相关产品推荐更多 >
万千商家帮你免费找货
0 人在求购买到急需产品
- 详细信息
- 文献和实验
- 技术资料
- 保存条件:
阴凉干燥
- 保质期:
长期
- 英文名:
Haemocoagulase Agkistrodon
- 库存:
982
- 供应商:
北京百奥莱博科技有限公司
特别声明:本产品及我公司所售其他产品均为科研类试剂产品,严禁用于药物、医疗及其他非科研用途。
尖吻蝮蛇血凝酶标准品哪里卖的品牌:百奥莱博,是优质的标准品对照品产品,用于科研目的生化试验项目,本产品质量好,且极具价格优势,深为用户称道,了解更多尖吻蝮蛇血凝酶等标准品对照品产品请联系我司咨询订购。
名称:尖吻蝮蛇血凝酶标准品哪里卖
编号:BP1874
规格:6u
品牌:百奥莱博
英文名:Haemocoagulase Agkistrodon
产地:国产|进口
本品为尖吻蝮蛇血凝酶化学对照品,供尖吻蝮蛇血凝酶及制剂鉴别用,使用前放置室温。
包装:白色轧盖西林瓶
规格:每瓶6U
储存条件:-20℃保存。
欲了解更多尖吻蝮蛇血凝酶标准品哪里卖的品牌、产地、价格及说明书等产品信息,请致电北京百奥莱博科技有限公司,我们将竭诚为您服务,另外,以下产品正在火爆促销:
·蛋黄磷脂酰胆碱
编号:BP1986
英文名称:Egg yolk phosphatidylcholine
规格:50mg/支
本品为蛋黄磷脂酰胆碱化学对照品,供含量测定用,含量为90.6%。
CAS号:93685-90-6
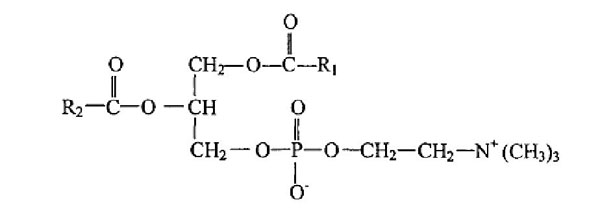
结构式:

R1, R2 为脂肪酸链
包装:棕色安瓿装
规格:约50mg/瓶
储存条件:遮光,密闭,于-20℃保存。
·丙*(代"酸")睾酮
编号:BP0008
英文名称:Testosterone Propionate
规格:100mg/支
本品为丙*(代"酸")睾酮(Testosterone Propionate)化学对照品,供鉴别和含量测定用。以C22H32O3计,供HPLC法测定,含量为99.8%
分子式:C22H32O3
分子量:344.49
CAS号:57-85-2
包装及装量:棕色瓶,约100mg/支
储存条件:干燥避光,室温密闭保存
注意事项:本品使用前 105℃干燥3小时,避光操作
·野百合碱
编号:BP1427
英文名称:Monocrotaline
规格:20mg
本品为野百合碱化学对照品,供限量检查内标用,含量以99.8%计。
分子式:C16H23NO6
分子量:325
包装及装量:棕色瓶。
储存条件:室温干燥保存。
注意事项:使用前无需处理。
尖吻蝮蛇血凝酶标准品哪里卖关键词:尖吻蝮蛇血凝酶,Haemocoagulase Agkistrodon,BP1874
我公司倾力为客户提供最优 、最全、最有效的尖吻蝮蛇血凝酶等科研试剂产品,质量被全国各大院校科研机构认可。 同时,我们售前,售中,售后全程为您服务。欢迎来电咨询!
ARB11974 大鼠C反应蛋白(CRP)Elisa分析 Rat c-reactive protein,crp ELISA KIT
ARB13866 猪白介素1(IL-1)免费代测 Porcine interleukin 1,IL-1 ELISA KIT
胆红素氧化酶 Potassium iodide 80619-01-8
*化溶菌酶 Tannase 9066-59-5
BTN100941 通用型全基因组扩增试剂盒 Universal WGA Kit
F010109 小鼠抗盐*(代"酸")克伦特罗抗体 Monoclonal Mouse Anti-Clenbuterol
BTN91103 非冻型拭子病毒保存液 Virus-LOCKER
BTN121205 CCK-8细胞增殖及毒性检测试剂盒 Cell Counting Kit-8
9003-39-8 聚乙*(代"烯")吡*(代"咯")烷酮40000 PVP40000
DN1601 凋亡DNA Ladder快速提取试剂盒
ARB13186 小鼠胰岛素样生长因子2(IGF-2)elisa检测操作说明书 Mouse insulin-like growth factor 2,igf-2 ELISA KIT
ARB10151 人Runt相关基因2(RUNX2)Elisa分析 Human runt-related transcription factor 2,(runx 2)ELISA KIT
BL0845 羊抗猪IgG纯化抗体
ARB10060 人B细胞生长因子(BCGF)ELISA检测服务 Human b cell growth protein,bcgf ELISA KIT
ARB11337 human胎盘蛋白(PP)血清中含量检测 Human placental protein,pp ELISA KIT
BTN131001 AP标记的抗抗体 Anti DIG Ab,AP
N-乙酰神经*酸醛缩酶 Spermidine 9027-60-5
米氏酮 TCEP 90-94-8
13408-09-8 β-Glycerol phosphate disodiu*(代"m") salt hydrate β-甘油磷酸二*盐
尖吻蝮蛇血凝酶标准品哪里卖关键词:尖吻蝮蛇血凝酶,Haemocoagulase Agkistrodon,BP1874
我公司生产的尖吻蝮蛇血凝酶纯度高价格低,质量有保证,客户更放心。我们为科研用户提供上千种生物试剂现货及sigma全线产品原装期货,货期短,价格低,质量好。用我们100%的真诚、热情换取您100%的信任与支持!
