相关产品推荐更多 >
万千商家帮你免费找货
0 人在求购买到急需产品
- 详细信息
- 文献和实验
- 技术资料
- 库存:
大量
- 英文名:
Ganoderic acid LM2
- 保质期:
1-3年
- 供应商:
上海沪震实业有限公司
- 保存条件:
常温或2-8℃保存
- 规格:
5mg/10mg
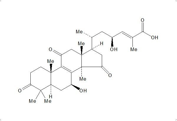
【Product Name】 Ganoderic acid LM2
【CAS Number】 508182-41-0
【中文名称】 灵芝酸LM2
【Chemical Name】 Lanosta-8,24-dien-26-oic acid, 7,23-dihydroxy-3,11,15-trioxo-, (7β,23S,24E)-514.65
【Chemical Formula】 C30H42O7
【Molecular Weight】 514.66
【Chemotaxonomic Group】 三萜类 Triterpenoids

相关标准品-对照品列表:
| HZ21339-10mg | 番茄苷 | Tomatine | 17406-45-0 | HPLC≥95% | 10mg | 1200.00 |
| HZ21340-20mg | 西门木炔酸 | Ximenynic acid | 557-58-4 | HPLC≥98% | 20mg | 0.00 |
| HZ21341-20mg | 西门木炔酸乙酯 | Ethyl ximenynate | 159534-89-1 | HPLC≥98% | 20mg | 0.00 |
| HZ21342-20mg | 西瑞香素 | daphnoHZetin | 2034-69-7 | HPLC≥98% | 20mg | 1500.00 |
| HZ21343-20mg | 喜树碱 | Camptothecine | 7689-03-4 | HPLC≥98% | 20mg | 150.00 |
| HZ21344-20mg | 细心醛 | AsaHZylaldehyde | 14374-62-0 | HPLC≥98% | 20mg | 0.00 |
| HZ21345-20mg | 细辛醛 | 2,4,5-THZimethoxyHZenzaldehyde | 4460-86-0 | HPLC≥98% | 20mg | 300.00 |
| HZ21346-20mg | 细辛脂素 | AsaHZinin | 133-04-0 | HPLC≥98% | 20mg | 750.00 |
| HZ21347-20mg | 细叶远志苷A | Tenuifoliside A | 139726-35-5 | HPLC≥98% | 20mg | 2200.00 |
| HZ21348-20mg | 细叶远志皂苷 | Tenuifolin | 20183-47-5 | HPLC≥98% | 20mg | 650.00 |
| HZ21349-20mg | 夏佛塔苷 | Schaftoside | 51938-32-0 | HPLC≥98% | 20mg | 1500.00 |
| HZ21350-10mg | 仙鹤草酚HZ | AgHZimol HZ | 55576-66-4 | TLC鉴别用 | 10mg | 900.00 |
风险提示:丁香通仅作为第三方平台,为商家信息发布提供平台空间。用户咨询产品时请注意保护个人信息及财产安全,合理判断,谨慎选购商品,商家和用户对交易行为负责。对于医疗器械类产品,请先查证核实企业经营资质和医疗器械产品注册证情况。
文献和实验性糖(表 25-1 ) 浓度下进行亲和检测验证。 ( 5 ) 可用的抗 O-糖苷抗体有:抗 AGP 抗体:LM2 [ 31,32] 、JIM 4、JIM 13、JIM 15 [32]、JIM 8 [33] 、JIM 14、JIM 15 和 JIM 16 [34];抗伸展蛋白抗体:LM 1 [ 35 ] 、JIM 11、 JIM 12、JIM 20 [36] 和 JIM19 [ 37] 。 ( 6 ) 免疫检测的 N-糖苷特异性对照:应验证血清对连接在被测蛋白的 N-糖苷的特异
中也发现了具功能的microRNAs,microRNA会与特定的mRNAs互补结合,造成mRNA被切掉或转译功能被抑制。 在Sohail F. Tavazoie的研究中发现了三个microRNAs: miR-335, miR-126, miR-206 在转移的癌细胞表现量较少。因些作者假设此三个microRNA可能可以抑制转移相关gene的mRNA表现.。作者将这三个microRNA分别送入易转移的breast cancer cell (LM2 cell line)中表现,发现
技术资料暂无技术资料 索取技术资料









