相关产品推荐更多 >
万千商家帮你免费找货
0 人在求购买到急需产品
- 详细信息
- 文献和实验
- 技术资料
- 库存:
大量
- 英文名:
Tigogenin
- 保质期:
1-3年
- 供应商:
上海沪震实业有限公司
- 保存条件:
常温或2-8℃保存
- 规格:
20mg
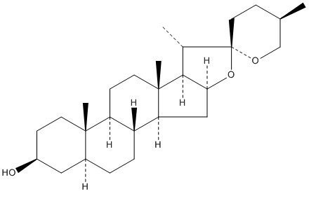
【Product Name】 Tigogenin
【CAS Number】 77-60-1
【Del.CASNumber】 100083-79-2
【中文名称】 剑麻皂苷元
【Chemical Name】 Spirostan-3-ol, (3β,5α,25R)
【Chemical Formula】 C27H44O3
【Molecular Weight】 416.65
【Chemotaxonomic Group】 甾体皂苷及其苷元类 Steroid Saponins and its Sapogenins

相关标准品-对照品列表:
| HZ18081-100g | 肌苷 | Inosine | 58-63-9 | 超纯,99% | 100g | 100.00 |
| HZ18081-10g | 肌苷 | Inosine | 58-63-9 | 超纯,99% | 10g | 20.00 |
| HZ18081-25g | 肌苷 | Inosine | 58-63-9 | 超纯,99% | 25g | 40.00 |
| HZ18081-500g | 肌苷 | Inosine | 58-63-9 | 超纯,99% | 500g | 400.00 |
| HZ18082-100g | 5-肌苷一磷酸二钠盐 | 5′-IMP,2Na | 20813-76-7 | 超纯,99% | 100g | 1200.00 |
| HZ18082-1g | 5-肌苷一磷酸二钠盐 | 5′-IMP,2Na | 20813-76-7 | 超纯,99% | 1g | 50.00 |
| HZ18082-25g | 5-肌苷一磷酸二钠盐 | 5′-IMP,2Na | 20813-76-7 | 超纯,99% | 25g | 500.00 |
| HZ18082-5g | 5-肌苷一磷酸二钠盐 | 5′-IMP,2Na | 20813-76-7 | 超纯,99% | 5g | 180.00 |
| HZ18083-100mg | 5-肌苷二磷酸三钠盐 | 5′-IDP,3Na | 71672-86-1 | 高纯,80% | 100mg | 800.00 |
| HZ18083-500mg | 5-肌苷二磷酸三钠盐 | 5′-IDP,3Na | 71672-86-1 | 高纯,80% | 500mg | 2000.00 |
| HZ18084-1g | 5-肌苷三磷酸三钠盐 | 5′-ITP,3Na | 35908-31-7 | 高纯,98% | 1g | 1200.00 |
风险提示:丁香通仅作为第三方平台,为商家信息发布提供平台空间。用户咨询产品时请注意保护个人信息及财产安全,合理判断,谨慎选购商品,商家和用户对交易行为负责。对于医疗器械类产品,请先查证核实企业经营资质和医疗器械产品注册证情况。
文献和实验3.73 3.61 3.51 3.44 3.37 3.28 3.18 3.07 2.96 2.85 2.72 12 13 4.96 4.35 4.00 3.77 3.60 3.48 3.39 3.31 3.25 3.15 3.05 2.95 2.84 2.72 2.59 13 14 4.86 4.24 3.89 3.66 3.50 3.38 3.28 3.21 3.15 3.05 2.95 2.84 2.73 2.61 2.49 14 15 4.76 4.15 3.80
世界热带植被类型之一。气候特点是高温多雨,年均温20~ 28℃,温差小,年降水量多达 4000~ 6000毫米,相对湿度高,有时达 90%以上,土壤为酸性砖红壤。群落特点是种类繁多,在 100平方米面积上树种可多达 60种,而优势树种不明显。分层多,常 4~ 8层,但不明显。树木高大挺直,多在 30米以上,分枝少,均为常绿树,芽无芽鳞,树皮光滑,色浅而薄,林内阴暗,老茎开花和板状根现象较普遍,有些还有支柱根和气生根(如榕树)。林内粗大藤本植物丰富,如省藤、黄藤,长达数十米至 300米
8.91 9.32 9.67 9.97 10.24 6 3.46 4.34 4.90 5.30 5.63 5.90 6.12 6.32 6.49 5.24 6.33 7.03 7.56 7.97 8.32 8.61 8.87 9.10 7 3.34 4.16 4.63 5.06 5.36 5.61 5.82 6.00 6.16 4.95 5.92 6.54 7.01 7.37 7.68 7.94 8.17 8.37 8 3.26 4.04 4.53 4.89 5.17 5.40 5.60 5.77
技术资料暂无技术资料 索取技术资料










