相关产品推荐更多 >
万千商家帮你免费找货
0 人在求购买到急需产品
- 详细信息
- 文献和实验
- 技术资料
- 库存:
875
- 英文名:
Citric Acid
- CAS号:
77-92-9
- 保质期:
长期
- 供应商:
北京百奥莱博科技有限公司
- 保存条件:
遮光,密闭,10~30℃
特别声明:本产品及我公司所售其他产品均为科研类试剂产品,严禁用于药物、医疗及其他非科研用途。
枸橼酸对照品价格由专业试剂供应商北京百奥莱博提供,用于科研目的生化试验项目,本产品质量好,且极具价格优势,深为用户称道,了解更多枸橼酸等标准品对照品产品请联*(代"系")我司咨询订购。
名称:枸橼酸对照品价格
产地:国产|进口
品牌:百奥莱博
英文名:Citric Acid
规格:200毫克/支
本品为枸橼酸化学对照品,供含量测定用。105℃干燥2小时后使用。按C6H8O7计,含量为100.0%。
CAS号:77-92-9
分子式:C6H8O7
分子量:192.12
包装:棕色西林瓶。
规格:约200毫克/支。
储存条件:遮光,密闭,10~30℃保存。
注意事项:本品高湿度易潮解,建议环境RH70%以下一次性使用完毕。
除枸橼酸对照品价格外,我公司正在打折促销以下产品:
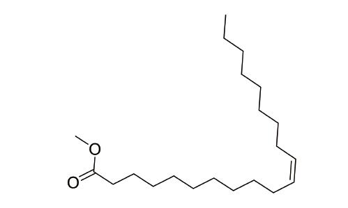
·花生烯酸甲酯(顺-11-二十碳烯酸甲酯)
编号:BP2096
英文名称:Cis-11-EICOSENOIC ACID METHYL ESTER
规格:0.1ml/支
本品为花生烯酸甲酯化学对照品,仅供油酰聚氧乙*(代"烯")甘油酯品种项下脂肪酸组成检查用,使用前不需干燥处理。
CAS号:2390-09-2
分子式:C21H40O2
分子量:324.54
结构式:

包装:棕色安瓿
规格:约0.1ml/支
储存条件:遮光、4~8℃保存
·二*欧山芹醇当归酸酯
编号:BP1225
英文名称:Columbianadin
规格:20mg/支
本品为二*欧山芹醇当归酸酯化学对照品,供鉴别及含量测定用,含量以98.6%计,使用前不需干燥处理。
CAS号:5058-13-9
分子式:C19H20O5
分子量:328.6
结构式:

包装:棕色瓶。
装量:约20mg/支。
储存条件:冷处(2~10℃)保存。
·辛夷脂素
编号:BP1210
英文名称:Fargesin
规格:20mg
本品为二*欧山芹醇当归酸酯化学对照品,供鉴别及含量测定用,含量以98.6%计,使用前不需干燥处理。
CAS号:5058-13-9
分子式:C19H20O5
分子量:328.6
结构式:

包装:棕色瓶。
装量:约20mg/支。
储存条件:冷处(2~10℃)保存。
·脱*卡维丁
编号:BP1277
英文名称:Dehydrocavidine
规格:20mg
本品为二*欧山芹醇当归酸酯化学对照品,供鉴别及含量测定用,含量以98.6%计,使用前不需干燥处理。
CAS号:5058-13-9
分子式:C19H20O5
分子量:328.6
结构式:

包装:棕色瓶。
装量:约20mg/支。
储存条件:冷处(2~10℃)保存。
·甲磺酸加贝酯
编号:BP0723
英文名称:Gabexate Mesylate (Mesilate)
规格:100mg
本品为二*欧山芹醇当归酸酯化学对照品,供鉴别及含量测定用,含量以98.6%计,使用前不需干燥处理。
CAS号:5058-13-9
分子式:C19H20O5
分子量:328.6
结构式:

包装:棕色瓶。
装量:约20mg/支。
储存条件:冷处(2~10℃)保存。
·盐*(代"酸")麻黄*(代"碱")
编号:BP1961
英文名称:Ephedrine Hydrochloride
规格:100mg
本品为盐*(代"酸")麻黄*(代"碱")化学对照品,供HPLC鉴别、HPLC含量测定;麻黄TLC鉴别、HPLC含量测定时,作对照用;及各含盐*(代"酸")麻黄*(代"碱")制剂的国家标准中作对照用。本品使用前不需要干燥,可直接使用。含量以C10H15NO·HCl计为99.8%。
CAS号:50-98-6
分子式:C10H15NO·HCl
分子量:201.70
包装及装量:棕色西林瓶,每支约100mg
储存条件:室温,密闭遮光保存
枸橼酸对照品价格关键词:77-92-9,Citric Acid,枸橼酸
·枸橼酸芬太*(代"尼")杂质I
编号:BP1965
英文名称:N-phenyl-1-(2-phenylethyl)piperidin-4-amine
规格:50mg/支
·油酸*
编号:BP2060
英文名称:Sodium Oleate
规格:100mg/支
本品为油酸*化学对照品,仅供油酸*品种项下“油酸”检查用,使用前无需干燥。
CAS号:143-19-1
分子式:C17H33CO2Na
分子量:304.44
结构式:

包装:棕色安瓿
规格:约100mg/支
储存条件:遮光于-20℃保存
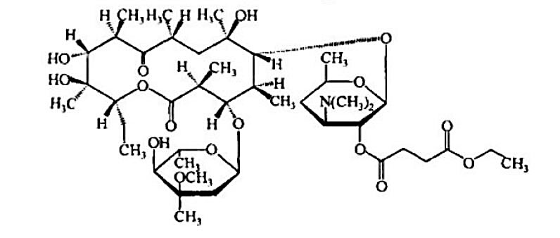
·琥乙红霉素
编号:BP1610
英文名称:Erythromycin Ethylsuccinate
规格:200mg
本品为琥乙红霉素化学对照品,供相关物质鉴别用,使用前不需干燥处理。
CAS号:1264-62-6
分子式:C43H75NO16
分子量:862.07
结构式:

包装:白色安瓿
规格:约100毫克/支
储存条件:2-8℃保存
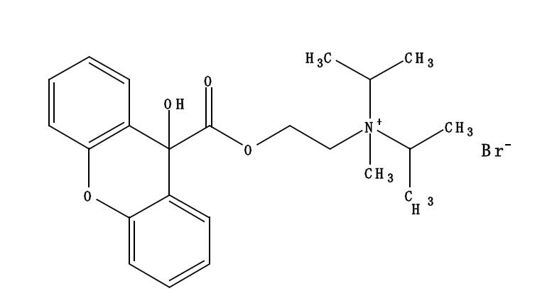
·9-羟基*丙胺太林
编号:BP2135
英文名称:9-Hydroxypropantheline Bromide
规格:50mg/支
本品为9-羟基*丙胺太林化学对照品,供HPLC法检查用,使用前不需干燥处理,按C23H30BrNO4计,含量为98.5%。
CAS号:93446-02-7
分子式:C23H30BrNO4
分子量:464.39
结构式:

包装:棕色西林瓶装
装量:每支约50mg。
储存条件:遮光,密封保存。
枸橼酸对照品价格关键词:77-92-9,Citric Acid,枸橼酸
我公司先后与天津中医学院、北京军区总医院、复旦大学、北京大学、上海交通大学、华东师范大学、第二军医大学、南京大学、清华大学、复兴医院、南京工业大学、301医院、中科院上海分院等多家单位建立了良好的合作关系。本公司可为您提供高品质的枸橼酸等科研试剂。 公司秉承“专注品质、信守承诺、积极沟通、创新服务”的企业文化积极参与生物领域的技术创新和技术服务,力求为我国科研事业更好的,更专业的服务!
·盐*(代"酸")阿比多尔
编号:BP0533
英文名称:Arbidol Hydrochloride
规格:100mg/支
本品为盐*(代"酸")阿比多尔化学对照品,供含量测定用,使用前不需干燥处理。按C22H25BrN2O3S·HCl计,供HPLC法含量测定,含量为95.8%;供UV法测定,含量为96.4%。
CAS号:131707-23-8(无水物)
分子式:C22H25BrN2O3S·HCl·H2O
分子量:531.89
包装:棕色西林瓶
规格:约100毫克/支
储存条件:遮光,密闭,10~30℃保存。
·豪莫西地那非
编号:BP2193
英文名称:Homosildenafil
规格:30mg/支
本品为豪莫西地那非化学对照品,供HPLC法检查用,以C23H32N6O4S计,含量为99.6%,使用前不需干燥处理。
CAS号:642928-07-2
分子式:C23H32N6O4S
分子量:488.60
结构式:

包装及装量:棕色V形西林瓶装,每支约30毫克。
储存条件:遮光
·肾上腺素
编号:BP0125
英文名称:Epinephrine
规格:100mg/支
本品为豪莫西地那非化学对照品,供HPLC法检查用,以C23H32N6O4S计,含量为99.6%,使用前不需干燥处理。
CAS号:642928-07-2
分子式:C23H32N6O4S
分子量:488.60
结构式:

包装及装量:棕色V形西林瓶装,每支约30毫克。
储存条件:遮光
·邻*二甲*(代"酸")丁基苄酯
编号:BP2178
英文名称:Butyl Benzyl Phthalate
规格:1ml
本品为邻*二甲*(代"酸")丁基苄酯化学对照品,供GC法含量测定用,按C19H20O4计,含量为99.4%,使用前不需干燥处理。
CAS号:85-68-7
分子式:C19H20O4
分子量:312.36
结构式:

包装及装量:棕色安瓿瓶装,每支约1毫升。
储存条件:遮光,密封保存。
注意事项:使用前不需干燥处理。
·苦参碱
编号:BP1094
英文名称:Matrine
规格:20mg
本品为苦参碱化学对照品,供含量测定用。
分子式:C15H24N2O
分子量:248.36
包装及装量:棕色安瓿瓶。
储存条件:本品极易吸潮,应干燥密闭保存。
注意事项:置五氧化二磷减压干燥器中干燥12 小时以上使用。
生物化工学科起始于第二次世界大战时期,以抗生素的深层发酵和大规模生产技术的研究为标志。20世纪60年代末至80年代中期,转基因技术、生物催化与转比技术、动植物细胞培养技术、新型生物反应器和新型生物分离技术等开发和研究的成功,使本学科进入了新的发展时期,学科体系逐步完善。20世纪后期,随着以基因工程为代表的高新技术的迅速崛起,为本学科的进一步发展开辟了新领域,无数前人的工作和我公司的不懈奋斗。造就了高品质的枸橼酸。
我公司以高效的产品质量,完善的销*(代"售")体系、快速、安全的产品渠道,优质的客户服务,以诚信的态度,真诚的对待客户、合作伙伴以及各位同仁,欢迎来电咨询枸橼酸!
我公司生产供应销*(代"售")的标准品对照品正全品类优惠促销,十分期待您的咨询选购枸橼酸对照品价格。
风险提示:丁香通仅作为第三方平台,为商家信息发布提供平台空间。用户咨询产品时请注意保护个人信息及财产安全,合理判断,谨慎选购商品,商家和用户对交易行为负责。对于医疗器械类产品,请先查证核实企业经营资质和医疗器械产品注册证情况。
文献和实验对照品系指用于鉴别、检查、含量测定和校正检定仪器性能的标准物质。 标准品系指用于生物检定、抗生素或生物药品中含量或效价测定的标准物质,以效价单位(U)表示。 还是感觉不甚明了,是否标准品只用于生物方面?是否化学方面只能称对照品?标准品有什么要求?对照品有什么要求? 国家药品标准品、对照品系指国家药品标准中用于鉴别、检查、含量测定、杂质和有关物质检查等标准物质,它是国家药品标准不可分割的组成部分。国家药品标准物质是国家药品标准的物质基础,它是用来检查药品质量的一种特殊的专用
无色结晶,作为柠檬酸循环之一在好氧代谢中起着重要的作用。广泛分布于生物界,此外作为细菌、霉菌的发酵生成物而大量产生。是Ca离子的捕获剂,其钠盐( sodium citrate)可用作血液的抗凝剂。在柠檬、桔子等有酸味的果实中以游离状态存在。在线粒体膜上有柠檬酸的运输系统。柠檬酸还对磷酸果糖激酶作为效应物而起抑制作用。
枸橼酸盐利用试验的概述是检验主管技师考试辅导的部分内容,以下是医学教育网对这块内容的整理,希望对考生有所帮助:(1)原理:某些细菌能以铵盐为唯一氮源,并且利用枸橼酸盐作为唯一碳源,可在枸橼酸盐培养基上生长,分解枸橼酸盐,使培养基变碱性。(2)培养基:枸橼酸盐培养基。(3)方法:将被检菌接种于枸橼酸盐培养基,于35℃培养l~4d,每日观察结果。(4)结果:培养基中的溴麝香草酚兰指示剂由淡绿色变为深蓝色为阳性;不能利用枸橼酸盐作为碳源的细菌,在此培养基上不能生长,培养基则不变色,为阴性。(5)应用
技术资料暂无技术资料 索取技术资料









