万千商家帮你免费找货
0 人在求购买到急需产品
- 详细信息
- 文献和实验
- 技术资料
- 库存:
279
- 英文名:
Amiodarone Hydrochloride Impurity Ⅱ
- CAS号:
1951-26-4
- 保质期:
长期
- 供应商:
北京百奥莱博科技有限公司
- 保存条件:
遮光,密闭,2-8℃
- 规格:
50mg/支
特别提示:包括盐酸胺碘酮杂质Ⅱ在内,本公司的所有产品仅可用于科研实验,严禁用于临床医疗及其他非科研用途!
产品名称:盐酸胺碘酮杂质Ⅱ
英文名称:Amiodarone Hydrochloride Impurity Ⅱ
CAS#:1951-26-4
产品货号:BP0883
产品规格:50mg/支
本品为盐酸胺碘酮杂质Ⅱ化学对照品,供检查用,使用前不需干燥处理,供HPLC法测定,按C19H16I2O3计,含量为100%。
CAS号:1951-26-4
分子式:C19H16I2O3
分子量:546.14
结构式:
(盐酸胺碘酮有关物质检查系统适用性实验典型色谱图)
包装:棕色小瓶装
规格:每支约50毫克
储存条件:遮光,密闭,2-8℃保存。
除了盐酸胺碘酮杂质Ⅱ,,我公司还供应以下相关产品:
名称:苯*酸氮*
货号:BP0005
规格:50mg/支
供UV法含量测定用。按C14H19Cl2NO2计,含量为99.8%,使用前不需要干燥处理。
CAS号:305-03-3
分子式:C14H19Cl2NO2
分子量:304.22
包装:棕色西林瓶装。
规格:50毫克/支。
储存条件:遮光,2-8℃,密封保存。
名称:醋酸氟氢可的松
货号:BP0009
规格:100mg
名称:甲磺酸酚妥拉明
货号:BP0085
规格:100mg/支
本品为甲磺酸酚妥拉明(PhentolamineMesylate)的化学对照品,按C17H19N3O·CH4O3S计,供UV法测定,含量为99.9%,供HPLC法测定,含量为99.7%。
分子式:C17H19N3O·CH4O3S
分子量:377.46
CAS号:65-28-1
包装及装量:棕色小瓶装,每支约100毫克。
储存条件:遮光,密封保存。
注意事项:105℃干燥2小时后使用。
名称:D-无水葡萄糖
货号:BP1118
规格:100mg/支
本品为D-无水葡萄糖化学对照品,供含量测定用,含量以99.9%计,使用前不需干燥处理。
CAS号:50-99-7
分子式:C6H12O6
分子量:180.16
结构式:
包装:棕色安瓿瓶
规格:约100mg/支
储存条件:冷处(2-10℃)保存
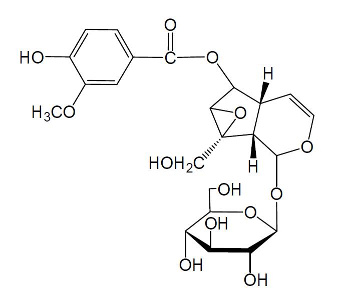
名称:胡黄连苷II
货号:BP1232
规格:20mg/支
本品为胡黄连苷II化学对照品,供含量测定用,含量以96.2%计,使用前不需干燥处理。
CAS号:39012-20-9
分子式:C23H28O13
分子量:512.46
结构式:
包装:棕色安瓿瓶
规格:约20mg/支
储存条件:冷处(2-10℃)保存
名称:千金藤素
货号:BP1262
规格:20mg
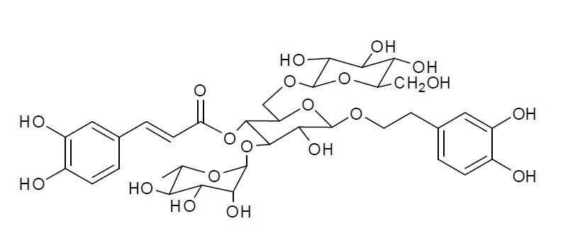
名称:松果菊苷
货号:BP1280
规格:20mg/支
本品为松果菊苷化学对照品,供鉴别及含量测定用,含量以89.7%计,使用前不需干燥处理。
CAS号:82854-37-3
分子式:C35H46O20
分子量:786.73
结构式:
包装:棕色安瓿瓶
规格:约20mg/支
储存条件:冷处(2-10℃)保存
注意事项:本品有引湿性,打开包装后一次使用完毕。
