相关产品推荐更多 >
万千商家帮你免费找货
0 人在求购买到急需产品
- 详细信息
- 文献和实验
- 技术资料
- 供应商:
北京百奥莱博科技有限公司
- 库存:
773
- 英文名:
Poly-L-lysine (5mg/ml), Mw 150,000-300,000
特别提示:包括多聚L-赖*酸溶液(5mg/ml)(分子量15万~30万)在内,本公司的所有产品仅可用于科研实验,严禁用于临床医疗及其他非科研用途!
产品名称:多聚L-赖*酸溶液(5mg/ml)(分子量15万~30万)
英文名称:Poly-L-lysine (5mg/ml), Mw 150,000-300,000
产品规格:5mg(5mg/ml)
CAS#:25988-63-0
本品为无菌的多聚L-赖*酸(Poly-L-lysine)溶液,浓度为5mg/ml,使用时直接稀释到需要浓度即可。本溶液以分子量为150,000-300,000的Poly-L-lysine配制所得。本品用作细胞培养基质,推荐使用量为:对于25cm2的培养板需要0.1mg/ml的聚赖*酸溶液约0.5ml-1.0ml。
多聚赖*酸(poly-lysine)是一种带正电荷的*基酸聚合物,能够结合于DNA,红细胞膜或任何带负电荷蛋白,是一种非特异性的细胞粘附因子,促进细胞吸附到固相基质上。作用机理在于其可增强细胞膜表面的负电荷离子和固相基质表面(如细胞培养皿,载玻片等)的静电相互作用。当吸附到培养表面后,多聚赖*酸提高用于细胞结合的阳离子结合位点数。多聚赖*酸分子量的大小与粘度相关,即分子量较低,粘度较低;分子量较高,粘度较高,提供的粘附位点也较多。分子量>30,000的聚赖*酸适用于促进细胞粘附到固体基质。
多聚赖*酸(poly-lysine)有两种常见亚型,D-和L-型。由于多聚赖*酸是细胞结合的非特异性粘附因子,因此两种亚型都可用作包被固体基质,在细胞培养中都可促进细胞的贴壁生长。
中文别名:多聚赖*酸溶液(L型)
英文别名:Poly-L-lysine Solution; PLL; Poly-L-lysine hydrobromide Solution
CAS:25988-63-0
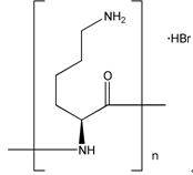
分子式:L-Lys-(L-Lys)n-L-Lys·xHBr
分子量:150,000-300,000
外观:无色至浅黄色液体
储存条件:4℃,有效期两年
结构式:
风险提示:丁香通仅作为第三方平台,为商家信息发布提供平台空间。用户咨询产品时请注意保护个人信息及财产安全,合理判断,谨慎选购商品,商家和用户对交易行为负责。对于医疗器械类产品,请先查证核实企业经营资质和医疗器械产品注册证情况。
文献和实验多聚赖氨酸(Poly-L-Lysine)的配制、保存、使用总结
,我都是放一夜,第二天吸掉晾干就用,当然要紫外消一下.我觉得时间长点没什么大碍。 我们这里的老师说,多聚赖氨酸不能用紫外线照射。 1.用赖氨酸包被培养板和培养瓶时,应该选用多聚左旋赖氨酸(分子量为15-30万) ; 2.感觉你“浓度为50ng/1ml”有些低,我一般最后多聚赖氨酸使用浓度达到20-30ug/ml; 3.包被时间一般为6-7h,或者过夜也可; 4.使用时应该先用灭菌水洗三次+PBS(起平衡盐作用)洗一次,洗液的量应该大于包被液的量; 5.“多聚赖氨酸可以在培养瓶中放多长
。 我们这里的老师说,多聚赖氨酸不能用紫外线照射。 1.用赖氨酸包被培养板和培养瓶时,应该选用多聚左旋赖氨酸(分子量为15-30万) ; 2.感觉你“浓度为50ng/1ml”有些低,我一般最后多聚赖氨酸使用浓度达到20-30ug/ml; 3.包被时间一般为6-7h,或者过夜也可; 4.使用时应该先用灭菌水洗三次+PBS(起平衡盐作用)洗一次,洗液的量应该大于包被液的量; 5.“多聚赖氨酸可以在培养瓶中放多长
。 如果你做免疫组化 ,需要放小的玻片到孔内,就在加多聚赖氨酸之前用无菌的镊子将无菌的玻片夹到孔内即可。 问:PLL的分子量有3-5万,7-15万,15-30万几种,应怎样选择??谢谢:) 答:我们养神经细胞,用的是分子量3万到7万的pll 。 以PBS配成1mg/ml的母液,-20度保存。使用时,用高纯度的蒸馏水稀释成0.11mg/ml的使用浓度,过滤除菌,以50微升每平方厘米的量均匀涂于培养底物的表面,室温下静置5min,吸除多余液体,股风吹干即可
技术资料暂无技术资料 索取技术资料









