相关产品推荐更多 >
万千商家帮你免费找货
0 人在求购买到急需产品
- 详细信息
- 文献和实验
- 技术资料
- 库存:
大量
- 英文名:
Betaine hydrochloride
- CAS号:
590-46-5
- 保质期:
2年
- 供应商:
上海信裕生物科技有限公司
- 保存条件:
2-8℃
- 规格:
20mg
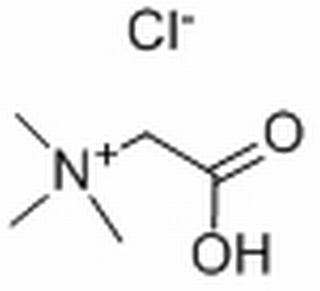
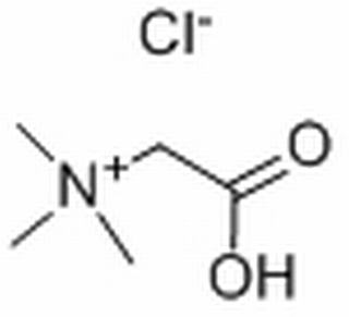
英文名: Betaine hydrochloride
别名: 甘氨酸三甲胺内盐
CAS号: 590-46-5
分子式: C5H11NO2HCl
分子量: 153.61
MDL: MFCD00011903
熔点: 241-242℃
比旋光度: -29.51 (H2O)
储存条件: 2-8℃
来源: 甜菜
外观: 白色结晶
溶解性: 易溶于水64.7 g/100 mL (25°C)、乙醇,难溶于
用途: 有机合成。焊接。树脂处理
敏感性: 易吸潮
盐酸甜菜碱(590-46-5)分析标准品,HPLC≥98%中药对照品的包装要求
中药对照品和中药标准品的包装是指选用适宜的包装材抖和容器.采用适宜的包装技术对药品或药物制剂进行分、封、装、贴签.从而在运输、储存、管理和使用中为药品提供保护、分类和说明作用的过程。
我们对对照药材的包装进行了规范。除参照国家相关规定外.还制仃了详细的包装要求,主要有:包装工作开始前.须核对外包装上的标识与该品种名称、批号、规格等信息是否一致。
包装一般在相对通风环境良好的工作间,对于有毒有害的品种需在手套操作箱中包装,配截好手套口革等防护用具。包装结束后.清点包装数量.稍毁多余标签,清扫工作现场。
盐酸甜菜碱(590-46-5)分析标准品,HPLC≥98%对照品、对照药材等概念
标准品,即标准物品,作为一种衡量标准,用做药物方面,则为含量测定中的标准含量。生物制品标准物质系指用于生物制品效价、活性或含量测定的或其特性鉴别、检查的生物标准品或生物参考物质。
对照品是指用于鉴别、检查、含量测定和校正检定仪器性能的标准物质,对照药材、对照提取物的作用同对照品
两者一样是指国家药品标准中用于鉴别、检查、含量测定、杂质和有关物质检查等标准物质,它是国家药品标准不可分割的组成部分。国家药品标准物质是国家药品标准的物质基础,它是用来检查药品质量的一种特殊的专用量具;是测量药品质量的基准;也是作为校正测试仪器与方法的物质标准。在药品检验中,它是确定药品真伪优劣的对照,是控制药品质量必不可少的工具。
举例说明
薄层色谱鉴别:以大黄对照药材、大黄酸对照品为对照,进行薄层色谱法试验。置紫外光灯(365nm)下检视,药材供试品色谱中,在与对照药材色谱相应的位置上,显相同的5个橙黄色的荧光主斑点;在与对照品色谱相应的位置上,显相同的橙黄色荧光斑点;置氨蒸气中熏后,日光下检视,斑点变为红色。
高效液相色谱鉴别:以薏苡仁油对照提取物、甘油三油酸酯对照品为对照,用高效液相色谱法测定,药材和饮片供试品色谱图中,应呈现与对照品保留时间一致的色谱峰;并呈现与对照提取物保留时间一致的7个主要色谱峰。
风险提示:丁香通仅作为第三方平台,为商家信息发布提供平台空间。用户咨询产品时请注意保护个人信息及财产安全,合理判断,谨慎选购商品,商家和用户对交易行为负责。对于医疗器械类产品,请先查证核实企业经营资质和医疗器械产品注册证情况。
文献和实验,研究5种海生硬骨鱼对氨基酸、甜菜碱和核苷酸的味觉、灵敏性结果表明,所有的鱼类的味觉感受器对10-4M的甜菜碱其均有反应。以色列学者用行为检测研究淡水虾成体的化学感受性,甜菜碱阈值浓度达10-5M-10-8 M,动物引诱行为≥50%。在鱼饲料中添加0.5%~1.5%甜菜碱,对所有鱼类以及虾蟹等甲壳类动物的嗅觉和味觉,均有强烈的刺激作用(郑菊操等,1995)。 阎希柱(1996)报道,饲料中添加0.8%、1.0%的甜菜碱时,罗非鱼的日增重分别较对照组提高28.68%和29.48%,摄食时间缩短
以接近流动相的甲醇�10 mmol/L盐酸(3:1)溶液完全溶解残渣,再经正己烷脱脂后进样,结果取得较好效果[7]。 3.4 流动相采用甲醇∶水(75∶25,V/V),简单经济,毒性小;使用C 8柱,柱温控制在60 ℃,可实现样品峰与内标峰分离良好,有利于延长色谱柱的寿命,降低测定成本。本方法操作简便,测定结果准确,提取回收率>70%,检测限、线性及精密度等均符合临床血药浓度监测的要求。 3.5 我院临床药学室自2002年起在肝、肾移植术后患者中,用HPLC法监测CsA
酰胺(Bis)1.0g,混匀后加ddH2O,37OC溶解,定容至100ml, 棕色瓶存于室温。 2、1.5M Tris-HCl(pH 8.0):Tris 18.17g加ddH2O溶解, 浓盐酸调pH至8.0,定容至100ml。 3、1M Tris-HCl(pH 6.8):Tris 12.11 g加ddH2O溶解, 浓盐酸调pH至6.8,定容至100ml。 4、10% SDS:电泳级SDS 10.0 g加ddH2O 68℃助溶,浓盐酸调至pH 7.2,定容至100ml。 5、10´电泳
技术资料暂无技术资料 索取技术资料










