核查;
不常使用的标准物质,在分析检测之前核查即可;
稳定性好,还未开封的标准物质,可延长核查周期;
磷酸化粘附相关激酶抗体,现货供应,请询价
磷酸化活化转录因子4抗体,现货供应,请询价
磷酸化蛋白激酶AKT1,2,3抗体,现货供应,请询价
凋亡相关蛋白3抗体,现货供应,请询价
自噬相关蛋白18抗体,现货供应,请询价
自噬相关蛋白4A抗体,现货供应,请询价
SYT2 Polyclonal Antibody 突触结合蛋白2 多克隆抗体
SYT15 Polyclonal Antibody 突触结合蛋白15 多克隆抗体
SYT14 Polyclonal Antibody 突触结合蛋白14 多克隆抗体
SYT12 Polyclonal Antibody 突触结合蛋白12 多克隆抗体
Synaptotagmin 1/2 (phospho Thr202/199) Polyclonal Antibody 突触结合蛋白1/2 (phospho Thr202/199) 多克隆抗体
Synaptotagmin 1/2 (phospho Ser309/306) Polyclonal Antibody 突触结合蛋白1/2 (phospho Ser309/306) 多克隆抗体
Synuclein-α (phospho Tyr125) Polyclonal Antibody 突触核蛋白α (phospho Tyr125) 多克隆抗体
Synapsin I (phospho Ser9) Polyclonal Antibody 突触蛋白I (phospho Ser9) 多克隆抗体
SYN3 Polyclonal Antibody 突触蛋白3 多克隆抗体
SYN2 Polyclonal Antibody 突触蛋白2 多克隆抗体
柴胡皂苷BⅡD组磷脂酶A2Elisa检测试剂盒英文名称:PLA2G2D ELISA Kit英文缩写:PLA2G2D
Ⅱ型肺泡细胞表面抗原Elisa检测试剂盒英文名称:KL-6/MUC1 ELISA Kit英文缩写:KL-6/MUC1
Ⅱ型前胶原Elisa检测试剂盒英文名称:PCⅡ ELISA Kit英文缩写:PCⅡ
Ⅱ型前胶原N端前肽Elisa检测试剂盒英文名称:PⅡNP ELISA Kit英文缩写:PⅡNP
Ⅱ型前胶原氨基端原肽Elisa检测试剂盒英文名称:PⅡNT ELISA Kit英文缩写:PⅡNT
Ⅱ型前胶原羧基端肽Elisa检测试剂盒英文名称:PⅡCP ELISA Kit英文缩写:PⅡCP
Ⅱ型前胶原羧基端原肽Elisa检测试剂盒英文名称:PⅡCP ELISA Kit英文缩写:PⅡCP
Ⅱ型胶原C端肽Elisa检测试剂盒英文名称:CTX-Ⅱ ELISA Kit英文缩写:CTX-Ⅱ
风险提示:丁香通仅作为第三方平台,为商家信息发布提供平台空间。用户咨询产品时请注意保护个人信息及财产安全,合理判断,谨慎选购商品,商家和用户对交易行为负责。对于医疗器械类产品,请先查证核实企业经营资质和医疗器械产品注册证情况。
文献和实验相关实验
化,其他已知细胞松弛素 B还可抑制糖的输送,可以考虑细胞松弛素 B与细胞膜间的相互作用。此外还分离出数种具有类似结构和功能的物质,分别命名为细胞松弛素 A、 C、 D、 E、 F。
细胞色素b563 cytochrome b563 亦称细胞色素 b6 。存在于高等植物至藻类的叶绿体中,与类囊体膜结合紧密。含有原正铁血红素,氧化还原 (β带)和 434nm(γ带或 So- ret带)。为发动光合磷酸化的环状电子传递系统的一个成分,可被光化系统Ⅰ所还原和氧化。
位于 A层以下、 C层以上的某种形式受成土因子的影响而形成的独特层次。一般来说, B层较 A层腐殖质含量少,多呈黄棕至红棕色。在湿润气候条件下有粘土、铁、铝等从 A层淋溶下来,在干燥气候条件下则有盐分从下层上升,两者都在 B层淀积,因此该层也称淀积层( illuvial horizon)。
技术资料暂无技术资料 索取技术资料
柴胡皂苷B
询价










