相关产品推荐更多 >
万千商家帮你免费找货
0 人在求购买到急需产品
- 详细信息
- 询价记录
- 文献和实验
- 技术资料
- 库存:
707
- 英文名:
CellTracker Green CMFDA (5-Chloromethylfluorescein Diacetate)
- 保质期:
一年
- 供应商:
北京百奥莱博科技有限公司
- 保存条件:
-20℃
特别声明:本产品及我公司所售其他产品均为科研类试剂产品,严禁用于药物、医疗及其他非科研用途。
北京百奥莱博专注于生命科学和生物技术领域,致力于为客户提供包括活细胞示踪剂CMFDA(绿色)价格在内的一系列分子生物学试剂产品,并提供一系列相关的技术服务。
名称:活细胞示踪剂CMFDA(绿色)价格
编号:SY0558
规格:50μg
英文名:CellTracker Green CMFDA (5-Chloromethylfluorescein Diacetate)
品牌:百奥莱博
产地:北京
MFDA,英文全称5-chloromethylfluorescein diacetate,是一种可自由透过活细胞膜对细胞进行示踪的荧光染料。
CMFDA是二乙酸荧光素(Fluorescein diacetate,FDA)的*甲基衍生物,具细胞膜渗透性,无色,不具有荧光发光性。当通过被动运输穿透细胞膜进入活细胞后,CMFDA中的亲脂性基团可被胞浆内非特异性酯酶水解,生成5-*甲基荧光素(5-chloromethylfluorescein);5-*甲基荧光素可发出绿色荧光,因带电荷而不能自由穿透细胞膜,并利用自身*甲基与细胞内蛋白和多肽中的谷胱甘肽在谷胱甘肽巯基转移酶作用下生成加合物,能完好的保留在胞内。经CMFDA标记的细胞,荧光非常稳定,稳定标记的时间可达数天(至少3天),因此非常适用于细胞分化和形态发生等研究。与常用的*黄绿素和FDA相比,具有较长时间的细胞内信号保留特点。
在细胞分裂增殖过程中,CMFDA标记荧光可分配至两个子代细胞中,且具有不会使邻近细胞染色的功能(有极少情况下通过细胞间缝隙连接发生染色)。同时,CMFDA标记荧光还主要用于分析细胞间融合、细胞粘附及多药耐药转运蛋白的研究。此外,CMFDA还可用于与其他细胞示踪染料联合选择性标记感染细胞内的病原菌;与膜不通透性核荧光探针共同使用,可用于细胞活性研究。
本品具有细胞示踪试剂理想的特性:稳定、无毒(工作浓度范围内)、细胞内荧光保留性好、强荧光(生理pH范围内)。CMFDA标记细胞呈绿色荧光,Ex=492nm,Em=517nm,可与其他颜色荧光染料,如红色荧光蛋白(red fluorescent protein,RFP)等共染。本品以粉末形式提供,需用DMSO制备储存液后再使用。
中文名称:5-*甲基荧光素二醋酸酯
英文名称:5-chloromethylfluorescein diacetate
CAS:136832-63-8
分子式:C25H17ClO7
分子量:464.85
外观:无色固体
Ex/ Em:492/517nm
储存条件:-20℃避光干燥,避免反复冻融,有效期一年。
结构式

注意事项
1)不同的细胞其细胞内酯酶活性不同,因此染色效果具有差异性。
2)荧光染料均存在淬灭问题,染色过程需尽量避光。
3)避免使用含有巯基的缓冲液。
4)为了您的健康,实验操作时请穿实验服和带一次性手套。
关于活细胞示踪剂CMFDA(绿色)价格的更详细说明,请致电我公司咨询,我们将以最饱满的热情为您提供解答,此外,我公司专业供应下列产品:
·多聚L-赖*酸溶液(5mg/ml)(分子量15万~30万)
编号:SY0462
英文名称:Poly-L-lysine (5mg/ml), Mw 150,000-300,000
规格:5mg(5mg/ml)
本品为无菌的多聚L-赖*酸(Poly-L-lysine)溶液,浓度为5mg/ml,使用时直接稀释到需要浓度即可。本溶液以分子量为150,000-300,000的Poly-L-lysine配制所得。本品用作细胞培养基质,推荐使用量为:对于25cm2的培养板需要0.1mg/ml的聚赖*酸溶液约0.5ml-1.0ml。
