相关产品推荐更多 >
万千商家帮你免费找货
0 人在求购买到急需产品
- 详细信息
- 文献和实验
- 技术资料
- 库存:
大量
- 英文名:
Ganoderenic acid C
- 保质期:
1-3年
- 供应商:
上海沪震实业有限公司
- 保存条件:
常温或2-8℃保存
- 规格:
2mg/10mg/25mg
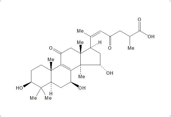
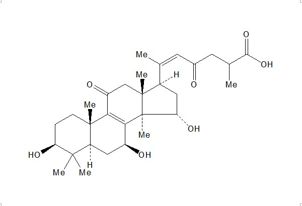
【Product Name】 Ganoderenic acid C
【CAS Number】 100665-42-7
【中文名称】 灵芝烯酸C
【Chemical Name】 Lanosta-8,20(22)-dien-26-oic acid, 3,7,15-trihydroxy-11,23-dioxo-, (3β,7β,15α,20E)-
【Chemical Formula】 C30H44O7
【Molecular Weight】 516.67
【Chemotaxonomic Group】 三萜类 Triterpenoids

相关标准品-对照品列表:
| HZ24318-500g | 乙酸锌 | Zinc acetate dihydHZate | 5970-45-6 | AHZ,99% | 500g | 40.00 |
| HZ24319-500g | 硬脂酸锌 | SteaHZic acid zinc salt | 557-05-1 | CP,13.5-15.5% | 500g | 60.00 |
| HZ24320-500g | 草酸 | Oxalic acid dihydHZate | 6153-56-6 | AHZ,99.5% | 500g | 30.00 |
| HZ24321-250ml | 十一烯酸 | Undecylenic Acid | 112-38-9 | CP,95% | 250ml | 100.00 |
| HZ24322-500g | 铅粉 | Lead | 7439-92-1 | 3N,200目 | 500g | 50.00 |
| HZ24323-25g | 氧氯化锆 | ZiHZconyl chloHZide octahydHZate | 13520-92-8 | AHZ,99% | 25g | 30.00 |
| HZ24324-25g | 硫酸铈 | CeHZium(IV) sulfate tetHZahydHZate | 10294-42-5 | AHZ,99% | 25g | 30.00 |
| HZ24326-100g | N-乙酰苯肼 | N-AcetylphenylhydHZazine | 114-83-0 | CP,98% | 100g | 80.00 |
| HZ24327-500g | 三氧化锑 | Antimony(III)oxide | 1309-64-4 | AHZ,99.5% | 500g | 120.00 |
| HZ24328-500g | 三氯化 | Antimony(III)chloHZide | 10025-91-9 | AHZ,99% | 500g | 100.00 |
| HZ24329-500g | 碳酸钡 | HZaHZium caHZHZonate | 513-77-9 | AHZ,99% | 500g | 30.00 |
| HZ24330-500g | 碳酸锶 | StHZontium caHZHZonate | 1633-05-2 | AHZ,99% | 500g | 45.00 |
风险提示:丁香通仅作为第三方平台,为商家信息发布提供平台空间。用户咨询产品时请注意保护个人信息及财产安全,合理判断,谨慎选购商品,商家和用户对交易行为负责。对于医疗器械类产品,请先查证核实企业经营资质和医疗器械产品注册证情况。
文献和实验/pola.27400 10.Elomaa L, Pan C, Shanjani Y, Malkovskiy A, Seppälä JV, Yang Y. Three-dimensional fabrication of cell-laden biodegradable poly(ethylene glycol-co-depsipeptide) hydrogels by visible light stereolithography. J. Mater. Chem. B. 3(42):8348-8358
摘要:用乙醚-己烷混合溶剂抽提柿树叶中的脂肪酸,NaOH-CH3OH交换法甲酯化,毛细管柱FFAP作为分离柱,进行气相色谱-质谱法测定脂肪酸(以甲酯的形式)的组成。共分离出21种脂肪酸,鉴定出19种,占总含量的98.72%,其中以肉豆蔻酸(6.68%)、棕榈酸(30.00%)、硬脂酸(10.42%)、十六碳三烯酸(1.44%)、亚油酸(1.84%)、十八碳一烯酸(22.22%)、亚麻酸(1.25%)、花生酸(1.72%)、蜡酸(19.01%)为主。 关键词:柿树叶;脂肪酸;气相色谱-
(0.1-1mM)强PLλ噬菌体λ cI 阻遏物 / 温度强噬菌体 T5T5 噬菌体lacI/IPTG (0.1-1mM)强pBAD阿拉伯糖操纵元AraBAD/ 阿拉伯糖( 1 μ m-10mM )严谨T7T7 RNA 聚合酶lacI/IPTG (0.1-1mM)非常强乳糖操纵子是应用最广泛的调控模式,除了IPTG这种化学诱导方式之外还有利用吲哚丙烯酸和阿拉伯糖的化学诱导。如果你害怕这些化学物质会损害细菌的生长,那么你可以尝试利用温度诱导的载体,如:pDH2。它利用PL启动子,在温度上升到42℃后进行诱导
技术资料暂无技术资料 索取技术资料










