相关产品推荐更多 >
万千商家帮你免费找货
0 人在求购买到急需产品
- 详细信息
- 文献和实验
- 技术资料
- 库存:
412
- 英文名:
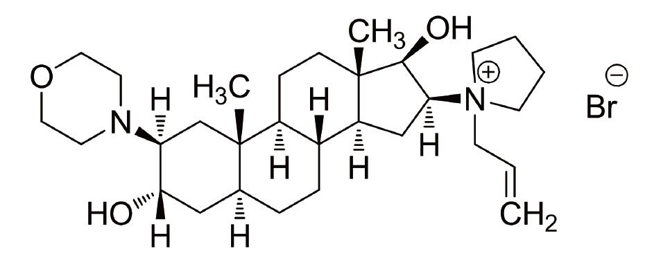
Rocuronium Bromide Impurity V(1-[3α,17β-dihydroxy-2β-(morpholin-4-yl)-5α-androstan-16β-yl]-1-(prop-2-enyl)pyrrolidinium Bromide)
- CAS号:
119302-86-2
- 保质期:
长期
- 供应商:
北京百奥莱博科技有限公司
- 保存条件:
遮光,2-8℃
- 规格:
约20毫克/支
特别提示:包括罗库溴铵杂质V在内,本公司的所有产品仅可用于科研实验,严禁用于临床医疗及其他非科研用途!
产品名称:罗库溴铵杂质V
英文名称:Rocuronium Bromide Impurity V(1-[3α,17β-dihydroxy-2β-(morpholin-4-yl)-5α-androstan-16β-yl]-1-(prop-2-enyl)pyrrolidinium Bromide)
CAS#:119302-86-2
产品货号:BP0973
产品规格:约20毫克/支
本品为罗库溴铵杂质V化学对照品,使用前不需干燥处理,供HPLC法系统适用性试验用。
CAS号:119302-86-2
分子式:C30H51BrN2O3
分子量:567.64
结构式:
包装:棕色西林瓶
规格:约20毫克/支
储存条件:遮光,2-8℃保存
除了罗库溴铵杂质V,,我公司还供应以下相关产品:
| 货号 | 名称 | 规格 |
| BP0029 | 甲氧苄啶 | 100mg/支 |
| BP0039 | 马来酸*角新碱 | 50mg/支 |
| BP0049 | 曲安奈德 | 100mg |
| BP0083 | 氨基己* | 300mg |
| BP0259 | 林旦 | 50mg |
| BP0268 | 曲安西龙 | 100mg/支 |
| BP0540 | 吡嘧司特钾 | 100mg |
| BP0568 | 葡萄糖酸钠 | 100mg/支 |
| BP0587 | 盐酸地匹福林前体 | 50mg |
| BP0609 | 马来酸氟伏沙明 | 100mg |
| BP0641 | 磷酸川芎嗪 | 100mg/支 |
| BP0808 | 重酒石酸肾上*素 | 50mg |
| BP0822 | 阿托酸6β-羟基-3α-托品酯(消旋山莨菪碱杂质Ⅰ) | 20mg/支 |
| BP0830 | *溴*后马托品 | 100mg |
| BP0860 | 洛莫司汀 | 100mg |
| BP0880 | 11-顺阿维A | 10mg/支 |
| BP0886 | 胸苷 | 50mg |
| BP0933 | 拉米夫定杂质Ⅳ和杂质Ⅴ混合物 | 20mg/支 |
| BP1099 | 血竭素高氯酸盐 | 20mg/支 |
| BP1427 | 野百合碱 | 20mg |
| BP1591 | 4-差向金霉素 | 50mg/支 |
| BP1736 | 青霉胺二硫化物 | 30mg/支 |
| BP1809 | 氟尿苷 | 10mg |
| BP1827 | 苏氨酸 | 100mg/瓶 |
| BP1862 | 尤瑞克林 | 1.6PNA单位/支 |
| BP1889 | 硫酸皮肤素 | 30mg |
| BP2051 | 乙交酯丙交酯共聚物(5050) | 200mg |
风险提示:丁香通仅作为第三方平台,为商家信息发布提供平台空间。用户咨询产品时请注意保护个人信息及财产安全,合理判断,谨慎选购商品,商家和用户对交易行为负责。对于医疗器械类产品,请先查证核实企业经营资质和医疗器械产品注册证情况。
文献和实验【求助】180KD的膜蛋白western转膜条件怎样?(湿转)
的会不会是降解的或者杂质? xhjggl 可能是降解的或者杂质 shylook 100v 2h zhibinx2007 可以看看抗体的抗原表位是不是和你的目标蛋白一致,如果抗体特异性没有问题,也许是目标蛋白表达量比较低,可以试试加大上样量,做几个浓度梯度看看。 jawonderful 一般我都是60v过夜湿转,同样180kd的EGFR结果很好,对于这种分子
基础培养基 RPMI-1640 RPMI-1640 RPMI-1640 Advanced DMEM-F12 Advanced DMEM-F12 DMEM-F12 penicillin-streptomycin - - - 1×P/S (5,000U/ml) 1×P/S (5,000U/ml) 1×P/S (5,000U/ml) dFBS(v/v) - 0.2% 2% - 1% -
、雄性粉尘螨 4)材料的去脂肪和有害物质 (1)去脂肪常用的有机溶剂:乙醚、丙酮、甲苯、二甲苯、苯、无水乙醇等。乙醚的优点是去脂效果好、挥发快,常被首选。其余溶剂安全系数较前者高,但缺点是挥发慢、去脂周期长。 (2)去脂方法:将粉尘螨体浸于有机溶剂中,室温下搅拌,待有机溶剂挥发后,重复2次。 5)有效成分的提取:将去脂的粉尘螨按重量比容积1;50(W/V)加入灭菌生理盐水于4℃下过滤灭菌,提取72h,每天振荡或搅拌4h。双层滤纸滤去虫体及杂质,溶液再经蔡氏过滤
技术资料暂无技术资料 索取技术资料










