相关产品推荐更多 >
万千商家帮你免费找货
0 人在求购买到急需产品
- 详细信息
- 文献和实验
- 技术资料
- 库存:
830
- 英文名:
Azlocillin
- CAS号:
37091-66-0
- 保质期:
长期
- 供应商:
北京百奥莱博科技有限公司
- 保存条件:
2-8℃
特别声明:本产品及我公司所售其他产品均为科研类试剂产品,严禁用于药物、医疗及其他非科研用途。
北京百奥莱博公司供应包括北京现货阿洛西林标准品优惠在内的化学标准品,化学对照品,杂志对照品,HPLC标准品,UV标准品等高品质标准品、对照品
名称:北京现货阿洛西林标准品优惠
产地:国产|进口
编号:BP1698
规格:100mg/支
英文名:Azlocillin
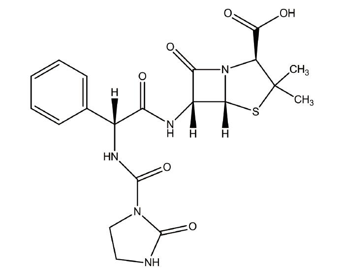
本品为阿洛西林化学对照品,供HPLC法含量测定用,以C20H23N5O6S计,含量为93.8%。使用前不需干燥处理。
CAS号:37091-66-0
分子式:C20H23N5O6S
分子量:461.1
结构式:

包装:白色安瓿
规格:100mg/支
储存条件:2-8℃条件遮光保存。
我公司的北京现货阿洛西林标准品优惠,性价比高,货期短,送货上门,欢迎您来电咨询购买,另外,我公司还生产供应销*(代"售")下列产品:
·克林霉素磷酸酯
编号:BP1638
英文名称:Clindamycin Phosphate
规格:100mg/支
本品为克林霉素磷酸酯化学对照品,供高效液相含量测定用,含量以克林霉素(C18H33ClN2O5S)计。
使用方法:精密称取适量,按相关质量标准所规定的方法,配制至所需浓度的对照品溶液,立即使用。
储存条件:置 5℃以下条件低温避光保存。启开安瓿后严密保持干燥以防吸水。
注意事项:使用前不需干燥处理。最小取样量:10mg
·人免疫球蛋白白喉抗体国家标准品
编号:BP2111
英文名称:Anti-diphtheria immunoglobulins , human
规格:0.4HAU/支
本品为克林霉素磷酸酯化学对照品,供高效液相含量测定用,含量以克林霉素(C18H33ClN2O5S)计。
使用方法:精密称取适量,按相关质量标准所规定的方法,配制至所需浓度的对照品溶液,立即使用。
储存条件:置 5℃以下条件低温避光保存。启开安瓿后严密保持干燥以防吸水。
注意事项:使用前不需干燥处理。最小取样量:10mg
·盐*(代"酸")*己新杂质
编号:BP0992
英文名称:Bromhexine Hydrochloride Impurity I(3-bromo-5-chloro-1-((cyclohexyl(methyl)amino)methyl)aniline)
规格:30毫克/支
本品为克林霉素磷酸酯化学对照品,供高效液相含量测定用,含量以克林霉素(C18H33ClN2O5S)计。
使用方法:精密称取适量,按相关质量标准所规定的方法,配制至所需浓度的对照品溶液,立即使用。
储存条件:置 5℃以下条件低温避光保存。启开安瓿后严密保持干燥以防吸水。
注意事项:使用前不需干燥处理。最小取样量:10mg
·牛磺熊去氧胆酸*
编号:BP1103
英文名称:Sodium Tauroursodeoxycholate
规格:20mg/支
本品为牛磺熊去氧胆酸*化学对照品,供含量测定用,使用前不需干燥处理。含量以93.4%计。
CAS号:14605-22-2
分子式:C26H44NO6SNa
分子量:521.69
结构式:

包装:棕色安瓿瓶
