相关产品推荐更多 >
万千商家帮你免费找货
0 人在求购买到急需产品
- 详细信息
- 文献和实验
- 技术资料
- 保存条件:
阴凉干燥
- 保质期:
长期
- 英文名:
Huangshanyao Saponins Extract
- 库存:
448
- 供应商:
北京百奥莱博科技有限公司
特别声明:本产品及我公司所售其他产品均为科研类试剂产品,严禁用于药物、医疗及其他非科研用途。
北京百奥莱博公司供应包括北京黄山药皂苷提取物标准品优惠促销在内的化学标准品,化学对照品,杂志对照品,HPLC标准品,UV标准品等高品质标准品、对照品
名称:北京黄山药皂苷提取物标准品优惠促销
产地:国产|进口
规格:200mg
编号:BP1160
品牌:百奥莱博
英文名:Huangshanyao Saponins Extract
北京黄山药皂苷提取物标准品优惠促销极具性价比,此外,我公司正火爆促销以下产品:
HC0177 PE手套
DN2201 λ噬菌体基因组DNA快速提取试剂盒
F040103 牛血清白蛋白偶联三聚"青"胺 BSA-MEL
PY01-062 肌醇 25克
117-39-5 槲皮素 Meletin或Sophretin
ARB11054 人抵抗素(ResIstIn)Elisa分析 Human resistin ELISA KIT
DL-2-*基丁酸 D-Gluconic acid solution 2835-81-6
KT208 HotMaster PCR MasterMix
ARB12461 大鼠促肾上腺皮质激素(ACTH)Elisa方法检测 Rat adrencocorticotropic hormone,acth ELISA KIT
邻香草醛 BGP 148-53-8
CYB161019 山羊IgG(液体)
CYB163040 羊抗小鼠IgG(全分子)-RBITC
北京黄山药皂苷提取物标准品优惠促销关键词:Huangshanyao Saponins Extract,BP1160,黄山药皂苷提取物
·雌二醇
编号:BP0148
英文名称:Estradiol
规格:100mg/支
本品为雌二醇(Estradiol)化学对照品,供鉴别和含量测定用。以C18H24O2计,供HPLC法测定,含量为 96.3%。
分子式:C18H24O2
分子量:272.39
CAS号:50-28-2
包装及装量:棕色小瓶,每支约100毫克
储存条件:干燥避光,室温密闭保存。
注意事项:本品不需干燥处理,直接称取,避光操作。本品不需干燥处理。
·柴胡皂苷a
编号:BP1072
英文名称:Saikosaponin a
规格:20mg/支
本品为柴胡皂苷a化学对照品,供鉴别和含量测定用,使用前不需干燥处理。含量以91.1%计。
CAS号:20736-09-8
分子式:C42H68O13
分子量:780.98
结构式:

包装:棕色安瓿瓶
装量:约20mg/支
储存条件:冷冻保存
注意事项:本品有引湿性,打开包装后一次使用完毕。
·枸橼酸托瑞米芬异构体混合物
编号:BP2140
英文名称:Mixture of Toremifene Citrate Isomers
规格:30mg/支
本品为枸橼酸托瑞米芬异构体混合物,供HPLC法系统适用性试验用,使用前不需干燥处理。
分子式:C26H28ClNO·C6H8O7
分子量:598.10
结构式:
包装:棕色西林瓶
规格:约30mg/支
储存条件:遮光,密封保存
·盐*(代"酸")黄柏碱
编号:BP1440
英文名称:Phellodendrine hydrochloride
规格:约20mg/支
本品为盐*(代"酸")黄柏碱化学对照品,供鉴别和含量测定用,含量以94.9%计,使用前不需干燥处理。
CAS号:104112-82-5
分子式:C20H24ClNO4
分子量:377.86
结构式:

包装:棕色安瓿瓶
装量:约20mg/支。
储存条件:冷处(2~10℃)
注意事项:本品具引湿性,打开包装后一次使用完毕。
北京黄山药皂苷提取物标准品优惠促销关键词:Huangshanyao Saponins Extract,BP1160,黄山药皂苷提取物
我公司是一家专注于生命科学和生物技术领域的高科技企业,专业提供生物学试剂、免疫学试剂、生物化学试剂、黄山药皂苷提取物以及其他常用实验室用品以及分子生物学、免疫学、生命科学基础研究诸多领域的生物技术服务。我们秉承着“质量第一,客户至上”的原则,用热情、认真、主动、周到的服务实践着公司的承诺,进而使公司逐步成长为国内具有影响力的生物产品供货商。目前公司客户遍及各大医院、科研机构、大专院校、制药单位、医学检验单位、卫生防疫、生物技术公司、食品单位等诸多领域。于此同时公司严格的管理制度,使百奥莱博形成了独特的市场优势:产品种类齐全、包装规格完善、价格合理、质量保证、信息反馈及时、售后服务周到。
·硫鸟嘌呤
编号:BP1895
英文名称:Tioguanine
规格:100mg/瓶
本品为硫鸟嘌呤化学对照品,含量为99.5%,供硫鸟嘌呤和硫鸟嘌呤片HPLC 鉴别与含量测定用。
分子式:C5H5N5S
分子量:167.19
包装及装量:2ml 西林瓶,每瓶约100mg
储存条件:遮光,密封保存。
注意事项:使用前不需干燥处理。
·黄芪醇
编号:BP1501
英文名称:Astragenol
规格:20mg/支
本品为黄芪醇化学对照品,供含量测定用,含量以98.0%计,使用前不需干燥处理。
CAS号:86541-79-9
分子式:C30H50O5
分子量:470.92
结构式:

包装:棕色安瓿瓶
规格:约20mg/支
储存条件:冷处(2-10℃)保存
·甲硫*酸
编号:BP1829
英文名称:Methionone
规格:100mg
本品为甲硫*酸化学对照品,含量为100.0%,供甲硫*酸鉴别、检查与含量测定用。
分子式:C5H11NO2S
分子量:149.21
包装及装量:棕色瓶,约100mg/支
储存条件:避光、密闭保存
注意事项:使用前不需干燥处理
·利福布汀
编号:BP1712
英文名称:Rifabutin
规格:100mg
本品为利福布汀化学对照品,高效液相含量测定用,含量以利福布汀(C46H62N4O11)计。
使用方法:精密称取本品适量,按相关质量标准规定,用乙*(代"腈")溶解并稀释至所需浓度的溶液,立即使用。
储存条件:置5℃以下低温避光保存。开启安瓿后严密保持干燥,以防吸水。
注意事项:使用前不需干燥处理。
我公司专业供应高品质 elisa试剂盒,血清,抗体,培养基,标准品,黄山药皂苷提取物,生物试剂,实验耗材,公司位于北京市海淀区,是一家专业从事“产品研发生产、市场销*(代"售")、技术服务”为一体的高科技生物技术公司。
我公司提供多种购买方式:登陆网站联系客服查询!(您可通过电话/传真/QQ/邮件等方式咨询,订购或索取黄山药皂苷提取物最新报价)
我们专业供应科研试剂多年,品质保证 售前,售中,售后服务一条*(代"龙"),无效果、免费退换。您只需告诉我们您的需要或要求,我们的客户服务代表将会给您提供专业的咨询和解答。优质服务让您更省心,更舒心,更放心。敬请关注!
北京百莱博科技有限公司是标准品对照品产品的专业生产供应销*(代"售")商,恭候您的咨询选购北京黄山药皂苷提取物标准品优惠促销。
风险提示:丁香通仅作为第三方平台,为商家信息发布提供平台空间。用户咨询产品时请注意保护个人信息及财产安全,合理判断,谨慎选购商品,商家和用户对交易行为负责。对于医疗器械类产品,请先查证核实企业经营资质和医疗器械产品注册证情况。
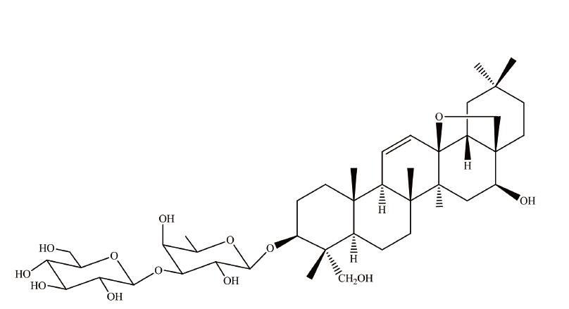
文献和实验的薯蓣属植物有80余种,其中只有薯蓣根茎组(Stenophora)的17种、I亚种及一变种才含有甾体皂苷元,其它则含有多量淀粉,无皂苷元。已用于生产的主要有盾叶薯蓣(D.Zingiberensis C. H. Wright),穿龙薯蓣(D.nipponica Makino),黄山药(D.panthaica prain et Burkil),紫黄姜(D.nipponica Makinovar rosthani prain et Burk)等。在植物体内薯蓣皂苷元是与葡萄糖、鼠李糖结合成薯蓣
北京天来生物医学科技有限公司 极限低价,全面促销!!! 价格一步到位, 何必再谈折扣! 无与伦比的低价, 绝不亚于同类产品的质量! 效果不理想,无条件退货! 一. DNA分子量标准每支(50次)---------仅售 58元!!! 二. PCR反应混合液(PCR MasterMix)----500ul 68元 三. 质粒小提每次1.58元 胶回收每次1.78元 四. 中范围蛋白质分子量标准(14.3-97.2KD)(50次)------每支78元 预染的宽范围蛋白
全长序列和已知突变的探针集成在芯片上,制成P53基因芯片,将在癌症早期诊断中发挥作用。又如,Heller等构建了96个基因的cDNA微阵,用于检测分析风湿性关节炎(RA)相关的基因,以探讨DNA芯片在感染性疾病诊断方面的应用(12)。现在,肝炎病毒检测诊断芯片、结核杆菌耐药性检测芯片、多种恶性肿瘤相关病毒基因芯片等一系列诊断芯片逐步开始进入市场。基因诊断是基因芯片中最具有商业化价值的应用。 3.4 药物筛选 如何分离和鉴定药的有效成份是目前中药产业和传统的西药开发遇到的重大障碍,基因芯片技术是解决
技术资料暂无技术资料 索取技术资料










