万千商家帮你免费找货
0 人在求购买到急需产品
- 详细信息
- 文献和实验
- 技术资料
- 保存条件:
阴凉干燥
- 保质期:
长期
- 库存:
855
- 供应商:
北京百奥莱博科技有限公司
特别声明:本产品及我公司所售其他产品均为科研类试剂产品,严禁用于药物、医疗及其他非科研用途。
北京百奥莱博供应的北京聚丙*(代"烯")酸树脂III标准品报价用于科研目的生化试验项目,本产品质量好,且极具价格优势,深为用户称道,了解更多聚丙*(代"烯")酸树脂III等标准品对照品产品请联系我司咨询订购。
名称:北京聚丙*(代"烯")酸树脂III标准品报价
编号:BP2021
品牌:百奥莱博
规格:200mg
本品为聚丙*(代"烯")酸树脂Ⅲ化学对照品,供聚丙*(代"烯")酸树脂Ⅲ品种红外光谱鉴别用。
包装及装量:棕色西林瓶装, 每支约200 毫克
储存条件::遮光,密封,于阴凉处保存。
注意事项:使用前于 110℃干燥6 小时。
北京聚丙*(代"烯")酸树脂III标准品报价正在火爆热销,除此之外,为您推荐下别热销产品:
二甲胺盐*(代"酸")盐 Fuchsin acid 506-59-2
NF-265 冻干APOA-1,APOB标准血清
5(6)-羧基二乙酸荧光素琥珀酰亚胺酯 BIS-TRIS 150347-59-4
ARB11041 人环氧合酶-2受体(COX-2R)含量检测 Human cyclooxygenase-2receptor, cox-2r ELISA KIT
2478-38-8 乙酰丁香酮 Acetosyringone
L-酪*酸乙酯盐*(代"酸")盐 Ethyl p-toluene sulfonate 4089-07-0
ARB13081 小鼠降*素(CT)含量分析 Mouse calcitonin,ct ELISA KIT
DP440 RNAlock血液稳定剂
PY08-058 四硫*(代"磺")酸盐煌绿增菌液(TTB) 9ml 20支/盒,用于沙门氏菌选择性增菌培养
ARB11417 人结缔组织生长因子(CTGF)elisa检测 Human connective tissue growth factor,ctgf ELISA KIT
PY02-043 Baird-Parker琼脂基础 250克
F030703 BIOTIN标记小鼠抗乙肝表面抗原抗体 Monoclonal Mouse Anti-HBsAg*BIOTIN
F030425 胶体金标记兔抗豚鼠IgG抗体 Rabbit Anti-Guinea Pig IgG*GOLD
ARB13325 山羊磷酸化腺苷酸活化蛋白激酶(AMPK)Elisa分析 Goat phosphorylated adenosine monophosphate activated protein kinase,ampk ELISA KIT
F030202 HRP标记小鼠抗人IgG Fc抗体 Monoclonal Mouse Anti-Human IgG(FC)*HRP
ARB10245 人乙型肝炎病毒前S2抗体(HBV preS2Ab)酶标法分析 Human hepatitis b virus,hbv pres2ab ELISA KIT
北京聚丙*(代"烯")酸树脂III标准品报价关键词:百奥莱博,BP2021,聚丙*(代"烯")酸树脂III
