相关产品推荐更多 >
万千商家帮你免费找货
0 人在求购买到急需产品
- 详细信息
- 询价记录
- 文献和实验
- 技术资料
- 供应商:
北京百奥莱博科技有限公司
- 库存:
341
- 英文名:
Poly-D-lysine Solution (5 mg/ml), Mw 150,000-300,000
- 规格:
2mg(5mg/ml)
特别提示:包括多聚D-赖氨酸溶液(5mg/ml)(分子量15万~30万)(细胞培养级)在内,本公司的所有产品仅可用于科研实验,严禁用于临床医疗及其他非科研用途!
产品名称:多聚D-赖氨酸溶液(5mg/ml)(分子量15万~30万)(细胞培养级)
英文名称:Poly-D-lysine Solution (5 mg/ml), Mw 150,000-300,000
CAS#:27964-99-4
产品货号:多聚D-赖氨酸溶液(5mg/ml)(分子量15万~30万)(细胞培养级)
产品规格:2mg(5mg/ml)
本品为无菌的多聚D-赖氨酸(Poly-D-lysine)溶液,浓度为5mg/ml,使用时直接稀释到需要浓度即可。本溶液以分子量为150,000-300,000的Poly-D-lysine配制所得。本品用作细胞培养基质,推荐使用量为:对于25cm2的培养板需要0.1mg/ml的聚赖氨酸溶液约0.5ml-1.0ml。
多聚赖氨酸(poly-lysine)是一种带正电荷的氨基酸聚合物,能够结合于DNA,红细胞膜或任何带负电荷蛋白。是一种非特异性的细胞粘附因子,促进细胞吸附到固相基质上。作用机理在于其可增强细胞膜表面的负电荷离子和固相基质表面(如细胞培养皿,载玻片等)的静电相互作用。当吸附到培养表面后,多聚赖氨酸提高用于细胞结合的阳离子结合位点数。多聚赖氨酸分子量的大小与粘度相关,即分子量较低,粘度较低;分子量较高,粘度较高,提供的粘附位点也较多。分子量>30,000的聚赖氨酸适用于促进细胞粘附到固体基质。
多聚赖氨酸(poly-lysine)有两种常见亚型,D-和L-型。由于多聚赖氨酸是细胞结合的非特异性粘附因子,因此两种亚型都可用作包被固体基质。然而在细胞培养相关应用中,某些细胞会消化多聚-L-赖氨酸并吸收,摄入过多的多聚-L-赖氨酸会产生一定的细胞毒性。因此,遇到这种情况首*(代"选")多聚-D-赖氨酸(Poly-D-lysine)。
中文别名:多聚-D-赖氨酸氢溴*盐,分子量150,000-300,000
英文别名:Poly-D-lysine hydrobromide, Mw 150,000-300,000; PDL , Mw 150,000-300,000;
CAS:27964-99-4
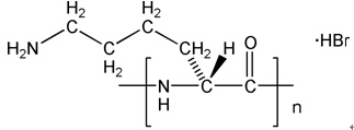
分子式:D-Lys-(D-Lys)n-D-Lys · xHBr
分子量:150,000-300,000
外观:无色至黄色溶液
储存条件:-20℃,有效期两年
结构式:
除了多聚D-赖氨酸溶液(5mg/ml)(分子量15万~30万)(细胞培养级),多聚-D-赖氨酸氢溴*盐,分子量150,000-300,000,我公司还供应以下相关产品:
| 货号 | 名称 | 规格 |
| YT038 | Western及IP细胞裂解液 | 100ml |
| WE0257 | RIPA裂解液(中) | 100ml |
| WE0267 | His标签蛋白纯化试剂盒(可溶性蛋白) | 5ml |
| WE0289 | SDS-PAGE上样缓冲液(非还原,5×) | 5×2ml |
