相关产品推荐更多 >
万千商家帮你免费找货
0 人在求购买到急需产品
- 详细信息
- 文献和实验
- 技术资料
- 库存:
大量
- 英文名:
Liguiritigenin-7-O-D-apiosyl-4’-O-D-glucoside
- 保质期:
1-3年
- 供应商:
上海沪震实业有限公司
- 保存条件:
常温或2-8℃保存
- 规格:
20mg
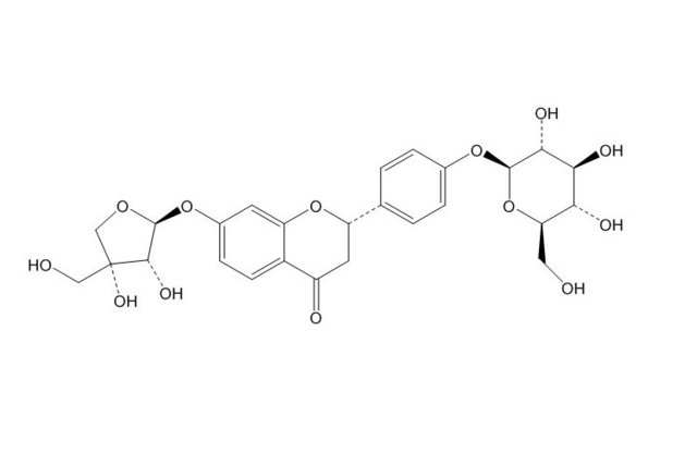
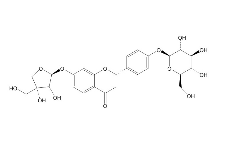
【Product Name】 Liguiritigenin-7-O-D-apiosyl-4’-O-D-glucoside
【CAS Number】 199796-12-8
【中文名称】 甘草苷元-7-O-D-芹糖 -4'-O-D-葡萄糖苷
【Chemical Name】 4H-1-Benzopyran-4-one, 7-(D-apio-β-D-furanosyloxy)-2-[4-(β-D-glucopyranosyloxy)phenyl]-2,3-dihydro-, (2S)-
【Chemical Formula】 C26H30O13
【Molecular Weight】 550.51
【Chemotaxonomic Group】 黄酮类/二氢黄酮类 Flavones/Flavanones

相关标准品-对照品列表:
| HZ20362-5g | L-高丝氨酸 | L-HomoseHZine | 672-15-1 | HZHZ,98% | 5g | 350.00 |
| HZ20363-1g | D-别异亮氨酸 | D-allo-Isoleucine | 1509-35-9 | HZHZ,98% | 1g | 390.00 |
| HZ20363-500mg | D-别异亮氨酸 | D-allo-Isoleucine | 1509-35-9 | HZHZ,98% | 500mg | 200.00 |
| HZ20363-5g | D-别异亮氨酸 | D-allo-Isoleucine | 1509-35-9 | HZHZ,98% | 5g | 1800.00 |
| HZ20364-100g | 阿斯巴甜 | AspaHZtame | 22839-47-0 | HZHZ,99% | 100g | 180.00 |
| HZ20364-25g | 阿斯巴甜 | AspaHZtame | 22839-47-0 | HZHZ,99% | 25g | 90.00 |
| HZ20364-500g | 阿斯巴甜 | AspaHZtame | 22839-47-0 | HZHZ,99% | 500g | 400.00 |
| HZ20365-1kg | 芴甲氧羰酰氯 | FMOC-Cl | 28920-43-6 | HZHZ,99% | 1kg | 1500.00 |
| HZ20365-250g | 芴甲氧羰酰氯 | FMOC-Cl | 28920-43-6 | HZHZ,99% | 250g | 500.00 |
| HZ20365-50g | 芴甲氧羰酰氯 | FMOC-Cl | 28920-43-6 | HZHZ,99% | 50g | 120.00 |
| HZ20366-100g | 氨基甲基树脂 | Aminomethyl HZesin | \N | HZHZ | 100g | 1200.00 |
风险提示:丁香通仅作为第三方平台,为商家信息发布提供平台空间。用户咨询产品时请注意保护个人信息及财产安全,合理判断,谨慎选购商品,商家和用户对交易行为负责。对于医疗器械类产品,请先查证核实企业经营资质和医疗器械产品注册证情况。
文献和实验-10所示,合成色氨酸所需要酶类的基因E、D、C、B、A等头尾相接串连排列组成结构基因群,受其上游的启动子Ptrp和操纵子o的调控,调控基因trpR的位置远离P-o-结构基因群,在其自身的启动子作用下,以组成性方式低水平表达分子量为47000的调控蛋白R。R并没有与o结合的活性,当环境能提供足够浓度的色氨酸时,R与色氨酸结合后构象变化而活化,就能够与o特异性亲和结合,阻遏结构基因的转录,因此这是属于一种负性调控的、可阻遏的操纵元(repressible operon),即这操纵元通常是开放转录
目的要求: 1.掌握甾体皂苷元(亲脂性和中性成分)的提取方法。 2.熟悉薯蓣皂苷元的性质及鉴定法。 简介: 薯蓣皂苷元(Diosgenin)是一种甾体皂苷元,分子式(C27H42O31),分子量414.61,为白色结晶,mp204~207℃,[ ]25D-129.3(CHCl3),溶于一般有机溶剂和醋酸,不溶于水。目前,是制造多种甾体药物如口服避孕药(I号,II号避孕药片)和甾体激素(如可的松)等的重要原料。在植物界主要分布在薯蓣科薯蓣属(Dioscorea)植物中,我国
CRESOL分析专用毛细管色谱柱(280℃) 品名 规格 备注 售价(元) CRESOL分析专用毛细管色谱柱 50m×0.32mm 最高使用温度280摄氏度 4802.40 CRESOL分析专用毛细管色谱柱 50m×0.53mm 最高使用温度280摄氏度 6734.40 DB系列毛细管柱 品名 规格 备注 售价(元) DB-1毛细管柱 30M×0.25mm I.D.×0.25um 安捷伦货号:122-1032 4527.00 DB-5毛细管柱 30M×0.32mm I.D. ×1um 安捷
技术资料暂无技术资料 索取技术资料