·槲皮苷
编号:BP1192
英文名称:Quercitrin
规格:20mg/支
本品槲皮苷为化学对照品,供含量测定用,含量以90.6%计,使用前无需干燥处理。
CAS号:522-12-3
分子式:C21H20O11
分子量:448.38
结构式:

包装:棕色安瓿瓶
装量:约20mg/支
储存条件:冷处(2-10℃)保存
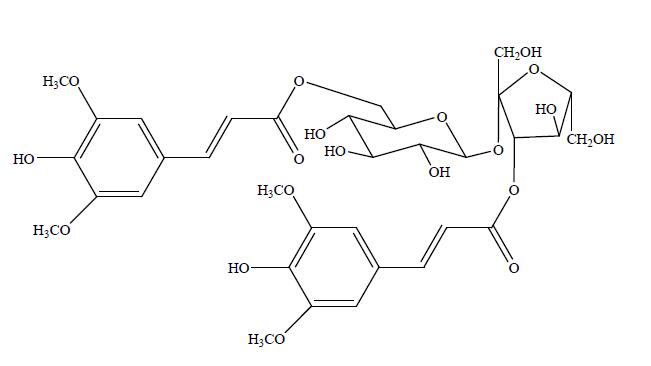
·3,6’-二芥子酰基蔗糖
编号:BP1408
英文名称:3,6´-disinapoyl sucrose
规格:20mg/支
本品为3,6"-二芥子酰基蔗糖化学对照品,供含量测定用,含量以96.7%计,使用前不需干燥处理。
CAS号:105-45-3
分子式:C34H42O19
分子量:754.23
结构式:

包装:棕色安瓿瓶
装量:约20mg/支
储存条件:冷处(2-10℃)保存
·艾司奥美拉唑*
编号:BP2144
英文名称:Esomeprazole Sodium
规格:50mg/支
本品为艾司奥美拉唑*化学对照品,供IR鉴别用,使用前不需干燥处理。如有必要,请与供试品经同法前处理后使用。
CAS号:161796-78-7
分子式:C17H18N3O3SNa
分子量:367.40
规格:50毫克/支
包装:棕色安瓿瓶装
储存条件:遮光,2-8℃密封保存
北京聚丙*(代"烯")酸树脂III标准品报价关键词:百奥莱博,BP2021,聚丙*(代"烯")酸树脂III
聚丙*(代"烯")酸树脂III特价促销,价格合理,售后服务完善,确属质量问题可包换包退,免除您的后顾之忧。工作时间内可免费技术咨询和指导,我们将竭尽我们的全力为您服务,争取包您100%满意,欢迎新老客户来电订购!
·穗花杉双黄酮
编号:BP1446
英文名称:Amentoflavone
规格:约20mg/支
本品为穗花杉双黄酮化学对照品,供含量测定用,含量以97.7%计,使用前不需干燥处理。
CAS号:1617-53-4
分子式:C30H18O10
分子量:538
结构式:

包装:棕色安瓿瓶规格:约20毫克/支
储存条件:冷处(2~10℃)保存
注意事项:本品有引湿性,打开包装后一次使用完毕。
·m-甲*(代"酚")-6-磺酸铵(聚甲*(代"酚")磺醛杂质)
编号:BP0741
英文名称:Polocresulen Impurity
规格:30mg/支
本品为m-甲*(代"酚")-6-磺酸铵(聚甲*(代"酚")磺醛杂质)化学对照品,供检查用,供HPLC法测定,按C7H11NO4S计,含量为100%。
分子式:C7H11NO4S
分子量:205.23
包装及装量:棕色小瓶装,每支约30毫克。
储存条件:遮光,密封保存。
注意事项:使用前不需干燥处理。
·肌苷
编号:BP1817
英文名称:Inosine
规格:约50mg/瓶
本品为肌苷化学对照品,以C10H12N4O5计,含量为98.6%,供鉴别和含量测定使用。
CAS号:58-63-9
分子式:C10H12N4O5
分子量:268.23
包装:棕色西林瓶
规格:约50mg/瓶
储存条件:常温保存
·贝美格
编号:BP0352
英文名称:Bemegride
规格:100mg
本品为肌苷化学对照品,以C10H12N4O5计,含量为98.6%,供鉴别和含量测定使用。
