相关产品推荐更多 >
万千商家帮你免费找货
0 人在求购买到急需产品
- 详细信息
- 文献和实验
- 技术资料
- 库存:
822
- 英文名:
Defibrase
- 保质期:
长期
- 供应商:
北京百奥莱博科技有限公司
- 保存条件:
低温
特别声明:本产品及我公司所售其他产品均为科研类试剂产品,严禁用于药物、医疗及其他非科研用途。
北京降纤酶标准品厂家是高品质的标准品对照品产品,由北京百奥莱博供应,用于科研目的生化试验项目,本产品质量好,且极具价格优势,深为用户称道,了解更多降纤酶等标准品对照品产品请联*(代"系")我司咨询订购。
名称:北京降纤酶标准品厂家
英文名:Defibrase
产地:国产|进口
编号:BP1788
本品为降纤酶标准品,效价为160单位/支,供降纤酶效价测定用,使用前放置室温。
包装:白色安瓿
规格:每支160U/支
储存条件:低温保存
北京降纤酶标准品厂家正在火爆热销,除此之外,为您推荐下别热销产品:
ARB13330 马免疫球蛋白E(IgE)elisa检测操作说明书 Equine immunoglobulin e,IgE ELISA KIT
反丁烯二酸 4-Amino-1-methyl-3-n-propyl-5-pyrazolecarboxamide 110-17-8
PY02-356 2216E 250克
B1201 大牛血清(辐照灭菌) 100ml/200ml/500ml/500ml*20瓶
ARB11345 人类风湿因子(RF)酶标法分析 Human rheumatoid factor,rf ELISA KIT
*甲酰三*丙*(代"酮") D-lsoleucine 326-06-7
L-赖*酸醋酸 Insulin(bovine pancreas) 57282-49-2
乙醇-福尔马林-醋酸固定液 500ml
L-叔亮*酸 Chrysin 20859-02-3
BTN131092 生物素 Biotin
ARB10488 人白介素2可溶性受体β链(IL-2sRβ)ELISA代测服务 Human interleukin 2,IL-2 ELISA KIT
BL1430 10×TBST
ARB10028 人6酮前列腺素F1a(6-keto-PGF1a)Elisa方法检测 Human 6-keto-prostaglandin f1a,6-k-pgf1a ELISA KIT
BTN91103 非冻型拭子病毒保存液 Virus-LOCKER
BL0768 原位细胞凋亡试剂盒
BTN130408 eTS抑制性差减杂交PCR试剂盒 SSH-PCR Kit
ARB12699 大鼠糖皮质类固醇受体(GR)定量分析 Rat glucocorticoid receptor,gr ELISA KIT
ARB10161 人SmAd7 ELISA检测服务 Human mothers against decapentaplegic homolog 7,smad7 ELISA KIT
ARB12055 大鼠干细胞因子/肥大细胞生长因子(SCF/MGF)含量分析 Rat stem cell factor/mast cell growth factor,scf/mgf ELISA KIT
赤霉素GA3 Tartrazine 77-06-5
PY01-052 麦芽浸膏 进分 100克
植酸* BCA 14306-25-3
北京降纤酶标准品厂家关键词:Defibrase,降纤酶,BP1788
·枸橼酸他莫昔芬E-异构体
编号:BP0253
英文名称:Tamoxifen Citrate E-isomer
规格:30mg/支
本品为枸橼酸他莫昔芬E-异构体,供HPLC法检查用,使用前不需干燥处理,按C26H29NO·C6H8O7计,含量为95.2%。
分子式:C26H29NO·C6H8O7
分子量:563.65
包装及装量:棕色安瓿瓶装,每支约30mg。
储存条件:遮光,密封保存。
注意事项:使用前不需干燥处理,本品有引湿性。
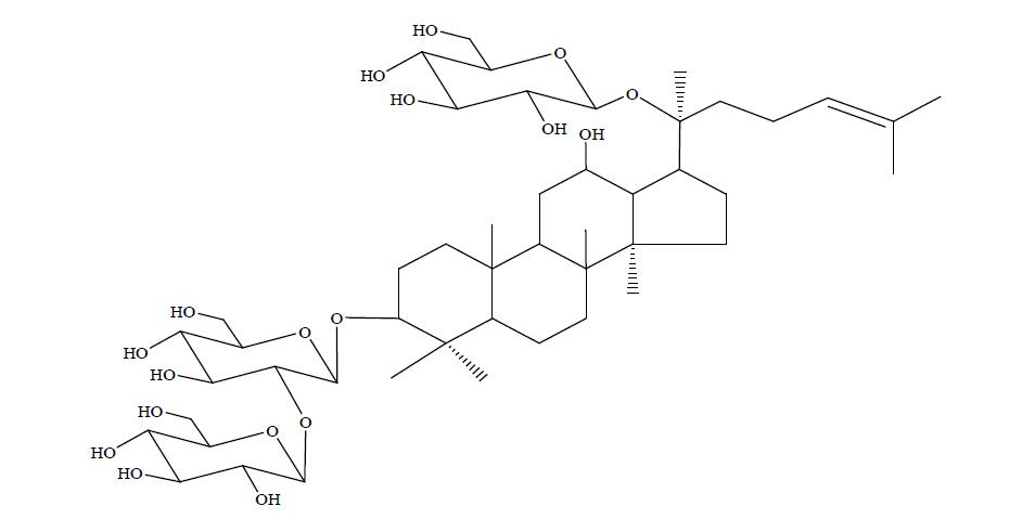
·人参皂苷Rd
编号:BP1387
英文名称:Ginsenoside Rd
规格:约20mg/支
本品为人参皂苷Rd化学对照品,供鉴别和含量测定用,含量以92.1%计,使用前不需干燥处理。
CAS号:52705-93-8
分子式:C48H82O18
分子量:947.15
结构式:

