相关产品推荐更多 >
万千商家帮你免费找货
0 人在求购买到急需产品
- 详细信息
- 文献和实验
- 技术资料
- 库存:
210
- 英文名:
7-Epipaclitaxel
- CAS号:
105454-04-4
- 保质期:
长期
- 供应商:
北京百奥莱博科技有限公司
- 规格:
20mg/支
特别提示:包括7-表-紫杉醇(紫杉醇杂质III)在内,本公司的所有产品仅可用于科研实验,严禁用于临床医疗及其他非科研用途!
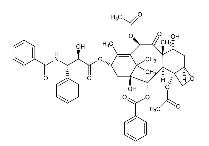
产品名称:7-表-紫杉醇(紫杉醇杂质III)
英文名称:7-Epipaclitaxel
CAS#:105454-04-4
产品货号:7-表-紫杉醇(紫杉醇杂质III)
产品规格:20mg/支
本品为7-表-紫杉醇(紫杉醇杂质III)化学对照品,供HPLC法系统适用性试验用,使用前不需干燥处理。
CAS号:105454-04-4
分子式:C47H51NO14
分子量:853.91
结构式:
包装:棕色西林瓶。
规格:约20毫克/支。
储存条件:遮光,密封保存。
除了7-表-紫杉醇(紫杉醇杂质III),,我公司还供应以下相关产品:
BP0064 荧光母素 50mg/支
BP0080 双*胺 1g
BP0158 联*(代"苯")双酯 100mg
BP0182 盐酸维拉帕米 50mg
BP0257 卡前列甲酯 25mg
BP0644 P-氨基*(代"苯")甲*异丙酯 50mg
BP0670 双氯芬酸钾 100mg/支
BP0689 艾普拉唑 10mg
BP0690 艾普拉唑磺酰化物 /
BP0747 哌喹 100mg
BP0777 米力农 100mg/支
BP0827 氯碘羟喹系统适用性试验对照品 20mg
BP0855 依替膦*(代"酸")二钠 200mg
BP0890 拉米夫定分离度混合物B 20mg/支
BP1105 牛蒡苷 20mg/支
BP1266 氧化槐果碱 20mg
BP1297 十七碳酸甲酯 20mg
BP1303 芥子碱硫*酸盐 20mg/支
BP1364 香叶木素 20mg
BP1729 头孢唑林杂质E 50mg
BP1927 猪胰岛素(高纯〕 约20mg
BP2011 12-羟基硬脂酸甲酯 25mg/支
BP2042 伽马环糊精 100mg/瓶
BP2116 抗A,抗B血型定型试剂(单克隆抗体) 1ml/支
BP2120 米非司酮 100毫克
BP2128 碘塞罗宁 50mg/瓶
GL1353 pH标准缓冲溶液(pH=7.00) 50ml|100ml|500ml
GL2314 pH标准缓冲溶液(pH=7.41) 50ml|100ml|500ml
风险提示:丁香通仅作为第三方平台,为商家信息发布提供平台空间。用户咨询产品时请注意保护个人信息及财产安全,合理判断,谨慎选购商品,商家和用户对交易行为负责。对于医疗器械类产品,请先查证核实企业经营资质和医疗器械产品注册证情况。
文献和实验了,总共经过 28 个步骤,化学家可在试管内完全合成紫杉醇,当时可是一件大事!虽然最后合成的紫杉醇产率仅有 0.5%,不过化学家并不气馁,他们知道如果将合成的步骤缩短,就有商业化生产的价值。 经过多方寻觅,最后发现红豆杉的萃取物中含有浓度甚高的紫杉醇主结构 10-去乙醯巴卡亭III(简称 10-DAB),这种成分在少数红豆杉品种的枝叶中浓度高达 1,000 ppm(ppm,每公斤干重的毫克数),是紫杉醇的三倍以上。利用 10-DAB 作为合成的起始物,只要约 10 个步骤就可合成紫杉醇
网络 附表3 t值表 n’ P(2): P(1): 0.50 0.25 0.20 0.10 0.10 0.05 0.05 0.025 0.02 0.01 0.01 0.005 0.005 0.0025 0.002 0.001 0.001
紫杉醇是红豆杉属植物中的一种复杂的次生代谢产物, 也是目前所了解的惟一一种可以促进微管聚合和稳定已聚合微管的药物。同位素示踪表明, 紫杉醇只结合到聚合的微管上, 不与未聚合的微管蛋白二聚体反应。细胞接触紫杉醇后会在细胞内积累大量的微管,这些微管的积累干扰了细胞的各种功能,特别是使细胞分裂停止于有丝分裂期,阻断了细胞的正常分裂。
技术资料暂无技术资料 索取技术资料










