相关产品推荐更多 >
万千商家帮你免费找货
0 人在求购买到急需产品
- 详细信息
- 技术资料
- 库存:
104
- 英文名:
Nonoxinol
- CAS号:
26027-38-3
- 保质期:
长期
- 供应商:
北京百奥莱博科技有限公司
- 规格:
1ml/支
特别提示:包括壬苯醇醚在内,本公司的所有产品仅可用于科研实验,严禁用于临床医疗及其他非科研用途!
产品名称:壬苯醇醚
英文名称:Nonoxinol
CAS#:26027-38-3
产品货号:壬苯醇醚
产品规格:1ml/支
本品为壬苯醇醚(Nonoxinol)的化学对照品,供HPLC鉴别和含量测定用,含量为99.3%。
分子式:C9H19C6H4(OCH2CH2)nOH,(n平均值为9)
结构式:
CAS号:26027-38-3
包装:棕色安瓿瓶
规格:约1ml/支
储存条件:遮光,密封保存
除了壬苯醇醚,,我公司还供应以下相关产品:
名称:甲基多巴
货号:BP0155
规格:100mg
本品为甲基多巴倍半水合物(Methyldopa Sesquihydrate)的化学对照品,供UV法含量测定用,按C10H13NO4计,含量为100.0%。
分子式:C10H13NO4·3/2H2O
分子量:238.24
CAS号:41372-08-1
包装及装量:棕色小瓶装,每支约100毫克。
储存条件:遮光,密封保存。
注意事项:称量时相对湿度不得过 60%。125℃干燥4 小时后使用。
名称:阿立哌唑
货号:BP0596
规格:100mg/支
本品为阿立哌唑化学对照品,供HPLC鉴别、IR鉴别时作对照用;供HPLC鉴别、UV含量均匀度和溶出度检查及UV含量测定时作对照用。含量以C23H27N3O2Cl2计为99.9%。本品使用前不需干燥处理。
CAS号:129722-12-9
分子式:C23H27N3O2Cl2
分子量:448.39
结构式:
包装:棕色瓶
装量:约100mg/支
储存条件:遮光,密闭保存。
名称:硝普钠
货号:BP0824
规格:200mg
本品为硝普钠二水合物,供HPLC法含量测定用,按Na2Fe(CN)5NO计,含量为88.0%。
CAS号:13755-38-*(代"9")
分子式:Na2Fe(CN)5NO·2H2O
分子量:297.95
包装及装量:西林装,每支约200毫克。
储存条件:遮光,密封保存。
注意事项:使用前不需干燥处理。
名称:氯碘羟喹系统适用性试验对照品
货号:BP0827
规格:20mg
本品为氯碘羟喹系统适用性试验对照品适用于氯碘羟喹有关物质检查。使用方法:称取本品10mg,置100ml 量瓶中,加甲*10ml, 使溶解,用流动相稀释至刻度,摇匀,量取1ml,置50ml 量瓶中,用流动相稀释至刻度,摇匀,即得。
包装及装量:棕色小瓶装,每支约20毫克。
储存条件:遮光,密封保存。
注意事项:使用前不需干燥处理。
附图——典型色谱图:
名称:磷酸奥司他韦杂质Ⅰ
货号:BP0987
规格:30mg/支"
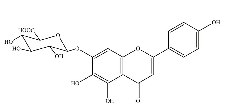
名称:野黄芩苷
货号:BP1124
规格:约20mg/支
本品为野黄芩苷化学对照品,供鉴别及含量测定用,含量以91.7%计,使用前不需干燥处理。
CAS号:27740-01-8
分子式:C21H18O12
分子量:462.36
结构式:
包装:棕色安瓿瓶
规格:约20mg/支
储存条件:冷处(2-10℃)保存
注意事项:本品具引湿性,建议打开包装一次性使用完。
名称:芥子碱硫*酸盐
货号:BP1303
规格:20mg/支
本品为芥子碱硫*酸盐化学对照品,供鉴别和含量测定用,含量以98.3%计,使用前不需干燥处理。
CAS号:7431-77-8
分子式:C16H24NO5·SCN