包装:棕色安瓿瓶。
装量:约20mg/支。
储存条件:冷冻保存。
注意事项:本品有引湿性,开封后一次使用完毕。
·7-*基去乙酰氧基头孢烷酸(7-ADCA)
编号:BP1602
英文名称:7-Aminodesacetoxy cephalos poranic acid (7-ADCA)
规格:50mg
本品为7-*基去乙酰氧基头孢烷酸标准品,供头孢拉定、头孢*苄和头孢羟*苄品种有关物质测定用。
使用方法:精密称取本品适量,按规定的方法,配制至所需浓度的对照品溶液,立即使用。
储存条件:置5℃以下低温避光保存。开启安瓿后严密保持干燥,以防吸水。
注意事项:使用前不需干燥处理。
·磷酸奥司他韦
编号:BP0793
英文名称:7-Aminodesacetoxy cephalos poranic acid (7-ADCA)
规格:100mg
本品为7-*基去乙酰氧基头孢烷酸标准品,供头孢拉定、头孢*苄和头孢羟*苄品种有关物质测定用。
使用方法:精密称取本品适量,按规定的方法,配制至所需浓度的对照品溶液,立即使用。
储存条件:置5℃以下低温避光保存。开启安瓿后严密保持干燥,以防吸水。
注意事项:使用前不需干燥处理。
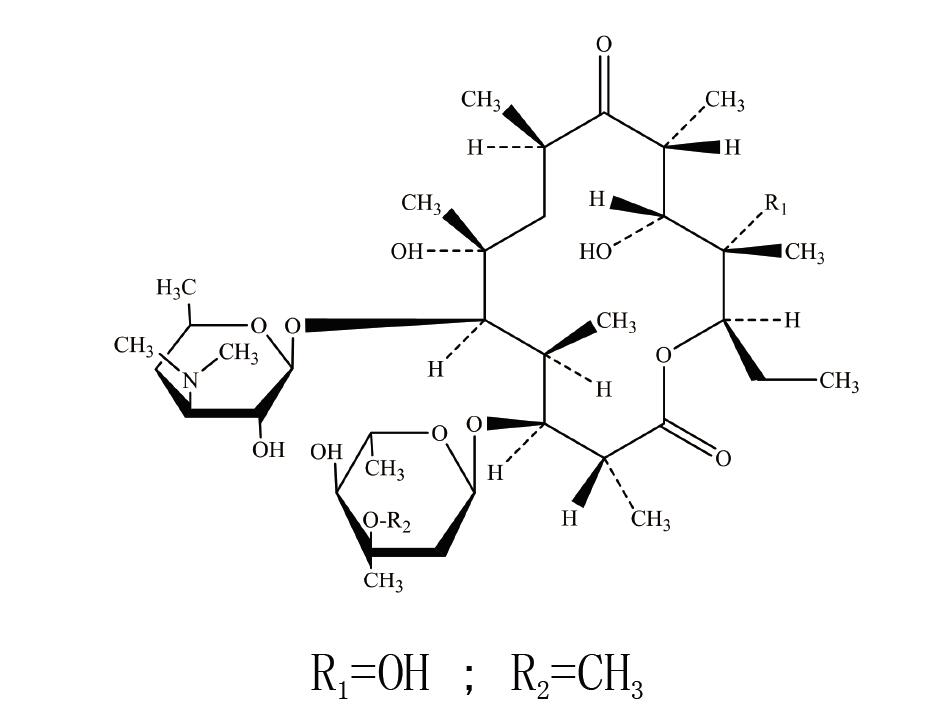
·红霉素
编号:BP1553
英文名称:Erythromycin
规格:200mg/支
本品为红霉素标准品,供红霉素品种效价及组分测定用。
分子式:C37H67NO13
分子量:733.94
结构式:

包装及装量:安瓿;200mg/支
储存条件:4℃避光保存
使用方法:使用时精密称取适量,按标准方法进行测定。1000u/ml的红霉素溶液在5℃以下条件保存可使用7日。
北京降纤酶标准品厂家关键词:Defibrase,降纤酶,BP1788
我公司每月推出一类产品促销,您可对我公司网站时刻进行关注,在促销期间购买您所需产品降纤酶,价格更优惠。所有产品质量保证,已经得到广大客户的认可,您可放心购买,且我司有专门的售后部门对客户进行全线跟踪。欢迎询价详谈!
·盐*(代"酸")小檗碱
编号:BP1022
英文名称:Berberine Hydrochloride
规格:30mg/支
本品为盐*(代"酸")小檗碱化学对照品,供鉴别及含量测定用,使用前不需干燥处理。含量以86.8%计。
CAS号:633-65-8
分子式:C20H18ClNO4
分子量:371
结构式:

包装:棕色安瓿瓶
装量:约30mg/支
储存条件:冷处(2~10℃)保存。
·醋酸*地孕酮
编号:BP0011
英文名称:Chlormadinone Acetate
规格:50mg
本品为盐*(代"酸")小檗碱化学对照品,供鉴别及含量测定用,使用前不需干燥处理。含量以86.8%计。
CAS号:633-65-8
分子式:C20H18ClNO4
分子量:371
结构式:

包装:棕色安瓿瓶
装量:约30mg/支
储存条件:冷处(2~10℃)保存。
·β-榄香烯
编号:BP0214
英文名称:β-Elemene
规格:0.1ml/支
本品为β-榄香烯的化学对照品,使用前不需干燥处理,供GC法含量测定用,含量为99.4%
分子式:C15H24
结构式:

分子量:204.35
CAS号:515-13-9
包装及装量:棕色安瓿瓶装,每支约0.1ml。
储存条件:遮光,冷藏,密封保存。
·C-肽(C-P)
编号:BP1978
英文名称:β-Elemene
规格:3支/套,0.5ml/支
本品为C-肽质控血清(C-P质控血清),供免疫测定用。
1、以C-肽纯品为原料加入至新鲜正常人混合血清制备而成。
2、本套质控血清为冻干品,3支/套,0.5ml/支。
3、使用时应用0.5ml去离子水将内容物完全溶解,充分混合后使用。
4、质控血清I理论值为1.5ng/ml;
质控血清Ⅱ理论值为4.5ng/ml;
质控血清Ⅲ理论值为8ng/ml。
由于免疫分析体系不同,各公司测定结果存在一定差异,数据仅供参考。
5、本套质控血清长期
为何选择百奥莱博公司的降纤酶?
我公司是一家专业从事“产品研发生产、市场销*(代"售")、技术服务”为一体的高科技生物技术公司,公司生产的降纤酶质量有保证,含量高,能够给实验带来准确的结果。同时能为用户更好的解决各种疑难问题。如有需要可联*(代"系")我司销*(代"售")人员,我们将竭诚为您服务。
我公司竭诚为广大科研用户提供最全面,最优质,价格最具优势的降纤酶,免费为您提供全程技术指导,解决您的后顾之忧。公司供应各种高品质科研试剂及各种规格包装定制,如有所需请联*(代"系")我们。
北京百莱博科技有限公司专业生产标准品对照品产品,欢迎来电咨询选购北京降纤酶标准品厂家。
风险提示:丁香通仅作为第三方平台,为商家信息发布提供平台空间。用户咨询产品时请注意保护个人信息及财产安全,合理判断,谨慎选购商品,商家和用户对交易行为负责。对于医疗器械类产品,请先查证核实企业经营资质和医疗器械产品注册证情况。
文献和实验本文主要介绍 ELISA 试剂盒、实验样本、相关问题,帮助大家更好地开展实验 试剂盒 Q1:科研试剂盒与临床试剂盒的区别 ? A1:临床试剂是经过权威机构认可的,如 FDA、CFDA 等;而科研试剂一般是厂家自主研制,不需要通过权威机构验证。 经营临床诊断类产品的机构需要取得《医疗器械经营企业许可证》;经营科研试剂的机构不需要此证件。 临床试剂盒一般仅用于检测人血清/血浆等较为单一的分泌性样本类型;科研试剂盒的样本检测种类、检测范围则比临床试剂盒宽广得多。但一般来说,临床试剂盒的质量
前段时间,小编的朋友圈被「我们的 18 岁」刷了屏,大家争相回忆自己曾经的似水年华。原来十年前,已经是 2009,而不再是 1999 了。,但是实验室的一些老物件却勾起了小编对于过去回忆……试剂篇这是一瓶好早以前的硫酸锌,从这个国家标准来看,应该是 1978 年后生产的。还有北京朝阳区化工四厂出品的硫酸锰。北京化工四厂 1956 年建厂, 1964 年由市区迁入房山区,是一个有 60 多年的老厂。这瓶柠檬酸三钠从批号看是 1985 年产的,比小编大了能有 10 岁。不看不知道,原来实验室很早
市面上的 ELISA 试剂盒五花八门,质量良莠不齐。如何浪里淘金,选择既符合科研需求,又品质上乘的 ELISA 试剂盒呢? 教你七招,快速搞定 ELISA 试剂盒的选择! 01 查找待测样本的蛋白浓度 通过检索 SCI 文献、Genecards、Mayocliniclabs 等,获得目标蛋白的表达部位及表达浓度参考值,比较 ELISA 试剂盒中给出的样本测值与参考值是否一致。 02 明确试剂盒的应用种属&检测的样本类型 不同厂家验证的样本类型不同。除试剂盒特别说明外,一般情况下,不同
技术资料暂无技术资料 索取技术资料










