相关产品推荐更多 >
万千商家帮你免费找货
0 人在求购买到急需产品
- 详细信息
- 询价记录
- 技术资料
- 库存:
966
- 英文名:
6-epidoxycycline
- 保质期:
长期
- 供应商:
北京百奥莱博科技有限公司
- 保存条件:
2-8℃
特别声明:本产品及我公司所售其他产品均为科研类试剂产品,严禁用于药物、医疗及其他非科研用途。
β-多西环素标准品大量库存促销的品牌:百奥莱博,是优质的标准品对照品产品,用于科研目的生化试验项目,本产品质量好,且极具价格优势,深为用户称道,了解更多β-多西环素等标准品对照品产品请联*(代"系")我司咨询订购。
名称:β-多西环素标准品大量库存促销
编号:BP1592
产地:国产|进口
品牌:百奥莱博
规格:50mg/支
本品为β-多西环素标准品,供含量及有关物质检查项下系统适用性实验用,使用前不需干燥处理。
分子式:C22H24N2O8
分子量:444.1
结构式:

包装:棕色安瓿
规格:约50mg/支
储存条件:2-8℃遮光保存。
欲咨询购买β-多西环素标准品大量库存促销,请致电北京百奥莱博科技有限公司,为您提供最全面周到的产品服务,除此之外,我公司正在促销以下产品:
BTN130512 一站式磁珠法动物mRNAOUT One-Step MAG Animal mRNA Isolation Kit
BL0797 狗IgG抗原(干粉)
ARB13611 兔子组织多肽抗原(TPA)ELISA代测服务 Rabbit tissue polyPeptide antigen,tpa ELISA KIT
亚硫基二乙酸 Actidione 123-93-3
ARB11123 人肺炎衣原体抗体(Cpn-Ab)ELISA检测服务 Human chlamydia pneumoniae antibody,cpn-ab ELISA KIT
PY08-035 乳糖发酵管 30ml 瓶,用于大肠菌群的确证试验
F030633 FITC标记山羊抗人IgG(H+L)抗体 Polyclonal Goat Anti-Human IgG*FITC
SJ0732 猪外周血淋巴细胞分离液
PY01-114 次黄嘌呤 1克
聚*乙*(代"烯")树脂 β-Alanine
ARB11497 人脂阿拉伯甘露聚糖(LAM)酶标法分析 Human lipoarabinomannan,lam ELISA KIT
BL1216 甲**(代"胺")蓝溶液
ARB10801 人抗丙型肝炎抗体(抗-HCV)检测服务 Human anti-hepatitis c virus antibodies ELISA KIT
ARB10160 人SmAd1 elisa检测说明书 Human mothers against decapentaplegic homolog 1,smad1 ELISA KIT
ARB13793 豚鼠纤溶酶抗纤溶酶复合物(PAP)ELISA检测服务 Guinea pig plasmin-antiplasmin complex,pap ELISA KIT
PC2001 长片段PCR扩增试剂盒
β-多西环素标准品大量库存促销关键词:BP1592,β-多西环素,6-epidoxycycline
PY02-271 麦芽糖发酵管培养基 250克
HC0131 PH试纸 广泛试纸PH范围(1-14)
ARB14148 犬转化生长因子β1(TGF-β1)酶标法分析
2′-*脱氧胞苷 2-Deoxy-D-Ribose 10212-20-1
ARB13575 兔子白介素3(IL-3)检测服务 Rabbit interleukin 3,IL-3 ELISA KIT
硫代甜菜碱8 BOC-D-Glutamic acid 15178-76-4
ARB13379 牛副结核(Paratuberculosis)elisa检测
天门冬*酸*基转移酶(AST)检测试剂盒(单试剂速率法) 100ml|200ml
ARB11829 人瘢痕性天疱疮抗体(CP)elisa检测操作说明书 Human cicatricial pemphigoid,cp ELISA KIT
ARB12165 大鼠白介素2可溶性受体β链(IL-2sRβ)酶联免疫定量检测 Rat soluble interleukin-2 receptor,IL-2srβ ELISA KIT
BTN130864 Hoechst 33258干粉 Hoechst 33258 Powder
ARB11951 大鼠I型胶原C端肽(CTX-Ⅰ)Elisa分析 Rat c-teloPeptide of type i collagen,ctx-i ELISA KIT
BFD060 *霉素检测卡
ARB14012 绵羊白介素6(IL-6)ELISA检测服务 Sheep interleukin 6,IL-6 ELISA KIT
天狼星红BB dGDP 2829-43-8
ARB10809 人抗白蛋白抗体(AAA)酶免分析 Human anti-albumin antibody,aaa ELISA KIT
β-多西环素标准品大量库存促销关键词:BP1592,β-多西环素,6-epidoxycycline
我公司为您您提供β-多西环素相关的所有信息,如:第二名称、CAS号、规格、熔点、MSDS、用途、作用、毒性、价格等。规格包装,现货供应,极速发货,实验即可安排,试剂随叫随到,无需等待!
·厄贝沙坦杂质I
编号:BP0928
英文名称:Irbesartan Impurity I(1-(pentanoylamino)-N-[[2-(1H-tetrazol -5-yl)biphenyl-4-yl]methyl]cyclopentanecarboxamide)
规格:50mg/支
本品为厄贝沙坦杂质I化学对照品,使用前不需干燥处理,供HPLC法检查用,按C25H30N6O2计,含量为100%。
CAS号:748812-53-5
分子式:C25H30N6O2
分子量:446.54
结构式:

包装:棕色西林瓶
规格:约50毫克/支
储存条件:遮光,10~30℃密闭保存
·富马酸依美斯汀
编号:BP0676
英文名称:Irbesartan Impurity I(1-(pentanoylamino)-N-[[2-(1H-tetrazol -5-yl)biphenyl-4-yl]methyl]cyclopentanecarboxamide)
规格:100mg
本品为厄贝沙坦杂质I化学对照品,使用前不需干燥处理,供HPLC法检查用,按C25H30N6O2计,含量为100%。
CAS号:748812-53-5
分子式:C25H30N6O2
分子量:446.54
结构式:

包装:棕色西林瓶
规格:约50毫克/支
储存条件:遮光,10~30℃密闭保存
·草酸艾司西酞普兰
编号:BP0673
英文名称:Escitalopram Oxalate
规格:100mg
本品为厄贝沙坦杂质I化学对照品,使用前不需干燥处理,供HPLC法检查用,按C25H30N6O2计,含量为100%。
CAS号:748812-53-5
分子式:C25H30N6O2
分子量:446.54
结构式:

包装:棕色西林瓶
规格:约50毫克/支
储存条件:遮光,10~30℃密闭保存
·琥珀酸舒马普坦
编号:BP0465
英文名称:Sumatriptan Succinate
规格:100mg
本品为厄贝沙坦杂质I化学对照品,使用前不需干燥处理,供HPLC法检查用,按C25H30N6O2计,含量为100%。
CAS号:748812-53-5
分子式:C25H30N6O2
分子量:446.54
结构式:

包装:棕色西林瓶
规格:约50毫克/支
储存条件:遮光,10~30℃密闭保存
·酒石酸罗格列酮
编号:BP0672
英文名称:Rosiglitazone Tartrate
规格:100mg/支
本品为酒石酸罗格列酮化学对照品,供含量测定用。105℃干燥2小时后使用,供HPLC法测定,按C18H19N3O3S·C4H6O6计,含量为99.6%。
分子式:C18H19N3O3S·C4H6O6
分子量:507.51
包装:棕色西林瓶
装量:约100毫克/支
储存条件:遮光,密闭,10~30℃保存。
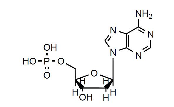
·脱氧核糖腺嘌呤核苷酸*(A)
编号:BP1852
英文名称: deoxyribose adenylic acid sodiu*(代"m")(dAMP-Na)
规格:20mg/瓶
本品为脱氧核糖腺嘌呤核苷酸*化学对照品,含量以脱氧核糖腺嘌呤核苷酸计为94.7%。供脱氧核苷酸鉴别及含量测定用。
分子式:C10H14N5O6P
分子量:331.22
结构式:

包装:棕色瓶
装量:约20mg/支
储存条件:-20℃低温保存
注意事项:使用前不需干燥。
β-多西环素等试剂产品的使用注意事项:
(1)、所有试剂、溶液以及样品的包装上必须要有标签。标签要完整、清晰,表明试剂的名称、规格、质量。
(2)、溶液除了表明品名外,还应表明浓度、配置日期等。万一标签脱落,应照原样贴牢。决定不允许在容器内装入与标签不相符的物品。
(3)、无标签的试剂必须取小样检定后才可使用。不能使用的化学试剂要慎重处理,不能随意乱倒。为了保证试剂不受污染,应当用清洁的牛角勺或不锈钢小勺从试剂瓶中取出试剂,绝不可以用手抓取。若试剂结块,可用洁净的玻璃棒或瓷药铲将其捣碎后取出。
(4)液体试剂可用洗干净的量筒到取,不要用吸管伸入原试剂中吸取液体。从试剂瓶中取出的、没有用完的声誉药品,不可再倒回原瓶。
我公司以高效的产品质量,完善的销*(代"售")体系、快速、安全的产品渠道,优质的客户服务,以诚信的态度,真诚的对待客户、合作伙伴以及各位同仁,欢迎来电咨询β-多西环素!
我公司生产供应销*(代"售")的标准品对照品产品正全系列现货促销,满分期待您的垂询选购β-多西环素标准品大量库存促销。
风险提示:丁香通仅作为第三方平台,为商家信息发布提供平台空间。用户咨询产品时请注意保护个人信息及财产安全,合理判断,谨慎选购商品,商家和用户对交易行为负责。对于医疗器械类产品,请先查证核实企业经营资质和医疗器械产品注册证情况。
- 作者
- 内容
- 询问日期
技术资料暂无技术资料 索取技术资料