多聚赖*酸(poly-lysine)是一种带正电荷的*基酸聚合物,能够结合于DNA,红细胞膜或任何带负电荷蛋白,是一种非特异性的细胞粘附因子,促进细胞吸附到固相基质上。作用机理在于其可增强细胞膜表面的负电荷离子和固相基质表面(如细胞培养皿,载玻片等)的静电相互作用。当吸附到培养表面后,多聚赖*酸提高用于细胞结合的阳离子结合位点数。多聚赖*酸分子量的大小与粘度相关,即分子量较低,粘度较低;分子量较高,粘度较高,提供的粘附位点也较多。分子量>30,000的聚赖*酸适用于促进细胞粘附到固体基质。
多聚赖*酸(poly-lysine)有两种常见亚型,D-和L-型。由于多聚赖*酸是细胞结合的非特异性粘附因子,因此两种亚型都可用作包被固体基质,在细胞培养中都可促进细胞的贴壁生长。
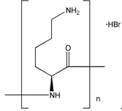
中文别名:多聚赖*酸溶液(L型)
英文别名:Poly-L-lysine Solution; PLL; Poly-L-lysine hydrobromide Solution
CAS:25988-63-0
分子式:L-Lys-(L-Lys)n-L-Lys·xHBr
分子量:150,000-300,000
外观:无色至浅黄色液体
储存条件:4℃,有效期两年
结构式:

活细胞示踪剂CMFDA(绿色)价格关键词:活细胞示踪剂CMFDA,绿色,CellTracker Green CMFDA (5-Chloromethylfluorescein,活细胞示踪剂CMFDA(绿色),136832-63-8
SV1045 T4 多聚核苷酸激酶(3′磷酸酶活性缺失) T4 polynucleotide kinase (3 phosphatase deficiency)
YT060 高灵敏ECL化学发光试剂盒 High sensitive ECL chemiluminescence kit
KFS140 神经元绿色荧光探针 NeuroGreen
SY0369 大肠杆菌表达重组肠激酶(不带标签) Enterokinase, Recombinant, Expressed in E.coli
SV0168 BsaWI限制性内切酶 BsaWI Restriction Endonuclease
KFS339 CFDA SE细胞增殖与示踪检测试剂盒 CFSE Cell Proliferation and Tracking Kit
HR0219 组织蛋白快速提取试剂盒(离心柱法,2D电泳用) Tissue protein rapid extraction kit (centrifugal column method, 2D electrophoresis)
SY0018 XL10-Gold化学感受态细胞 XL10-Gold Chemically Competent Cell
BTN130640 核酸内切酶V Endonuclease V
BTN91104A Denhardt溶液(同位素探针) Denhardt Solution
SV1554 Ph.D.-C7C 噬菌体展示肽库试剂盒
YT305 抗氧化剂NAC(N-乙酰半胱*酸) N-acetyl-L-cysteine
BTN60302 硫*(代"酸")卡那霉素干粉 Kanamycin Sulfate Powder
SY0743 DyLight 405标记链霉亲和素 DyLight 405 Streptavidin
SV0837 Phusion 热启动 Flex 2X Master Mix
WE0294 Western Ladder笔 Western Blot Ladder Pen
BTN90607 柱式BAC载体DNA提取试剂盒 BAC carrier DNA column extraction kit
SY0265 焦炭酸二乙酯 DEPC
活细胞示踪剂CMFDA(绿色)价格关键词:活细胞示踪剂CMFDA,绿色,CellTracker Green CMFDA (5-Chloromethylfluorescein,活细胞示踪剂CMFDA(绿色),136832-63-8