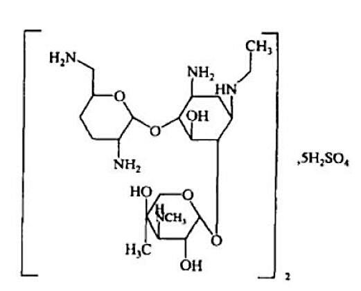
名称:依替米星
货号:BP1584
规格:200mg
本品为依替米星标准品,供抗生素微生物效价测定用,使用前不需干燥处理。
CAS号:362045-44-1
分子式:(C21H43N5O7)2·5H2SO4
分子量:1445.58
结构式:
包装:白色安瓿
规格:约200毫克/支
储存条件:2-8℃保存
名称:抗甲状腺过氧化物酶抗体
货号:BP1950
规格:支
本品为抗甲状腺过氧化物酶抗体免疫测定用标准品,以人血清为原料制备,抗甲状腺过氧化物酶抗体免疫分析使用,适用于酶联免疫法、化学发光、时间分辨免疫荧光等方法。
性状:白色冻干粉末
包装:白色安瓿瓶
规格:每支安瓿内含抗甲状腺过氧化物酶抗体血清约500µL,本品为冻干品。
特性量值:溯源至抗甲状腺过氧化物酶抗体国际标准品,经协作标定,每支安瓿内抗甲状腺过氧化物酶抗体免疫活性为310IU。
使用方法和要求:建议使用时以1.0mL蒸馏水将内容物完全溶解,充分混合后使用。建议溶解后一次性使用。
储存条件:-20℃,避免反复冻融。
名称:二甲硅油750
货号:BP2073
规格:1ml/支
本品为二甲硅油750化学对照品,仅供二甲硅油品种项下二甲硅油750型号红外光谱吸收度及含量测定用,使用前不需干燥处理。
CAS号:9006-65-9
分子式:(C2H6OSi)nC4H12Si
结构式:
包装:棕色安瓿
规格:约1ml/支
储存条件:遮光、常温保存
风险提示:丁香通仅作为第三方平台,为商家信息发布提供平台空间。用户咨询产品时请注意保护个人信息及财产安全,合理判断,谨慎选购商品,商家和用户对交易行为负责。对于医疗器械类产品,请先查证核实企业经营资质和医疗器械产品注册证情况。
文献和实验尘螨变应原的制备 1)变应原 溶液制备的基本步骤:材料的粉碎和净化;去除材料中的脂肪和有害物质;有效成分的提取与溶液中分离与去除杂质;溶液的透析与浓缩;溶液的酸碱度的校正;溶液的灭菌及检测;溶液的急性毒性试验;溶液的标准化方法以及温度的控制和有效期的制定。 以上的步骤一般可适用于所有的变应原溶液的制备,但针对不同的材料还须做一些调整,如不含脂肪的材料则不需去脂,某些制剂需要透析和浓缩等。 2)尘螨的收集与培养:在我国,粉尘螨繁殖的高峰期为5~6月和9~
你是否苦于你纯化的标签蛋白无法达到理想纯度而日夜发愁?是否在换了新的标签后仍不太满意而承受老板们鬼畜般的霹雳大吼?朋友别哭,相信这篇文章可以为你带来纯化高纯度蛋白的新思路。 进行蛋白质功能研究的关键在于得到高纯度蛋白。习惯于构建单标签的你想必遇到过杂质太多,蛋白表达量少甚至不稳定的情况。何不根据目的蛋白性质构建双标签蛋白进行两种不同亲和层析柱的纯化?没准会有意想不到的效果。 01双标签蛋白助力于目的蛋白的高特异性 单组氨酸标签蛋白的亲和层析结果通常不能保证杂蛋白的有效去除
:94℃5 min, 72℃6 min。取4μl PCR扩增产物和1μl 溴酚兰上样缓冲液在1. 5%琼脂糖凝胶上电泳,电压4V / cm,电泳2h[ 3 ] 。2 结果2. 1 质粒DNA的定量及杂质检测 表2结果显示:是否使用溶液Ⅰ对实验基本上没有影响,溶液Ⅱ中的NaOH直接关系到所提取质粒DNA 的量,溶液Ⅲ中的醋酸钾主要是与SDS (十二烷基硫酸钠)作用生成PDS(十二烷基硫酸钾) ,从而使大部分蛋白质沉淀。表2 不同方法提取的质粒DNA的吸光度2. 2 质粒DNA经sma I单酶切后电泳
技术资料暂无技术资料 索取技术资料










