相关产品推荐更多 >
万千商家帮你免费找货
0 人在求购买到急需产品
- 详细信息
- 询价记录
- 技术资料
- 库存:
292
- 英文名:
Sodium 17-hydro-9-dehydroandrographolide-19-sulfate
- 保质期:
长期
- 供应商:
北京百奥莱博科技有限公司
特别声明:本产品及我公司所售其他产品均为科研类试剂产品,严禁用于药物、医疗及其他非科研用途。
北京百奥莱博供应的17-*-9-去*穿心莲内酯-19-硫*(代"酸")酯*标准品特价优惠用于生化科研试验,本产品质量好,且极具价格优势,深为用户称道,了解更多17-*-9-去*穿心莲内酯-19-硫*(代"酸")酯*等标准品对照品产品请联*(代"系")我司咨询订购。
名称:17-*-9-去*穿心莲内酯-19-硫*(代"酸")酯*标准品特价优惠
编号:BP1480
规格:约20mg/支
英文名:Sodium 17-hydro-9-dehydroandrographolide-19-sulfate
产地:国产|进口
本品为17-*-9-去*穿心莲内酯-19-硫*(代"酸")酯*化学对照品,供鉴别、指纹图谱测定、含量测定对照用,含量以96.8%计,使用前不需干燥处理。
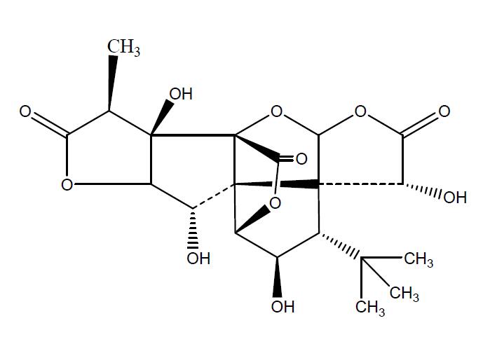
分子式:C20H29NaSO8
分子量:452.49
结构式:

包装及装量:棕色安瓿瓶,约20mg/支
储存条件:冷冻保存
注意事项:本品有引湿性,打开包装后一次使用完毕。
关于17-*-9-去*穿心莲内酯-19-硫*(代"酸")酯*标准品特价优惠的更详细说明,请致电我公司咨询,我们将以最饱满的热情为您提供解答,此外,我公司专业供应下列产品:
·阿雷地平
编号:BP0911
英文名称:Aranidipine
规格:100mg/支
本品为阿雷地平化学对照品,供含量测定用,105℃干燥2小时后使用。供HPLC法测定,按C19H20N2O7计,含量为99.9%。避光操作。
CAS号:86780-90-7
分子式:C19H20N2O7
分子量:388.37
包装及装量:棕色西林瓶装,每支约100毫克。
储存条件:遮光,密封保存。
注意事项:105℃干燥2小时后使用。
·盐*(代"酸")塞利洛尔
编号:BP0617
英文名称:Celiprolol Hydrochloride
规格:100mg
本品为阿雷地平化学对照品,供含量测定用,105℃干燥2小时后使用。供HPLC法测定,按C19H20N2O7计,含量为99.9%。避光操作。
CAS号:86780-90-7
分子式:C19H20N2O7
分子量:388.37
包装及装量:棕色西林瓶装,每支约100毫克。
储存条件:遮光,密封保存。
注意事项:105℃干燥2小时后使用。
·二十碳烯酸甲酯
编号:BP2007
英文名称:Methyl Cis-11-eicosenoate
规格:25mg/支
本品为二十碳烯酸甲酯化学对照品,供大豆油、橄榄油项下脂肪酸组成检查用。
CAS号:2390-09-2
分子式:C21H40O2
分子量:324.54
包装:棕色安瓿
规格:约25mg/支
储存条件:避光、-20℃保存
·3-甲基黄酮-8-羧酸
编号:BP0722
英文名称:3-methylflavone-8-carboxylic acid
规格:100mg
本品为二十碳烯酸甲酯化学对照品,供大豆油、橄榄油项下脂肪酸组成检查用。
CAS号:2390-09-2
分子式:C21H40O2
分子量:324.54
包装:棕色安瓿
规格:约25mg/支
储存条件:避光、-20℃保存
·银杏内酯C
编号:BP1140
英文名称:Ginkgolide C
规格:约20mg/支
本品为银杏内酯C化学对照品,供鉴别或含量测定用,含量以99.8%计,使用前不需干燥处理。
CAS号:15291-76-6
分子式:C20H24O11
分子量:440.40
结构式:

包装:棕色安瓿瓶
装量:约20mg/支
储存条件:冷冻保存
17-*-9-去*穿心莲内酯-19-硫*(代"酸")酯*标准品特价优惠关键词:17-*-9-去*穿心莲内酯-19-硫*(代"酸")酯*,Sodium 17-hydro-9-dehydroandrographolide-19-sulfat,BP1480
17-*-9-去*穿心莲内酯-19-硫*(代"酸")酯*由我公司长期专业供应,公司为广大顾客提供 17-*-9-去*穿心莲内酯-19-硫*(代"酸")酯*产品说明,生产厂家,价格,规格,哪里买 。公司遵循高品质的产品,高质量的技术服务,合理的价格,是国内研发与生产,销*(代"售")合为一体的一家大型企业,我们承诺:以最少的经费,最高的效率,得到您最需要的实验结果,同时我们承诺,若有质量问题,无条件退换。
Triton X-100细胞裂解液 100ml
HC0024 (正方斜口)细胞培养瓶
ARB11693 人硫氧化还原蛋白(Trx)酶免分析 Human thioredoxin,trx ELISA KIT
