相关产品推荐更多 >
万千商家帮你免费找货
0 人在求购买到急需产品
- 详细信息
- 文献和实验
- 技术资料
- 库存:
249
- 英文名:
Sodium deoxyribose cytidylic acid
- 保质期:
长期
- 供应商:
北京百奥莱博科技有限公司
- 保存条件:
4℃
特别声明:本产品及我公司所售其他产品均为科研类试剂产品,严禁用于药物、医疗及其他非科研用途。
北京百奥莱博公司供应包括抗眼镜蛇毒原血浆对照品现货价格在内的化学标准品,化学对照品,杂志对照品,HPLC标准品,UV标准品等高品质标准品、对照品
名称:抗眼镜蛇毒原血浆对照品现货价格
英文名:Sodium deoxyribose cytidylic acid
产地:国产|进口
规格:约20mg/支
编号:BP1850
本品为抗眼镜蛇毒原血浆(马源)标准试剂,可做为科博肽鉴别用,使用前不需干燥处理。
使用方法:试验时,取抗眼镜蛇毒原血浆标准试剂1支,加0.9%*化*溶液0.3ml溶解后备用;取科博肽适量,加0.9%*化*溶液制成适宜浓度溶液,按照科博肽质量标准方法,在琼脂糖平板上打孔,各点样20μl,置37℃恒温24~48小时,观察科博肽与抗眼镜蛇毒原血浆应有沉淀线显示。
包装:白色安瓿
规格:每支20mg
储存条件:4℃保存。
欲咨询购买抗眼镜蛇毒原血浆对照品现货价格,请致电北京百奥莱博科技有限公司,为您提供最全面周到的产品服务,除此之外,我公司正在促销以下产品:
·4,5-二-O-咖啡酰奎宁酸
编号:BP1439
英文名称:4,5-Dicaffeoylquinic acid
规格:约20mg/支
本品为4,5-二-O-咖啡酰奎宁酸化学对照品,供鉴别及含量测定用,含量以94.1%计。
分子式:C25H24O12
分子量:516.45
包装及装量:棕色安瓿瓶。
储存条件:室温干燥保存。
注意事项:使用前无需处理,本品有引湿性,打开包装后一次使用完毕。
·(左)氧*沙星杂质E
编号:BP1731
英文名称:Ofloxacin/Levofloxacin Impurity E
规格:约50mg
本品为左氧*沙星杂质E化学对照品,供氧*沙星、左氧*沙星及各种成盐形式的左氧*沙星品种系统适用性试验及有关物质测定用。
使用方法:精密称取本品适量,按相关质量标准的规定,溶解并稀释至所需浓度的溶液,立即使用。
储存条件:置5℃以下低温避光保存。开启安瓿后严密保持干燥,以防吸水。
注意事项:使用前不需干燥处理。
·富马酸喹硫平
编号:BP0621
英文名称:Quitiapine Fumarate
规格:100mg
本品为富马酸喹硫平化学对照品,供HPLC法鉴别、UV法溶出度检查及HPLC法含量测定时,作对照用。含量以C21H25N3O2·1/2C4H4O4计,HPLC含量测定时为99.8%;UV法溶出度检查时,含量为100.0%。
CAS号:11974-72-2
分子式:C21H25N3O2·1/2C4H4O4
分子量:441.54
包装:棕色西林瓶
规格:每支约100mg
储存条件:室温,密闭遮光保存
·伊曲康唑杂质G
编号:BP1762
英文名称:Itraconazole impurity G
规格:30mg/支
本品为伊曲康唑杂质G化学对照品,供伊曲康唑原料及其制剂HPLC法有关物质检查用,以伊曲康唑杂质G(C44H41Cl4N11O6)计,含量为95.5%,使用前不需干燥处理。
分子式:C44H41Cl4N11O6
分子量:961.7
结构式:

包装:棕色安瓿
规格:30mg/支
储存条件:常温遮光保存
抗眼镜蛇毒原血浆对照品现货价格关键词:抗眼镜蛇毒原血浆,Sodium deoxyribose cytidylic acid,BP1850
我公司在保证产品质量的同时,以价格优、到货快、服务周到,致力于抗眼镜蛇毒原血浆的研发、销*(代"售")。售前、售中、售后免费技术指导,质量保证,可放心购买!