分子量:594.52
结构式:
包装:棕色安瓿瓶
装量:约20mg/支
储存条件:冷处(2-10℃)保存
注意事项:本品具有引湿性,建议打开包装一次性使用完毕。
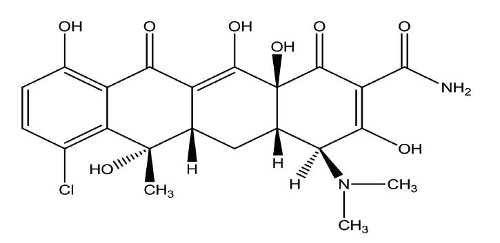
名称:盐酸金霉素
货号:BP1641
规格:200mg/支
本品为盐酸金霉素化学对照品,供高效液相含量测定用,含量以盐酸金霉素(C22H23ClN2O8·HCl)计。
CAS号:64-72-2
分子式:C22H23ClN2O8·HCl
分子量:515.35
结构式:
包装:棕色安瓿
规格:200mg/支
储存条件:置4℃以下条件低温避光保存。
名称:还原型谷胱甘肽
货号:BP1845
规格:200mg
本品为还原型谷胱甘肽化学对照品,含量为99.4%,供还原型谷胱甘肽鉴别与含量测定用,使用前105℃干燥1小时。
分子式:C10H17N3O6S
分子量:307.33
包装:2ml西林瓶轧铝盖
规格:每瓶约200mg
储存条件:避光密闭,2℃~8℃保存。
名称:5’-胞苷酸
货号:BP1866
规格:10mg/瓶
本品为5"-胞苷酸化学对照品,供胞磷胆碱钠及制剂含量测定中系统适用性试验和有关物质检查用。含量为99.6%。
CAS号:63-37-6
分子式:C9H14N3O8P
分子量:323.19
使用方法:按照质量标准方法称量溶解使用。
包装及装量:2ml西林瓶,约10mg/瓶
储存条件:4~8℃保存。
注意事项:使用前无需干燥处理。
名称:苏氨醇
货号:BP1894
规格:5mg/瓶
本品为苏氨醇化学对照品,供醋酸奥曲肽氨基酸比值检查项下用。
分子式:C4H11NO2
分子量:105.14
包装及装量:2ml 西林瓶,每瓶约 5mg
储存条件:密闭, -20℃保存。遮光,密封保存。
注意事项:使用前不需干燥处理,样品由低温取出放置室温后称量使用。
名称:铁蛋白
货号:BP1940
规格:790ng/支
本品为铁蛋白免疫测定用标准品,以高纯度铁蛋白为原料制备,供铁蛋白免疫分析使用,适用于化学发光、时间分辨免疫荧光等方法。
性状:白色冻干粉末
包装:白色安瓿瓶
规格:每支安瓿内含铁蛋白约790ng,本品为冻干品。
特性量值:溯源至铁蛋白国际标准品(NIBSC94/572),经协作标定,每支安瓿内铁蛋白免疫活性为790ng。
使用方法和要求:建议使用时以1.0mL蒸馏水将内容物完全溶解,充分混合后使用。
储存条件:-20℃,避免反复冻融。
请按说明书规定使用,若作他用,用户须自行证明适用性。
名称:肉豆蔻酸
货号:BP2097
规格:250mg/瓶
本品为肉豆蔻酸化学对照品,仅供蔗糖硬脂酸酯品种项下脂肪酸组成检查用,使用前不需干燥处理。
CAS号:544-63-8
分子式:C14H28O2
分子量:228.4
包装:西林瓶
规格:约250mg/瓶
储存条件:常温保存
注意事项:建议打开包装一次性使用完
名称:三(壬基*(代"酚"))亚磷*(代"酸")酯(抗氧剂1178)
货号:BP2106
规格:1ml/支
名称:孕二烯酮
货号:BP2124
规格:100mg/支
本品为孕二烯酮化学对照品,供HPLC法鉴别和含量测定用,以C21H26O2计,含量为99.4%,使用前不需干燥处理。
CAS号:60282-87-3
分子式:C21H26O2
分子量:310.4
包装:棕色西林瓶
规格:约100毫克/支
储存条件:密闭避光保存。
风险提示:丁香通仅作为第三方平台,为商家信息发布提供平台空间。用户咨询产品时请注意保护个人信息及财产安全,合理判断,谨慎选购商品,商家和用户对交易行为负责。对于医疗器械类产品,请先查证核实企业经营资质和医疗器械产品注册证情况。
技术资料暂无技术资料 索取技术资料
壬苯醇醚
¥380 - 3800