PY02-162 硫代硫*(代"酸")盐-柠檬酸盐-胆盐-蔗糖琼脂(TCBS) 250克
尿胰蛋白酶抑制剂 BTB 164859-77-2
ARB10473 人白介素12(IL-12/P40)酶标法分析 Human interleukin 12,IL-12/p40 ELISA KIT
ARB11278 人骨粘连蛋白(ON)elisa检测操作说明书 Human osteonectin,on ELISA KIT
细胞周期与细胞凋亡检测试剂盒 50T
A8061-26 小牛胸腺DNACalfthymus DNA
69-89-6 Xanthione 黄嘌呤
α-葡萄糖苷酶 Sephadex LH-60 9001-42-7
铁检测试剂盒(亚铁嗪微板法) 100T
ARB13172 小鼠破伤风抗体(TetAnus Ab)血清中含量检测
硝酸*(代"银")显影液(B法) 100ml
PY04-074 50%卵黄液 5ml/支×10支 每支添加于95ml甘露醇卵黄多粘菌素琼脂培养基(MYP)基础中,用于蜡样芽孢杆菌的固体平板计数
9048-46-8 牛血清白蛋白(全组分) Albumin Bovine
对*二甲*(代"酸")二甲酯 ABA 120-61-6
ARB12929 小鼠皮质醇(CortIsol)含量检测 Mouse cortisol ELISA KIT
ARB10084 人CXC趋化因子受体1(CXCR1)酶标法分析 Human cxc-chemokine receptor 1,cxcr1 ELISA KIT
ARB13477 鸡转化生长因子β2(TGF-β2)含量分析 Chicken transforming growth factor β2,tgf-β2 ELISA KIT
17-*-9-去*穿心莲内酯-19-硫*(代"酸")酯*标准品特价优惠关键词:17-*-9-去*穿心莲内酯-19-硫*(代"酸")酯*,Sodium 17-hydro-9-dehydroandrographolide-19-sulfat,BP1480
17-*-9-去*穿心莲内酯-19-硫*(代"酸")酯*的纯度及用途:纯度高质含量低,适用于研究和配制标准液; 纯度较高,杂质含量较低,适用于定性和定量分析 重量略低于二级试剂,用途近似二级试剂 化学试剂按纯度由低到高可分为工业纯、实验纯(LR)、化学纯(CP)、分析纯(AR)、优级纯(GR)和超纯等多种规格。
ARB13366 牛肺炎支原体抗体(MycoplAsmA -Ab)elisa检测
"
辛乙*(代"烯")二醇单正十二烷基酯 dITP,3Na 3055-98-9
ARB12398 大鼠视黄醇结合蛋白(RBP)酶免分析 Rat retinol-binding protein,rbp ELISA KIT
PY02-179 硝酸盐*化*培养基基础(无*化*) 10克
BTN90307 青链霉素溶液 Penicillin-Streptomycin Solution
BTN80901 大提柱式动物RNAOUT Maxi Column Animal RNAOUT
2-乙氧基-1-2氧碳酰基-1,2-二*醛啉 Bromelaine 16357-59-8
F030622 FITC标记兔抗人IgG FC抗体 Rabbit Anti-Human IgG(FC)*FITC
CYB166019-D 羊抗小鼠IgG-GOLD
台盼蓝染色液(1%) 10ml|50ml
D-脯*酸甲酯盐*(代"酸")盐 MUD 65365-28-8
头孢噻*(代"吩")* Lactobionic acid 58-71-9
41468-25-1 Pyridoxal 5-磷酸吡哆醛
*检测试剂盒(Calmagite微板法) 100T
ARB11261 人骨成型蛋白2(BMP-2)elisa检测操作说明书 Human bone morphogenetic protein 2,bmp-2 ELISA KIT
DN4001 病毒基因组DNA快速提取试剂盒
本公司免费技术支持,由专业的技术人员和销*(代"售")人员为科研用户提供全面的技术支持和完善的售前、售中、售后服务。百奥莱博暑期大促,凡够买我司各种生物试剂、抗体、ELISA试剂盒、抗原、血清、血浆、17-*-9-去*穿心莲内酯-19-硫*(代"酸")酯*、脱纤维血、抗凝血、裂解血、分子生物学试剂、培养基等优质试剂,均可享受超低会员价,各种高品质科研试剂及各种规格包装均可定制,如有需要请联*(代"系")我们。
北京百莱博科技有限公司专业生产供应销*(代"售")生物试剂、化学试剂、抗原抗体、血清血浆、Elisa试剂盒,更多试剂产品需求,欢迎来电咨询选购17-*-9-去*穿心莲内酯-19-硫*(代"酸")酯*标准品特价优惠。
风险提示:丁香通仅作为第三方平台,为商家信息发布提供平台空间。用户咨询产品时请注意保护个人信息及财产安全,合理判断,谨慎选购商品,商家和用户对交易行为负责。对于医疗器械类产品,请先查证核实企业经营资质和医疗器械产品注册证情况。
- 作者
- 内容
- 询问日期
技术资料暂无技术资料 索取技术资料










