相关产品推荐更多 >
万千商家帮你免费找货
0 人在求购买到急需产品
- 详细信息
- 文献和实验
- 技术资料
- 保存条件:
2~10℃
- 保质期:
长期
- 英文名:
Β-Ecdysterone
- 库存:
624
- 供应商:
北京百奥莱博科技有限公司
- CAS号:
5289-74-7
特别声明:本产品及我公司所售其他产品均为科研类试剂产品,严禁用于药物、医疗及其他非科研用途。
北京百奥莱博公司供应包括北京β-蜕皮甾酮标准品大量库存促销在内的化学标准品,化学对照品,杂志对照品,HPLC标准品,UV标准品等高品质标准品、对照品
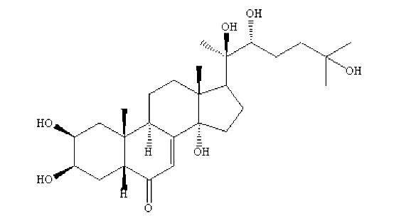
名称:β-蜕皮甾酮
规格:20mg/支
英文名:Β-Ecdysterone
编号:BP1256
本品为β-蜕皮甾酮化学对照品,供鉴别及含量测定用,含量以98.4%计,使用前不需干燥处理。
CAS号:5289-74-7
分子式:C27H44O7
分子量:480.63
结构式:

包装:棕色瓶
规格:约20mg/支
储存条件:冷处(2~10℃)保存
注意事项:本品有引湿性,打开包装后一次使用完毕。
关键词:5289-74-7,β-蜕皮甾酮,Β-Ecdysterone
想要了解更多关于北京β-蜕皮甾酮标准品大量库存促销的价格、品牌、厂家、说明书、促销信息,请和我们联系。此外我公司还销*(代"售")下面的产品:
| 编号 | 名称 |
| BP0886 | 胸苷 |
| BP0132 | 盐*(代"酸")哌唑嗪 |
| BP1897 | N-乙酰-L-色*酸 |
| BP1834 | L-门冬*酸 |
| BP1439 | 4,5-二-O-咖啡酰奎宁酸 |
| BP1128 | 杜鹃素 |
| BP0492 | 洛索洛芬* |
| BP1542 | 补骨脂异黄酮 |
| BP1356 | 荭草苷 |
| BP0515 | 扎来普*(代"隆") |
| BP1357 | 异长春花苷内酰胺 |
| BP0533 | 盐*(代"酸")阿比多尔 |
| BP2113 | 人凝血酶原复合物国家标准品 |
| BP0588 | 替尼泊苷 |
| BP0115 | 卡马西平 |
| BP0330 | 盐*(代"酸")地巴唑 |
| BP1717 | 葡萄糖酸依诺沙星 |
| BP0507 | 盐*(代"酸")左西替利嗪 |
| BP1647 | 利福平 |
| BP1630 | 司帕沙星 |
| BP1359 | 朝藿定C |
| BP0318 | 盐*(代"酸")甲氧那明 |
| BP1518 | 甲基氧化偶氮甲醇樱草糖苷 |
| BP0324 | 磺胺醋酰* |
| BP2017 | 环拉酸* |
| BP1832 | 甘*酸 |
| BP1724 | 青霉素系统适用性对照品 |
| BP0344 | 甲氧沙*(代"林") |
| BP1615 | 甲砜霉素 |
| BP0325 | 去甲斑蝥素 |
| BP0688 | 双*芬酸二乙*(代"胺") |
| BP0475 | *雷他定 |
| BP0604 | 拖拉塞米杂质A |
| BP0449 | 双硫化合物 |
| BP0092 | 倍他米松 |
风险提示:丁香通仅作为第三方平台,为商家信息发布提供平台空间。用户咨询产品时请注意保护个人信息及财产安全,合理判断,谨慎选购商品,商家和用户对交易行为负责。对于医疗器械类产品,请先查证核实企业经营资质和医疗器械产品注册证情况。
文献和实验放射性元素 半衰期 射线种类及能量(百万电子伏特) β γ 14 C 5720年 0.155 - 3 H 12.5年 0.0189
抗原与小鼠品系间的关系 【求助】求教一些有关催化性抗体的问题 【求助】ELISA测结果时波长搞错怎么办 【求助】求教免疫抗原问题!!!! 【求助】融合长了很多 【求助】测组织里两种因子是否有相关性可以用哪些方法? 【求助】融合后俩次换液,全都是阳性 【求助】乙肝前S2抗原的标准品在哪能买到啊? 【求助】抗原肽制备抗血清的几个问题请教 【求助】求助:关于2单克隆抗体+1蛋白的问题 【求助】抗体稀释方法 【求助】哪位有OMP(嗅觉标记
/view?bid=67&id=4777508&sty=1&tpg=20&age=0 [求助]求β-actin引物序列 http://www.dxy.cn/bbs/post/view?bid=67&id=4777527&sty=1&tpg=20&age=0 [求助]求助,用于RT-PCR的探针可以用来做FISH http://www.dxy.cn/bbs/post/view?bid=67&id=4779818&sty=1&tpg=19&age=0 [求助]PCR没有结果怎么办 http
技术资料暂无技术资料 索取技术资料