装量:约20mg/支
储存条件:冷处保存
注意事项:本品有引湿性,打开包装后一次使用完毕。
·盐*(代"酸")阿扎司琼
编号:BP0600
英文名称:Azasetron Hydrochloride
规格:100mg/支
本品为盐*(代"酸")阿扎司琼化学对照品,供含量测定用。按C17H20ClN3O3·HCl计,含量为99.7%。
CAS号:123040-16-4
分子式:C17H20ClN3O3·HCl
分子量:386.28
包装及装量:棕色西林瓶装,每支约100毫克。
储存条件:遮光,密封保存
注意事项:使用前不需干燥处理。
·二十碳五烯酸乙酯
编号:BP1859
英文名称:Ethyl Eicosapentaenoate
规格:1ml/支
本品为二十碳五烯酸乙酯化学对照品,供多烯酸乙酯及制剂鉴别与含量测定 ,含量以二十碳五 烯酸乙酯(C22H34O2)计为 11.6mg,溶剂为异辛烷。
分子式:C22H34O2
分子量:330.51
使用方法:按照质量标准方法整支溶解后使用。
包装及装量:3ml 棕色安瓿,1ml/支
储存条件:2-8℃避光保存
注意事项:开瓶后一次使用。
北京现货阿洛西林标准品优惠关键词:37091-66-0,Azlocillin,阿洛西林
我公司所售科研每月均有新品促销,您可对我公司网站时刻进行关注,在促销期间购买您所需产品,价格更优惠。阿洛西林质量保证,品质已经得到广大客户的认可,您可放心,且我公司有专门的售后部门对客户进行全线跟踪,全程免费技术指导。欢迎询价详谈!
·黄嘌呤
编号:BP1811
英文名称:Xanthine
规格:20mg
本品为黄嘌呤化学对照品,供次黄嘌呤系统适应性试验用。
分子式:C5H4N4O2
分子量:152.11
包装:2ml西林瓶
规格:每支20mg
储存条件:遮光,4℃~8℃保存。
·双唾液酸二己糖神经节苷脂*
编号:BP1921
英文名称:Disialoganglioside GD3.disodiu*(代"m")
规格:5mg/瓶
本品为双唾液酸二己糖神经节苷脂*化学对照品,供有关物质检查及含量测定系统适用性试验用。
CAS号:62010-37-1
分子式:C70H123N3O29·2Na
分子量:1517.8
包装:棕色西林瓶
规格:约5mg/瓶
储存条件:2~8℃冷藏保存
注意事项:本品具有引湿性,建议开包装后一次使用。
·盐*(代"酸")多巴胺
编号:BP0060
英文名称:Dopamine Hydrochloride
规格:200mg
本品为盐*(代"酸")多巴胺(DopamineHydrochloride)的化学对照品,使用前不需干燥处理。供HPLC法含量测定用,按C8H11NO2·HCl计算,含量为99.8%。
分子式:C8H11NO2·HCl
结构式:

分子量:189.64
CAS号:62-31-7
包装:安瓿瓶装
规格:约200毫克/支
储存条件:遮光,密闭,冷处保存。
·3’-*-3’-脱氧胸苷(齐多夫定杂质)
编号:BP0891
英文名称:3’-chloro-3’-deoxythymidine
规格:50mg
本品为齐多夫定杂质(3"-*-3"-脱氧胸苷)化学对照品,供HPLC法测定,按C10H13N2O4Cl计,含量为98.0%。
分子式:C10H13N2O4Cl
分子量:260.68
包装及装量:西林瓶装,每支约50毫克。
储存条件:遮光,密封保存。
注意事项:使用前不需干燥处理。
北京现货阿洛西林标准品优惠关键词:37091-66-0,Azlocillin,阿洛西林
阿洛西林如何储存?