·E-64蛋白酶抑制剂
编号:SY0329
规格:5mg
E-64是一种不可逆的,强效,高选择性半胱*酸蛋白酶抑制剂和*蛋白酶激活抑制剂,可以透过细胞和组织,且具有低毒性,因此被广泛地用于在体内研究中。E-64不能抑制丝*酸蛋白酶(除胰蛋白以外)。E-64可溶于水,在pH2-10体系中稳定,但在*水或HCl体系中不稳定。作为蛋白酶抑制剂使用时,建议工作浓度1-10μM。
CAS:66701-25-5
分子式:C15H27N5O5
分子量:357.41
外观:白色粉末
纯度:≥99%
溶解性:溶于水
储存条件:2~8℃
结构式:

·*化可的松
编号:SY0517
英文名称:Hydrocortisone
规格:5g
*化可的松(Hydrocortisone)是由肾上腺外皮质层分泌的一种原发性糖皮质激素,抗炎效果是皮质酮(corticosterone)的三倍,但Na2+保留性能比皮质酮低。*化可的松受环境压力和血液中低糖皮质激素刺激而分泌,主要功能在于通过糖异生作用增加血糖水平;抑制免疫反应;以及促进脂肪,蛋白质和碳水化合物的代谢活动。
中文别名:*化皮质酮;皮质醇;*化泼尼松龙;17-羟基皮质甾酮;
英文别名:Cortisol; 11β,17α,21-Trihydroxypregn-4-ene-3,20-dione, 17-Hydro- xycorticosterone
CAS:50-23-7
分子式:C21H30O5
分子量:362.5
外观:白色结晶性粉末
溶解性:溶于乙醇、甲醇、丙*(代"酮"),微溶于水
纯度:>98%
熔点:212~220℃
储存条件:2-8℃
结构式

北京百莱博科技有限公司专业生产供应销*(代"售")生物试剂、化学试剂、抗原抗体、血清血浆、Elisa试剂盒,更多试剂产品需求,欢迎来电咨询选购活细胞示踪剂CMFDA(绿色)价格。
风险提示:丁香通仅作为第三方平台,为商家信息发布提供平台空间。用户咨询产品时请注意保护个人信息及财产安全,合理判断,谨慎选购商品,商家和用户对交易行为负责。对于医疗器械类产品,请先查证核实企业经营资质和医疗器械产品注册证情况。
- 作者
- 内容
- 询问日期
文献和实验成像 获取多个Z序列图像共聚焦显微镜,多光子显微镜↓ 分析 1.识别诸如细胞核、体积、细胞器等感兴趣的对象。2.设置分析参数3.通过圈门进行图形分析4.统计分析 表 1:从样品制备到分析的 3D 分析工作流程。 NoviSight 软件分析步骤 主要对象识别 通过活/死细胞数量评估活/死细胞测定。NoviSight 软件可以从细胞核染剂中检测细胞数量。为了识别细胞核,我们使用了专门的 NoviSight 模块进行核检测:NuclearL 。在输入适当的细胞大小、背景强度和 Z
化杀伤效果(图3)。 图 3. TP53野生型(左)或突变型(右)的绿色荧光蛋白(GFP)标记的TYK-nu细胞中加入不同浓度的H2-scDb和T细胞以E:T为2:1的比例进行共培养。实时活细胞成像检测TYK-nu细胞的生长。 文章讨论了该抗体片段(H2-scFv),可以特异性识别灭活的肿瘤抑制基因的蛋白质产物,而不识别完整细胞中的 WT 形式,且对蛋白质的突变形式具有特异性。H2 (H2-scDb) 构建的双特异性抗体可以激活 T 细胞,诱导多功能 T 细胞效应反应,包括细胞毒活性
为150347-59-4。CFDA SE可以通透细胞膜 ,进入细胞后可以被细胞内的酯酶(esterase)催化分解成CFSE,CFSE可以偶发性地(spontaneously)并不可逆地和细胞内蛋白的Lysine残基或其它氨基发生结合反应,并标记这些蛋白。在加入荧光探针CFDA SE后大约24小时,即可充分标记细胞。被CFDA SE标记的非分裂细胞的荧光非常稳定,稳定标记的时间可达数个月。CFDA SE标记细胞的荧光非常均一,比以前使用的其它细胞示踪荧光探针例如PKH26的荧光更加均一,并且分裂后的子代
技术资料暂无技术资料 索取技术资料









