相关产品推荐更多 >
万千商家帮你免费找货
0 人在求购买到急需产品
- 详细信息
- 文献和实验
- 技术资料
- 库存:
大量
- 英文名:
Ganoderenic acid D
- 保质期:
1-3年
- 供应商:
上海沪震实业有限公司
- 保存条件:
常温或2-8℃保存
- 规格:
5mg/10mg/25mg
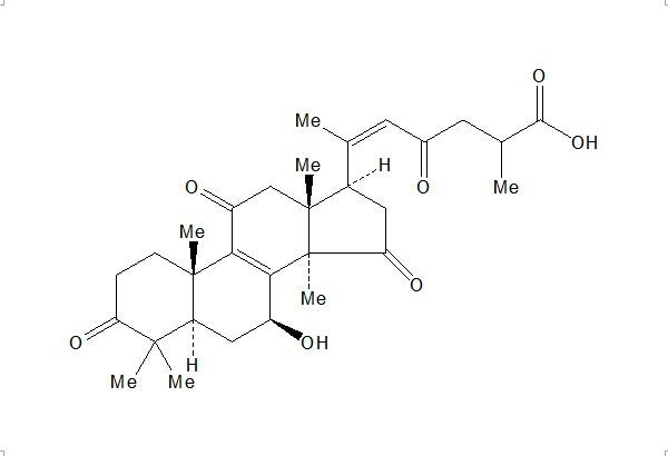
【Product Name】 Ganoderenic acid D
【CAS Number】 100665-43-8
【中文名称】 灵芝烯酸D
【Chemical Name】 Lanosta-8,20(22)-dien-26-oic acid, 7-hydroxy-3,11,15,23-tetraoxo-,(7β,20E)-
【Chemical Formula】 C30H40O7
【Molecular Weight】 512.64
【Chemotaxonomic Group】 三萜类 Triterpenoids

相关标准品-对照品列表:
| HZ30275-100g | 亚苄基丙酮 | HZenzylideneacetone | 122-57-6 | CP | 100g | 55.00 |
| HZ30275-250g | 亚苄基丙酮 | HZenzylideneacetone | 122-57-6 | CP | 250g | 120.00 |
| HZ30276-100g | 苯甲酰三氟丙酮 | HZTA | 326-06-7 | AHZ,98% | 100g | 1500.00 |
| HZ30276-25g | 苯甲酰三氟丙酮 | HZTA | 326-06-7 | AHZ,98% | 25g | 450.00 |
| HZ30276-5g | 苯甲酰三氟丙酮 | HZTA | 326-06-7 | AHZ,98% | 5g | 200.00 |
| HZ30277-100g | 双吡唑酮 | HZis-pyHZazolone | 7477-67-0 | AHZ,98% | 100g | 2800.00 |
| HZ30277-25g | 双吡唑酮 | HZis-pyHZazolone | 7477-67-0 | AHZ,98% | 25g | 750.00 |
| HZ30277-5g | 双吡唑酮 | HZis-pyHZazolone | 7477-67-0 | AHZ,98% | 5g | 290.00 |
| HZ30278-100g | 环辛酮 | Cyclooctanone | 502-49-8 | AHZ,98% | 100g | 1150.00 |
| HZ30278-25g | 环辛酮 | Cyclooctanone | 502-49-8 | AHZ,98% | 25g | 280.00 |
风险提示:丁香通仅作为第三方平台,为商家信息发布提供平台空间。用户咨询产品时请注意保护个人信息及财产安全,合理判断,谨慎选购商品,商家和用户对交易行为负责。对于医疗器械类产品,请先查证核实企业经营资质和医疗器械产品注册证情况。
文献和实验内转变成2O碳5烯酸(EPA)和22碳6烯酸(DHA),亚麻酸的研究,紫苏中芳香性生成分丁香油酚、α-蒎烯、紫苏醇等成分对人体具有参与神经细胞生物构成、增强中枢的功能圈。文献资料多为对紫苏子中α-均有较大的毒副作用。 1 仪器与试药 1.1 仪器:电子天平,METTLER TOLEDO GB-204;CSF-1A超声波发生器,上海超声波仪器厂;小型三用水箱, 北京医疗设备总厂; 气相色谱仪(Gas Chromatogram,GC),Agilent 4890D。 1.2 试药:椒目仁油,陕西盛华
溶解度测定法GB/T 5009.76—2003 食品添加剂中砷的测定GB/T 5009.74—2003 食品添加剂中重金属限量试验GB/T 14454.12-2008 香料 微量氯测定法GB/T 7531-2008 有机化工产品灼烧残渣的测定GB/T 6284-2006 化工产品中水分测定的通用方法 干燥减量法国家质检总局[2005]第75号令《定量包装商品计量监督管理办法》3、分子式、结构式和相对分子量3.1 化学名称:3-(4-羟基苯基)-2-丙烯酸
丙烯酸甲酯共聚物或 载体 -骨水泥搅匀,制成圆柱或珠,手术后埋植于组织中,治疗急、慢性深部骨、软组织感染或预防外科手术后可能产生的细菌性并发症,能持续稳定(长达81d以上)地从 载体 中释放药物,产生局部高浓度,杀灭隐匿在感染部位的致病菌,而全身浓度低,减少了药物的副作用。 参考文献 1 张海莺,张丽梅,谢松等.反
技术资料暂无技术资料 索取技术资料










