相关产品推荐更多 >
万千商家帮你免费找货
0 人在求购买到急需产品
- 详细信息
- 文献和实验
- 技术资料
- 库存:
大量
- 英文名:
Epoxylathyrol
- 保质期:
1-3年
- 供应商:
上海沪震实业有限公司
- 保存条件:
常温或2-8℃保存
- 规格:
20mg
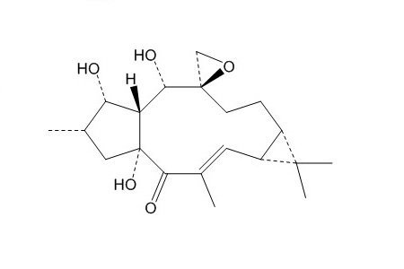
【Product Name】 Epoxylathyrol
【CAS Number】 28649-60-7
【中文名称】 环氧续随子醇
【Chemical Name】 Spiro[9H-cyclopenta[a]cyclopropa[f]cycloundecene-9,2'-oxiran]-4(1H)-one, 1a,4a,5,6,7,7a,8,10,11,11a-decahydro-4a,7,8-trihydroxy-1,1,3,6-tetramethyl-, (1aR,2E,2'R,4aR,6S,7S,7aR,8S,11aS)-
【Chemical Formula】 C20H30O5
【Molecular Weight】 350.45
【Chemotaxonomic Group】 二萜类 Diterpenoids

相关标准品-对照品列表:
| HZ19278-5g | 耐尔蓝A | Nile HZlue A | 3625-57-8 | AHZ,75% | 5g | 100.00 |
| HZ19279-100mg | 尼罗红 | Nile HZed | 7385-67-3 | HZHZ,98% | 100mg | 300.00 |
| HZ19279-1g | 尼罗红 | Nile HZed | 7385-67-3 | HZHZ,98% | 1g | 1000.00 |
| HZ19279-500mg | 尼罗红 | Nile HZed | 7385-67-3 | HZHZ,98% | 500mg | 600.00 |
| HZ19280-1g | 氧钒酞菁 | Oxyvanadium phthalocyanine | 13930-88-6 | HZHZ,98% | 1g | 390.00 |
| HZ19280-250mg | 氧钒酞菁 | Oxyvanadium phthalocyanine | 13930-88-6 | HZHZ,98% | 250mg | 150.00 |
| HZ19281-25g | 间硝基酚 | 3-NitHZophenol | 554-84-7 | IND | 25g | 200.00 |
| HZ19282-25g | 二水还原茚三酮 | HydHZindantin dihydHZate | 5950-69-6 | HZHZ,98% | 25g | 980.00 |
| HZ19282-5g | 二水还原茚三酮 | HydHZindantin dihydHZate | 5950-69-6 | HZHZ,98% | 5g | 330.00 |
| HZ19283-25g | 直接黑HZN | DiHZect HZlack 38 | 1937-37-7 | HZHZ,8% | 25g | 450.00 |
| HZ19283-5g | 直接黑HZN | DiHZect HZlack 38 | 1937-37-7 | HZHZ,8% | 5g | 150.00 |
| HZ19284-1g | 固红HZ | Fast HZed HZ salt | 49735-71-9 | HZHZ | 1g | 390.00 |
风险提示:丁香通仅作为第三方平台,为商家信息发布提供平台空间。用户咨询产品时请注意保护个人信息及财产安全,合理判断,谨慎选购商品,商家和用户对交易行为负责。对于医疗器械类产品,请先查证核实企业经营资质和医疗器械产品注册证情况。
文献和实验。 C-O伸展吸收大,伯仲叔醇位不同。 1050伯醇显,1100乃是仲, 1150叔醇在,1230才是酚。 1110醚链伸,注意排除酯酸醇。 若与π键紧相连,二个吸收要看准, 1050对称峰,1250反对称。 苯环若有甲氧基,碳氢伸展2820。 次甲基二氧连苯环,930处有强峰, 环氧乙烷有三峰,1260环振动, 九百上下反对称,八百左右最特征。 缩醛酮,特殊醚,1110非缩酮。 酸酐也有C-O键,开链环酐有区别, 开链强宽一千一,环酐移至1250。 羰基伸展一千
C2-C4及总C5烃类组成的分析(不包括双烯烃和炔烃)。分析结果符合SH/T10230-92。 液化石油气分析②: 选用热导检测器,填充柱系统、阀自动或手动切换,并配有反吹 系统,适用于液化石油气中C5以下气态烃类组分的分析(不包括炔烃)。分析结果符合GB10410.3-89。 (四)炼厂气分析: 选用热导和氢焰离子化检测器,填充柱和毛细管柱分离,通过多阀自动切换,信号自动切换,实现一次进样,多维色谱分析,快速分析H2、O2、N2、CO2、CO、C10-C60、C2 -C4
、酸、醚等)。 α-DEX-225: 固定相:非键合相,SPB-20聚(20%苯基/80%甲基硅氧烷)中含25%2,3-二-O-乙酰基-6-O-TBDMS-α-环糊精。DEX-225和DEX-325由于很难预测对给定手性化合物或位置同分异构体分离所需的最佳相,我们增加了环糊精基材料品种,以拓宽选择性范围。DEX-225和DEX-325柱使用二-甲基和二-乙酰基取代环糊精,可用于分离挥发性手性分子,包括醇、醛、羧酸、环氧化合物、酯和卤化物。 β-DEX 225对于小分子对映体分离
技术资料暂无技术资料 索取技术资料










