相关产品推荐更多 >
万千商家帮你免费找货
0 人在求购买到急需产品
- 详细信息
- 询价记录
- 技术资料
- 保存条件:
阴凉干燥
- 保质期:
长期
- 英文名:
Ceftizoxime
- 库存:
212
- 供应商:
北京百奥莱博科技有限公司
- CAS号:
68401-81-0
特别声明:本产品及我公司所售其他产品均为科研类试剂产品,严禁用于药物、医疗及其他非科研用途。
北京百奥莱博公司供应包括头孢唑肟对照品促销在内的化学标准品,化学对照品,杂志对照品,HPLC标准品,UV标准品等高品质标准品、对照品
名称:头孢唑肟对照品促销
英文名:Ceftizoxime
编号:BP1653
产地:国产|进口
规格:100mg/支
品牌:百奥莱博
本品为头孢唑肟化学对照品,供HPLC法含量测定用,以C13H13N5O5S2计,含量为98.5%,使用前不需干燥处理。
CAS号:68401-81-0
分子式:C13H13N5O5S2
分子量:383.38
结构式:

包装:白色安瓿
规格:约100mg/支
储存条件:置2-8℃遮光保存。
我公司的头孢唑肟对照品促销,性价比高,货期短,送货上门,欢迎您来电咨询购买,另外,我公司还生产供应销*(代"售")下列产品:
·硫*(代"酸")**吡格雷
编号:BP0624
英文名称:Clopidogrel Bisulfate
规格:100毫克/支
本品为硫*(代"酸")**吡格雷化学对照品,供含量测定用。105℃干燥2小时后使用。按C16H16ClNO2S·H2SO4计,供HPLC法测定,含量为99.5%;供UV法测定,含量为99.9%。
分子式:C16H16ClNO2S·H2SO4
分子量:419.90
CAS号:120202-66-6
包装:棕色西林瓶
规格:约100毫克/支
储存条件:遮光,密闭,10~30℃保存
·隐丹参酮
编号:BP1130
英文名称:Cryptotanshinone
规格:20mg
本品为隐丹参酮化学对照品,供鉴别或含量测定用,含量以98.7%计。
分子式:C19H20O3
分子量:296.35
结构式:

包装及装量:棕色瓶。
储存条件:干燥密闭保存。
注意事项:置五氧化二磷减压干燥器中干燥 12 小时后使用。
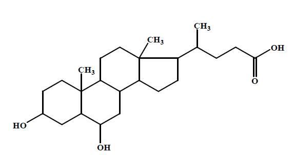
·猪去氧胆酸
编号:BP0073
英文名称:Hyodeoxycholic Acid
规格:100mg/支
本品为猪去氧胆酸(Hyodeoxycholicacid)的化学对照品,使用前不需干燥处理。供TLC法含量测定、鉴别用。按C24H40O4计,含量为99.7%。
分子式:C24H40O4
结构式:

分子量:392.58
CAS号:83-49-8
包装及装量:棕色西林瓶装,每支约100mg。
储存条件:密封保存。
头孢唑肟对照品促销关键词:Ceftizoxime,68401-81-0,头孢唑肟
我公司坚持“品质至上”, 通过与国际知名品牌的合作,选择高品质的产品,提供优质的客户服务。头孢唑肟现货供应,以保证产品质量和市场需求率为主要目标,争取能在科研生命道路上能够长久的服务于广大新老客户。
M0108 胶体金标记物保存稀释液
ARB12997 小鼠抗甲状腺过氧化物酶抗体(TPO-Ab)检测服务 Mouse anti-thyroid-peroxidase antibody,tpo-ab ELISA KIT
BL0946 生物素化兔抗鸡IgG抗体
BL0903 FITC标记羊抗牛IgG抗体
羟基*酚蓝二* Butyl Sepharose 4FF 165660-27-5
ARB12326 大鼠肠脂肪酸结合蛋白(IFABP)定量分析 Rat intestinal fatty acid binding protein,ifabp ELISA KIT
(3a,5b,7a,12a)-N,N-双[3-(D-葡萄糖酰*基)丙基]-3,7,12-三羟基胆甾烷-24-胺 Quinidine Sulfate 86303-22-2
ARB13453 鸡白血病病毒抗原(ALV-AG)elisa测定使用说明书 Chicken avian leukosis virus ag,alv-ag ELISA KIT
SJ0710 EB溶液 10mg/ml
PY01-015 猪胆盐 25克
ARB13962 猪氧化低密度脂蛋白(OxLDL)elisa检测说明书 Porcine oxidized lowdensity lipoprotein,oxldl ELISA KIT
BL1170 通用基因组DNA提取试剂盒
114-07-8 红霉素 Erythromycin
ARB12692 大鼠凝血因子Ⅻ(FⅫ)含量测试 Rat coagulation factor Ⅻ,fⅫ ELISA KIT
邻*二甲*(代"酸") RuDP 88-99-3
头孢唑肟对照品促销关键词:Ceftizoxime,68401-81-0,头孢唑肟
头孢唑肟的不同等级:
除了优级纯、分析纯、化学纯、实验试剂外,目前市场上尚有:基准试剂(PT):专门作为基准物用,可直接配制标准溶液。光谱纯试剂(SP):表示光谱纯净。但由于有机物在光谱上显示不出,所以有时主成分达不到99.9%以上,使用时必须注意,特别是作基准物时,必须进行标定。纯度远高于优级纯的试剂叫做高纯试剂(≥ 99.99%)。
一般化学试剂的品级:一级试剂、二级试剂、三级试剂、四级试剂
国内标准名称:优级纯(保证试剂)、分析纯、化学纯 、实验试剂
国内标签颜色:绿色、红色、蓝色、中黄色
ARB10172 人VIT A 酶免分析
ARB10959 人肠脂肪酸结合蛋白(IFABP)Elisa定量检测 Human intestinal fatty acid binding protein,ifabp ELISA KIT
ARB12734 小鼠8羟基脱氧鸟苷(8-OHdG)血清中含量检测 Mouse 8-hydroxy-desoxyguanosine,8-ohdg ELISA KIT
ARB12658 大鼠新生甲状腺素(NN-T4)ELISA代测服务 Rat neonatal thyroxine,nn-t4 ELISA KIT
HC0158 离心管盒
BL0899 FITC标记羊抗兔IgG抗体
ARB11637 人淋巴毒素α(LTA)检测服务 Human lymphotoxinα,lta ELISA KIT
BTN131045 辛甲基硫吡喃葡萄糖苷 OTG
ARB13198 小鼠脂蛋白相关磷脂酶A2(Lp-PL-A2)酶标法分析 Mouse lipoprotein-associated phospholipase a2,lp-pl-a2 ELISA KIT
BL0610 琼脂糖凝胶CL-2B Sepharose CL-2B
ARB11435 人热休克蛋白糖蛋白96(HSP gp96)Elisa定量检测 Human heat shock protein glycoprotein 96,hsp gp96 ELISA KIT
BL1056 马铃薯淀粉
四氮唑蓝 CBZ-L-Pyroglutamic acid 1871-22-3
我公司立足北京,辐射全国。随着产品战略的不断延伸,产品理念的不断完善,百奥莱博将逐步成长为一流的生化试剂供应商,并一如既往的为您提供优质的头孢唑肟和完善的售后服务,与您一起携手整合各自的优势资源,竭尽全力支持您的事业,为中国生命科学的发展贡献一份力量。
我公司正在优惠促销标准品对照品等系列产品,期待您的咨询选购头孢唑肟对照品促销。
风险提示:丁香通仅作为第三方平台,为商家信息发布提供平台空间。用户咨询产品时请注意保护个人信息及财产安全,合理判断,谨慎选购商品,商家和用户对交易行为负责。对于医疗器械类产品,请先查证核实企业经营资质和医疗器械产品注册证情况。
- 作者
- 内容
- 询问日期
技术资料暂无技术资料 索取技术资料