苹果酸*三水物 Collagen 22798-10-3
BL21(DE3)化学感受态细胞 20×100ul
ARB13091 小鼠细胞周期素D1(CyclIn-D1)elisa测定使用说明书 Mouse cyclin-d1 ELISA KIT
PY04-025 亚碲酸盐卵黄增菌液 5ml/瓶×10支 加入95mlBaird-Parker琼脂基础中,用于金黄色葡萄球菌的选择性分离培养
Heinz小体染色液(结晶紫法) 100ml
F030842 BIOTIN标记小鼠抗鸭IgY(IgG)抗体 Monoclonal Mouse Anti-Duck IgY*BIOTIN
甲基-β-D-葡糖苷 Octadecylamine 709-50-2
N,N,N",N"-四甲基-S-(1-氧代-2-吡*(代"啶")基)硫*(代"脲")鎓六*磷酸盐 Cinnamic acid 212333-72-7
L-正缬*酸 NAA 6600-40-4
PC4101 TUREscript One Step qRT-PCR Kit (一步法荧光定量反转录PCR试剂盒)
ARB13803 豚鼠卵磷脂胆固醇酰基转移酶(LCAT)Elisa方法检测
尿囊素 Tranexamic acid 97-59-6
DL-甲硫*酸 LCV 59-51-8
葡聚糖凝胶G-200 VB5
ARB10447 人甲基化酶(MethylAse)elisa测定使用说明书 Human methylase ELISA KIT
PY02-115 磷酸盐葡萄糖胨水培养基 250克
JYBL-Ⅳ脱*液 500ml|5L
ARB11762 人腮腺炎病毒IgM 尿液中含量检测 Human paramyxovirus parotitis igM ELISA KIT
Acr-Bis粉剂(40%,39:1) 1L
F010202 小鼠抗人IgG FC抗体 Monoclonal Mouse Anti-Human IgG(FC)
抗眼镜蛇毒原血浆对照品现货价格关键词:抗眼镜蛇毒原血浆,Sodium deoxyribose cytidylic acid,BP1850
抗眼镜蛇毒原血浆由我公司长期专业供应,公司为广大顾客提供 抗眼镜蛇毒原血浆产品说明,生产厂家,价格,规格,哪里买 。公司遵循高品质的产品,高质量的技术服务,合理的价格,是国内研发与生产,销*(代"售")合为一体的一家大型企业,我们承诺:以最少的经费,最高的效率,得到您最需要的实验结果,同时我们承诺,若有质量问题,无条件退换。
·盐*(代"酸")阿莫地喹
编号:BP0888
英文名称:Amodiaquine Hydrochloride
规格:100mg
本品为盐*(代"酸")阿莫地喹化学对照品,供含量测定用,使用前不需干燥处理。按C20H22ClN3O·2HCl计,含量为91.9%。
CAS号:6398-98-7
分子式:C20H22ClN3O·2HCl·2H2O
分子量:464.81
结构式:

包装:棕色西林瓶
规格:约100毫克/支
储存条件:遮光、密闭保存
·门冬酰胺酶(埃希)
编号:BP1863
英文名称:门冬酰胺酶(埃希)
规格:约5mg/瓶
本品为盐*(代"酸")阿莫地喹化学对照品,供含量测定用,使用前不需干燥处理。按C20H22ClN3O·2HCl计,含量为91.9%。
CAS号:6398-98-7
分子式:C20H22ClN3O·2HCl·2H2O
分子量:464.81
结构式:

包装:棕色西林瓶
规格:约100毫克/支
储存条件:遮光、密闭保存