CAS号:58-63-9
分子式:C10H12N4O5
分子量:268.23
包装:棕色西林瓶
规格:约50mg/瓶
储存条件:常温保存
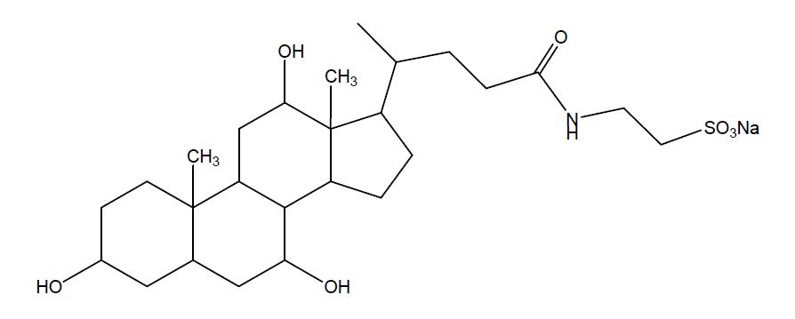
·牛磺胆酸*
编号:BP1102
英文名称:Sodium Taurocholate
规格:20mg
本品为牛磺胆酸*化学对照品,供鉴别或含量测定用,使用前不需干燥处理,含量以87.9%计。
CAS号:145-42-6
分子式:C26H44NNaO7S
分子量:537.68
结构式:

包装:棕色安瓿瓶
装量:约20mg/支
储存条件:常温干燥保存
注意事项:本品具引湿性,建议打开包装一次性使用完。
我公司位于北京市海淀区,是一家专业从事生化试剂、分子生物学试剂、实验耗材研发、销*(代"售")、服务为一体的生物科技公司,公司主要经营的进口品牌包括Sigma,Invitrogen,Roche,Abcam,BD, R&D,GE,Amresco,Merck等;产品涉及化工原料、生化试剂、分子克隆相关试剂、细胞培养及检测常用试剂、实验室常用耗材等。百奥莱博秉承博采众长、诚信为本、德行天下的宗旨服务于客户。公司合作单位及客户包括各大医院、科研机构、大专院校、制药单位、医学检验单位、卫生防疫、生物技术公司、食品单位等诸多领域,正逐步成长为一流的生化试剂和耗材供应商。 我们将一如既往的为您提供优质的产品和完善的售后服务。
聚丙*(代"烯")酸树脂III等级划分:
我国的试剂规格基本上按纯度(杂质含量的多少)划分,共有高纯、光谱纯、基准、分光纯、优级纯、分析和化学纯等7种。国家和主管部门颁布质量指标的主要优级纯、分级纯和化学纯3种。
(1)优级纯(GR),又称一级品或保证试剂,99.8%,这种试剂纯度最高,杂质含量最低,适合于重要精密的分析工作和科学研究工作,使用绿色瓶签。
(2)分析纯(AR),又称二级试剂,纯度很高,99.7%,略次于优级纯,适合于重要分析及一般研究工作,使用红色瓶签。
(3)化学纯(CP),又称三级试剂,≥ 99.5%,纯度与分析纯相差较大,适用于工矿、学校一般分析工作。使用蓝色(深蓝色)标签。
(4)实验试剂(LR),又称四级试剂。
我公司强烈推荐标准品对照品系列产品,热情期待您的咨询选购北京聚丙*(代"烯")酸树脂III标准品报价。
风险提示:丁香通仅作为第三方平台,为商家信息发布提供平台空间。用户咨询产品时请注意保护个人信息及财产安全,合理判断,谨慎选购商品,商家和用户对交易行为负责。对于医疗器械类产品,请先查证核实企业经营资质和医疗器械产品注册证情况。
文献和实验上可见,几乎所有的碘化HGH都集中在峰II;保存1个月后,峰II组份减少,峰I和峰III成分明显增加,峰I是集聚的标记生长激素,而峰III是不具有免疫活性的放射性化学杂质(图8--3)。 图8-3 125 I―HGH的Sephadex G-100过滤谱 标记化合物的纯化方法,除制备比活度低而化学量又较多的标记物可用重结晶、蒸馏、萃取等常规方法外,一般需用微量分离技术,较方便的是层析法、离子交换法、凝胶过滤及高效液相层析法等。现以碘标记蛋白为例,说明以上各种方法的适用情况
技术资料暂无技术资料 索取技术资料