| SNM413 | 膜蛋白、核蛋白和胞质蛋白抽提试剂盒 | 50T |
| SNM450 | 蛋白示踪上样缓冲液(非还原,5×) | 5ml |
| SY0325 | 全能核酸酶 | 25KU |
| SY0330 | 贝他定(苯丁抑制素) | 10mg |
| SY0384 | 牛凝血酶(高活力,>2000 IU/mg) | 1 KU |
| SY0439 | 人源氧化低密度脂蛋白 | 1mg |
| JN0008 | T4噬菌体基因32表达蛋白(单链DNA结合蛋白) | 100μg|500μg |
| QN1159 | DAB法显色试剂盒(小鼠/兔IgG) | 1盒 |
| QN1245 | 封闭用马血清(原液) | 10mL|100mL |
| HR0117 | 骨组织蛋白提取试剂盒 | 50T/100T |
| HR8010 | 核膜蛋白和核内蛋白提取试剂盒 | 50T/100T |
| HR0035 | 植物组蛋白提取试剂盒 | 50T/100T |
| HR8068 | 酵母线粒体膜蛋白提取试剂盒(2D电泳用) | 50T/100T |
| HR8102 | 丝氨酸蛋白酶抑制剂 | 1ml |
| HR8103 | 钙蛋白酶抑制剂 | 1ml |
| HR8111 | 无去垢剂细胞裂解液 | 100ml |
| HR8154 | 3.5KD透析袋(φ49mm) | 1卷,5M |
| MT0072 | BCA蛋白定量试剂盒 | 50~500T |
| GL2938 | 植物线粒体膜蛋白提取试剂盒 | 50T|100T |
风险提示:丁香通仅作为第三方平台,为商家信息发布提供平台空间。用户咨询产品时请注意保护个人信息及财产安全,合理判断,谨慎选购商品,商家和用户对交易行为负责。对于医疗器械类产品,请先查证核实企业经营资质和医疗器械产品注册证情况。
- 作者
- 内容
- 询问日期
文献和实验涂片,原位杂交等使用的玻片的防脱片处理,以防实验操作过程中组织掉片。也可用于细胞培养,增加细胞贴壁能力。 [使用说明] 免疫学 操作步骤(可直接在玻片上涂布) 1. 灭菌的ddH2O 1:10稀释该多聚赖氨酸溶液。 2. 用之前将稀释的多聚赖氨酸溶液放在室内,使其温度到室温18-26℃ 3. 将玻片浸在稀释的多聚赖氨酸溶液5分钟。注意增加时间不会提高包被效果。 4.在60℃烘箱1小时干燥,或室温18-26℃过夜干燥待用。 [注意] 1. 每100mL已稀释的多聚赖氨酸溶液
。 如果你做免疫组化 ,需要放小的玻片到孔内,就在加多聚赖氨酸之前用无菌的镊子将无菌的玻片夹到孔内即可。 问:PLL的分子量有3-5万,7-15万,15-30万几种,应怎样选择??谢谢:) 答:我们养神经细胞,用的是分子量3万到7万的pll 。 以PBS配成1mg/ml的母液,-20度保存。使用时,用高纯度的蒸馏水稀释成0.11mg/ml的使用浓度,过滤除菌,以50微升每平方厘米的量均匀涂于培养底物的表面,室温下静置5min,吸除多余液体,股风吹干即可
。 我们这里的老师说,多聚赖氨酸不能用紫外线照射。 1.用赖氨酸包被培养板和培养瓶时,应该选用多聚左旋赖氨酸(分子量为15-30万) ; 2.感觉你“浓度为50ng/1ml”有些低,我一般最后多聚赖氨酸使用浓度达到20-30ug/ml; 3.包被时间一般为6-7h,或者过夜也可; 4.使用时应该先用灭菌水洗三次+PBS(起平衡盐作用)洗一次,洗液的量应该大于包被液的量; 5.“多聚赖氨酸可以在培养瓶中放多长
技术资料暂无技术资料 索取技术资料










