相关产品推荐更多 >
万千商家帮你免费找货
0 人在求购买到急需产品
- 详细信息
- 文献和实验
- 技术资料
- 库存:
556
- 英文名:
Cephalomannine
- CAS号:
71610-00-9
- 保质期:
长期
- 供应商:
北京百奥莱博科技有限公司
特别提示:包括三尖杉宁碱(紫杉醇杂质I)在内,本公司的所有产品仅可用于科研实验,严禁用于临床医疗及其他非科研用途!
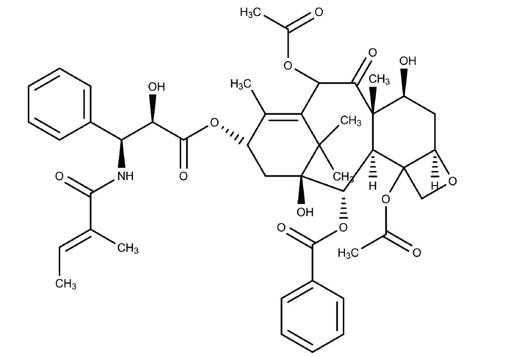
产品名称:三尖杉宁碱(紫杉醇杂质I)
英文名称:Cephalomannine
产品规格:20mg/支
CAS#:71610-00-9
本品为三尖杉宁碱(紫杉醇杂质I)化学对照品,供HPLC法系统适用性试验用,使用前不需干燥处理。
CAS号:71610-00-9
分子式:C45H53NO14
分子量:831.90
结构式:
包装:棕色西林瓶。
规格:约20毫克/支。
储存条件:遮光,密封,在冷处保存。
风险提示:丁香通仅作为第三方平台,为商家信息发布提供平台空间。用户咨询产品时请注意保护个人信息及财产安全,合理判断,谨慎选购商品,商家和用户对交易行为负责。对于医疗器械类产品,请先查证核实企业经营资质和医疗器械产品注册证情况。
文献和实验这周讨论一项常用的技术,即使常用但仍引起部分人核酸分离焦虑症。那就是基因组DNA的纯化去杂质。 场景是这样的:你有一份采自南太平洋中部一个偏僻小岛上首次发现的古老兰花品种根际土壤样品。你使用了非PowerSoil Kit法提取其中的微生物DNA。最终DNA含有太多杂质,无法PCR扩增。因此需要去除腐植酸等PCR抑制因子。你需要所有的核酸分子通过全基因组鸟枪测序……怎么办? 你致电MO BIO说了你的大概情况,而我们推荐了使用PowerClean Kit
紫杉醇是红豆杉属植物中的一种复杂的次生代谢产物, 也是目前所了解的惟一一种可以促进微管聚合和稳定已聚合微管的药物。同位素示踪表明, 紫杉醇只结合到聚合的微管上, 不与未聚合的微管蛋白二聚体反应。细胞接触紫杉醇后会在细胞内积累大量的微管,这些微管的积累干扰了细胞的各种功能,特别是使细胞分裂停止于有丝分裂期,阻断了细胞的正常分裂。
蛋白样品制备中,在细胞破碎之后,既可以利用特定蛋白质的特性来分离某一类蛋白质,比如亲和纯化,比如前面介绍的磷酸化蛋白富集,或者膜蛋白富集;另外一个考虑方向是去除杂质----去掉样品中某些非目标高丰度蛋白或者杂质的干扰,同样可以达到简化样本的目的。当然要小心「倒洗脚水的时候别把婴儿也倒掉了」,一定要选择可靠的产品。 比如,潜在疾病标志物的最好样本来源就是血清或其他体液,此类样本可以提供人蛋白质组中绝大部分组份。然而用蛋白质组分析方法鉴定疾病标志物最大的挑战来自于血清中大量的高丰度
技术资料暂无技术资料 索取技术资料