化学试剂的变质,大多数情况是因为受外界条件的影响,如空气中的氧气、二氧化碳、水蒸气、空气中的酸碱性物质以及环境 温度、光照等,都可使化学试剂发生氧化、还原、潮解、风化、析晶、稀释、锈蚀、分解、挥发、升华、聚合、发霉、变色以及燃爆等变化。经常检查储存中的化学 试剂的存放状况发现实际起过的储存期或变质应及时报告,并按规定妥善处理 ( 降级使用或报废) 和销帐。在正常储存条件下,一般化学试剂贮有不宜超过2年,基准试剂不超1年。为了避免环境和其他因素的干扰,所有化学试剂一经取出不得放回贮有容器: 属于必须回收的试剂或指定、退库、的试剂,必须另设专用容器回收或贮存,具有吸潮性或易氧化,易变质的化学试试剂必须密封保存,避免吸湿解,氧化或变质。 定期盘点,核对出现差错应及时检查原因,并报主管领导或部门处理。
番红O乙醇溶液 0.5%|1% 100ml
ARB12251 大鼠血管紧张素Ⅰ转化酶(ACEⅠ)含量检测 Rat angiotensin Ⅰ converting enzyme,aceⅠ ELISA KIT
对羟基*甲*(代"酸") Triton x-100 99-96-7
E0302 抗凝绵羊血(无菌 袋装) 500ml/1000ml/2000ml
1-*乙酰胺 Retinoic acid 86-86-2
PY04-095 利福平 1mg/支×10支 每支添加于100ml 改良CCDA琼脂培养基基础中,用于弯曲杆菌的选择性分离培养
573-58-0 Congo Red 刚果红
BTN3120 微量RNA助沉剂 RNADOWN
ARB10072 人CCAAT增强子结合蛋白δ(C/EBPδ)ELISA代测服务 Human ccaat/enhancer binding protein deta,c/ebpδ ELISA KIT
10526-80-4 Phospho(enol)pyruvic acid 磷酸烯醇式丙*(代"酮")酸
6014-58-1 亮蓝 Brilltant Blue
BTN3091 液相RNase清除剂 Solution RNase Erasol
橘黄G6染色液 100ml|500ml
ARB11034 人妊娠特异性β1糖蛋白(SP1/PSβ1-G)尿液中含量检测 Human pregnancy specificβ1glycoprotein,sp1/psβ1-g ELISA KIT
SJ0402 Linoleic acid 亚油酸
DN1001 全血/组织/细胞基因组DNA快速提取试剂盒
F020217 兔抗猴IgG抗体 Rabbit Anti-Monkey IgG
ARB13402 羊棘球蚴(echInococcIosIs)酶免分析
阿洛西林等级划分:
我国的试剂规格基本上按纯度(杂质含量的多少)划分,共有高纯、光谱纯、基准、分光纯、优级纯、分析和化学纯等7种。国家和主管部门颁布质量指标的主要优级纯、分级纯和化学纯3种。
(1)优级纯(GR),又称一级品或保证试剂,99.8%,这种试剂纯度最高,杂质含量最低,适合于重要精密的分析工作和科学研究工作,使用绿色瓶签。
(2)分析纯(AR),又称二级试剂,纯度很高,99.7%,略次于优级纯,适合于重要分析及一般研究工作,使用红色瓶签。
(3)化学纯(CP),又称三级试剂,≥ 99.5%,纯度与分析纯相差较大,适用于工矿、学校一般分析工作。使用蓝色(深蓝色)标签。
(4)实验试剂(LR),又称四级试剂。
我公司强烈推荐标准品对照品系列产品,热情期待您的咨询选购北京现货阿洛西林标准品优惠。
风险提示:丁香通仅作为第三方平台,为商家信息发布提供平台空间。用户咨询产品时请注意保护个人信息及财产安全,合理判断,谨慎选购商品,商家和用户对交易行为负责。对于医疗器械类产品,请先查证核实企业经营资质和医疗器械产品注册证情况。
文献和实验保存 5.准备好所有实验额外所需物品,如试管、吸头、移液器、离心机等 6.根据检测标本数量确定所需试剂的量 7.按说明书将所用试剂平衡至室温,配制所需试剂 8.若有问题,应与我公司或代理商的技术支持联系 博士德生产的ELISA试剂盒特点: 可靠性:博士德公司提供一系列细胞因子和其它蛋白质类ELISA试剂盒。这些试剂盒的标准品、检测抗体和显色剂等辅助试剂/耗材全部为进口产品。其中标准品主要来自SIGMA, R&D和PIERCE公司,保证了定量分析的准确性。检测抗体均已做过特异性和交叉反应的详细
技术资料暂无技术资料 索取技术资料