·盐*(代"酸")*替芬
编号:BP0626
英文名称:Naftifine Hydrochloride
规格:100mg
本品盐*(代"酸")*替芬为化学对照品,供含量测定用。
CAS号:65473-14-5
分子式:C21H21N·HCl
分子量:323.88
包装及装量:棕色小瓶装,每支约 100mg。
储存条件:遮光,密闭保存
注意事项:105℃干燥2小时后使用
·R-甲磺酸罗哌卡因
编号:BP0745
英文名称:R-Ropivacaine Mesylate
规格:20mg
本品为R-甲磺酸罗哌卡因化学对照品,供甲磺酸罗哌卡因国家标准中异构体杂质检查时,作定位用。
分子式:C17H26N2O·CH3SO3H
分子量:370.51
结构式:
装量:20mg/支
储存条件:避光,密闭保存
注意事项:本品使用前不需干燥
·环吡酮胺
编号:BP0189
英文名称:Ciclopirox Olamine
规格:50mg/支
本对照品为环吡酮胺的化学对照品,供含量测定用,含量以环吡酮胺C12H17NO2·C2H7NO计,使用前不需干燥处理。
分子式:C12H17NO2·C2H7NO
结构式:

分子量:268.36
CAS号:41621-49-2
包装:安瓿
规格:约50mg/支
储存条件:置常温遮光保存
尖吻蝮蛇血凝酶由我公司优惠供应,公司常年现货,欢迎广大科研工作者及经销商同仁前来咨询选购,另外公司专业从事进口科研生化试剂的批发及零售业务,产品涉及分子生物学、细胞生物学、免疫学、生物化学等诸多生命科研领域。因公司业务发展的需要,现诚征各地经销代理商,欢迎有志从事本行业的精英、同行莅临指导。
我公司正在打折促销标准品对照品全系列产品,恭候您的咨询选购尖吻蝮蛇血凝酶标准品哪里卖。
风险提示:丁香通仅作为第三方平台,为商家信息发布提供平台空间。用户咨询产品时请注意保护个人信息及财产安全,合理判断,谨慎选购商品,商家和用户对交易行为负责。对于医疗器械类产品,请先查证核实企业经营资质和医疗器械产品注册证情况。
文献和实验(4).中药的回收率和化药有什么差别吗?化药做加样回收率时,样品也是减半吗? 17.感谢版主的回答,我看了一下“《中国药典》中药质量标准研究制定技术要求”规定含量限度,要求测定十批,并没有临床和生产之分啊。不知道在哪可以查得到,对于报批临床和生产要求不一样吗?我以前倒是没有注意过这一点。我的标准品是在中检所买的,包装上写着:供含量测定用,以97%计。中检所卖给我们的标准品,本身就达不到98%的纯度。另外,本想问,不需要做中间精密度吗?即不同日期、不同
,添加水平为100微克/kg,测定加标后epm值,与控制点epm值1671相比较,结果添加13种磺胺类标准品的样品测定结果阳性率为100%。而添加四环素、氯霉素、氨苄青霉素、卡那霉素等标准品的样品测定结果均为阴性。上述实验验证了Charm II放射免疫分析法测定饲料中磺胺类残留的特异性能满足检测要求。(三)卖测结果分析应用Charm II放射免疫分析方法测定41份饲料样品的磺胺类残留,其中检测出5份样品初筛阳性,经GC-MS确认其中2份为阴性,检测的假阳性率为7-32%。取1O份初筛阴性的样品
卷和国际化学品安全卡片说明:长期或反复大量摄入三聚氰胺可能对肾与膀胱产生影响,导致产生结石。近期的“三lu奶粉”事件,就是因为不法分子掺卖混有三聚氰胺的奶粉,导致许多婴儿肾结石,造成了严重的后果。本文采用北京普析通用仪器有限公司的L6-1系列高效液相色谱仪和北京艾杰尔科技的三聚氰胺快速分析方法包,依据GB/T22400-2008《原料乳中三聚氰胺快速检测 液相色谱法》建立原奶中三聚氰胺快速、准确的检测方法。 实验部分 仪器与试剂
技术资料暂无技术资料 索取技术资料