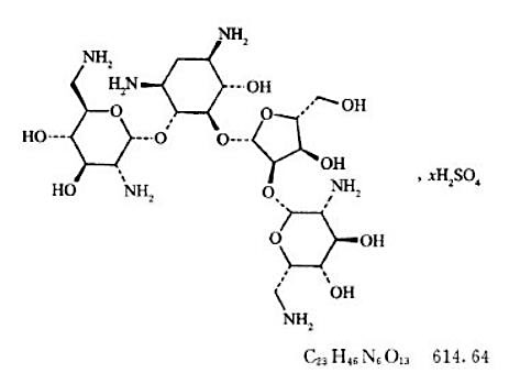
·新霉素
编号:BP1555
英文名称:Neomycin
规格:200mg/支
本品为新霉素标准品,供抗生素微生物效价测定用,含量以新霉素单位计,每毫克相当于652单位,使用前不需干燥处理。
CAS号:1405-10-3
分子式:C23H46N6O13·xH2SO4
结构式:

包装:白色安瓿
规格:约200mg/支
储存条件:2-8℃遮光保存
·丝裂霉素
编号:BP1618
英文名称:Mitomycin
规格:50mg
本品为丝裂霉素化学对照品,供高效液相含量测定用,含量按丝裂霉素(C15H18N4O5)计。
使用方法:精密称取适量,按质量标准所规定的方法,配制至所需浓度的对照品溶液,立即使用。
储存条件:置 5℃以下条件低温避光保存。启开安瓿后严密保持干燥以防吸水。
注意事项:使用前不需干燥处理。
我公司是集科研和生产为一体的专业化生物工程公司。特别是ELISA研发,代测,技术服务这一产品已使百奥莱博成为中国知名公司。 公司产品涵盖ELISA研发、细胞培养,各种生化试剂、各种酶类、分子生物学试剂盒、抗眼镜蛇毒原血浆、培养基等。我们进一步加强人才经营、产品经营,不断提升企业的核心竟争力,实现具有高科技产业体系、知识化创业团队的国际化的公司,服务于生命科学领域,迎接世界经济一体化所带来的机遇与挑战。
我公司正在火爆促销标准品对照品系列产品,欢迎您的垂询选购抗眼镜蛇毒原血浆对照品现货价格。
风险提示:丁香通仅作为第三方平台,为商家信息发布提供平台空间。用户咨询产品时请注意保护个人信息及财产安全,合理判断,谨慎选购商品,商家和用户对交易行为负责。对于医疗器械类产品,请先查证核实企业经营资质和医疗器械产品注册证情况。
文献和实验HBsAg 的复钙人血浆,阳性对照品 HBsAg 的含量标明为 P=9±2ng /ml。每次试验设 2 个阳性对照和 3 个阴性对照。测得A值后,先计算阴性对照A值的平均数(NC X )和阳性对照A值的平均数(PCX),两个平均数的差(P-N)必须大于一个特定的数值(例0.400),试验才有效。3 个阴性对照 A 值均应≥0.5×NCX,并 ≤1.5×NCX,如其中之一超出此范围,则弃去,而已另两个阴性对照重新计算 NCX;如有两个阴性对照 A值超出以上范围,则该次实验无效。阳性判定值按下式计算: 阳性
也有两种,即阳性判定值法和抑制率法。1、阳性判定值法与间接法和夹心法中的阳性判定值法基本相同,ELISA试剂盒但在计算公式中引入阳性对照A值,现举某种检测抗HBc的试剂盒为例。试剂盒中的阴性对照为不含抗HBc的复钙人血浆,阳性对照中抗HBc含量为125±100u/ml。每次试验设2个阳性对照和3个阴性对照。测得A值后,先计算阴性对照A值的平均值(NCX)和阳性对照A值的平均数(PCX),两个平均数的差(N-P)必须大于一个特定的数值(例如0.300),试验才有效。3个阴性对照A值均应小于2.000
指作为动物脂溶性成长因子的维生素,缺乏这种维生素,会引起夜盲症、角膜干燥症( xerophth- almia)、角膜软化症( keratomalacia)以及阻碍幼小动物的生长等。也称维生素 A醇、维生素 A、抗干眼醇( axerophtol)等,但统一为视黄醇( reti- hol)。有四种异构体,天然存在的主要维生素 A,有侧链双键都是反式型(最大紫外吸收为 325毫微米)和新维生素 A型(最大紫外吸收在 328毫微米)。易受空气氧化,可被氧迅速分解,对热不稳定,遇
技术资料暂无技术资料 索取技术资料










