相关产品推荐更多 >
万千商家帮你免费找货
0 人在求购买到急需产品
- 详细信息
- 技术资料
- 库存:
479
- 英文名:
Methylnonylketone
- CAS号:
112-12-9
- 保质期:
长期
- 供应商:
北京百奥莱博科技有限公司
特别声明:本产品及我公司所售其他产品均为科研类试剂产品,严禁用于药物、医疗及其他非科研用途。
北京百奥莱博公司供应包括北京现货甲基正壬酮对照品厂家在内的化学标准品,化学对照品,杂志对照品,HPLC标准品,UV标准品等高品质标准品、对照品
名称:北京现货甲基正壬酮对照品厂家
编号:BP1119
规格:约0.1ml/支
英文名:Methylnonylketone
产地:国产|进口
本品为甲基正壬酮化学对照品,供鉴别及含量测定用,含量以99.8%计,使用前不需干燥处理。
CAS号:112-12-9
分子式:C11H22O
分子量:170.29
包装:棕色安瓿瓶
规格:约0.1毫升/支
储存条件:阴凉处保存。
北京现货甲基正壬酮对照品厂家极具性价比,此外,我公司正火爆促销以下产品:
·*尿嘧啶
编号:BP0153
英文名称:Fluorouracil
规格:100mg
本对照品为*尿嘧啶的化学对照品,含量以C4H3FN2O2计。供含量测定用,使用前不需要干燥处理。
1、储存条件:置常温避光保存。启开安瓿后严密保持干燥以防吸水。
2、使用方法:精密称取适量,按质量标准所规定的方法,配制至所需浓度的对照品溶液,立即使用。
·罗库*铵杂质III
编号:BP0971
英文名称:Rocuronium Bromide Impurity III(1-[3α,17β-acetoxy-2β-(pyrrolidin-1-yl)-5α-androstan-16β-yl]-1-(prop-2-enyl)pyrrolidinium Bromide)
规格:约20毫克/支
本品为罗库*铵杂质III化学对照品,使用前不需干燥处理,供HPLC法系统适用性试验用。
CAS号:1190105-66-8
分子式:C34H55BrN2O4
分子量:635.72
结构式:

包装:棕色西林瓶
装量:约20毫克/支
储存条件:遮光,2-8℃保存
·鸟苷
编号:BP1509
英文名称:Guanosine
规格:约30mg/支
本品为鸟苷化学对照品,供检查用,含量以93.6%计,使用前不需干燥处理。
CAS号:118-00-3
分子式:C10H13N5O5
分子量:283.24
结构式:

包装:棕色安瓿
规格:约30mg/支
储存条件:常温保存
注意事项:本品有引湿性,打开包装后一次使用完毕。
·4-*基-5-*基甲酰基咪唑
编号:BP0494
英文名称:4-Amino-5-imidazolecarboxamide
规格:100mg/支
本品为4-*基-5-*基甲酰基咪唑对照品,供HPLC法系统适用性试验用,使用前不需干燥处理。
CAS号:360-97-4
分子式:C4H6N4O
分子量:126.12
包装及装量:棕色安瓿装,每支约100mg。
储存条件:遮光,密封,在冷处保存。
北京现货甲基正壬酮对照品厂家关键词:112-12-9,Methylnonylketone,甲基正壬酮
我公司以高效的产品质量,完善的销*(代"售")体系、快速、安全的产品渠道,优质的客户服务,以诚信的态度,真诚的对待客户、合作伙伴以及各位同仁,欢迎来电咨询甲基正壬酮!
·3,6’-二芥子酰基蔗糖
编号:BP1408
英文名称:3,6´-disinapoyl sucrose
规格:20mg/支
本品为3,6"-二芥子酰基蔗糖化学对照品,供含量测定用,含量以96.7%计,使用前不需干燥处理。
CAS号:105-45-3
分子式:C34H42O19
分子量:754.23
结构式:

包装:棕色安瓿瓶
装量:约20mg/支
储存条件:冷处(2-10℃)保存
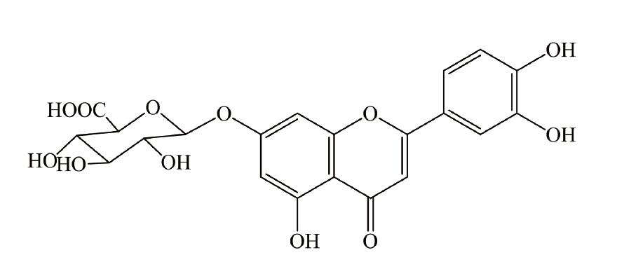
·木犀草素-7-O-β-D-葡萄糖醛酸苷
编号:BP1500
英文名称:Luteolin-7-O-β-D-glucuronide
规格:20mg/支
本品为木犀草素-7-O-β-D-葡萄糖醛酸苷化学对照品,供含量测定用,含量以97.7%计,使用前不需干燥处理。
CAS号:29741-10-4
分子式:C21H18O12
分子量:462.36
结构式:

包装:棕色安瓿瓶
规格:约20mg/支
储存条件:冷处(2~10℃)保存
注意事项:本品有引湿性,打开包装后一次使用完毕。本品须避光保存
北京现货甲基正壬酮对照品厂家关键词:112-12-9,Methylnonylketone,甲基正壬酮
我公司生化试剂产品种类丰富,涵盖溶剂、培养基、*基酸及其衍生物、组织学试剂、电泳试剂、核苷酸及其衍生物、糖类、纯化试剂、分子生物学用试剂、抗生素、生物缓冲试剂、染色剂、甲基正壬酮等。我公司作为一家以客户为中心的生产厂家和全球分销商,生产经营品种齐全的高质量化学品,实验室耗品和器材。在百奥莱博,质量是我们第一关注的要点。欢迎咨询选购!
ARB12343 大鼠补体因子H(CFH)含量检测 Rat complement factor h,cfh ELISA KIT
10030-85-0 L(+)鼠李糖 L-Rhamnose
TB培养基(Terrific Broth) 500ml
ARB13048 小鼠环磷酸鸟苷(cGMP)elisa检测说明书 Mouse cyclic guanosine monophosphate,cgmp ELISA KIT
5794-13-8 L-Asparagine L-天门冬酰胺
蔗糖溶液(Sucrose) Sucrose Solution 20%|100%|1mol/L|2mol/L 100ml
ARB14118 猪CD4分子(CD4)elisa检测操作说明书
F030620 FITC标记兔抗马IgG抗体 Rabbit Anti-Horse IgG*FITC
PY02-404 mEI琼脂基础 1L
变旋酶 Streptozotocin 9031-76-9
SJ0662 质粒小提试剂盒
BL0873 羊抗鸡IgG免疫血清 0.5ml
角鲨烯 4-Hydroxybenzoic acid sodiu*(代"m") salt 111-02-4
丙*(代"酮")酸激酶 Sesamol 9001-59-6
苏木素无水乙醇溶液 5%|10% 100ml
ARB11335 人胎盘泌乳素(PL)含量分析 Human placetal lactogen,pl ELISA KIT
BL0648 辛基-琼脂糖凝胶CL-4B octyl -Sepharose CL-4B
病毒检测用RNA提取试剂盒(精确)
美满霉素 Anion exchang resin 13614-98-7
*并-18-冠醚-6 BAEE 14098-24-9
我公司在保证产品质量的同时,以价格优、到货快、服务周到,致力于甲基正壬酮的研发、销*(代"售")。售前、售中、售后免费技术指导,质量保证,可放心购买!
我公司正在火爆促销标准品对照品系列产品,欢迎您的垂询选购北京现货甲基正壬酮对照品厂家。
风险提示:丁香通仅作为第三方平台,为商家信息发布提供平台空间。用户咨询产品时请注意保护个人信息及财产安全,合理判断,谨慎选购商品,商家和用户对交易行为负责。对于医疗器械类产品,请先查证核实企业经营资质和医疗器械产品注册证情况。
技术资料暂无技术资料 索取技术资料









