相关产品推荐更多 >
万千商家帮你免费找货
0 人在求购买到急需产品
- 详细信息
- 文献和实验
- 技术资料
- 库存:
大量
- 英文名:
Solasodine
- 保质期:
1-3年
- 供应商:
上海沪震实业有限公司
- 保存条件:
常温或2-8℃保存
- 规格:
20mg
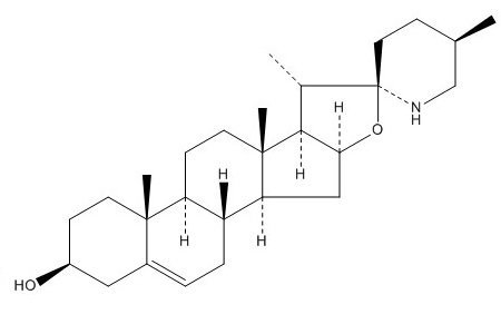
【Product Name】 Solasodine
【CAS Number】 126-17-0
【中文名称】 澳洲茄胺
【Chemical Name】 Spirosol-5-en-3-ol, (3β,22α,25R)-
【Chemical Formula】 C27H43NO2
【Molecular Weight】 413.65
【Chemotaxonomic Group】 其他生物碱类 Other Alkaloids

相关标准品-对照品列表:
| HZ18071-500mg | 5-尿苷二磷酸二钠盐 | 5′-UDP,2Na | 27821-45-0 | 超纯,98% | 500mg | 350.00 |
| HZ18071-5g | 5-尿苷二磷酸二钠盐 | 5′-UDP,2Na | 27821-45-0 | 超纯,98% | 5g | 2500.00 |
| HZ18072-100mg | 5-尿苷三磷酸三钠盐 | 5′-UTP,3Na | 19817-92-6 | 高纯,98% | 100mg | 120.00 |
| HZ18072-1g | 5-尿苷三磷酸三钠盐 | 5′-UTP,3Na | 19817-92-6 | 高纯,98% | 1g | 700.00 |
| HZ18072-500mg | 5-尿苷三磷酸三钠盐 | 5′-UTP,3Na | 19817-92-6 | 高纯,98% | 500mg | 400.00 |
| HZ18073-100mg | 尿苷二磷酸葡糖醛酸 | UDPGA | 63700-19-6 | 生物技术级,98% | 100mg | 3000.00 |
| HZ18073-25mg | 尿苷二磷酸葡糖醛酸 | UDPGA | 63700-19-6 | 生物技术级,98% | 25mg | 980.00 |
| HZ18074-100mg | 尿苷二磷酸葡萄糖 | UDPG | 28053-08-9 | 生物技术级,95% | 100mg | 980.00 |
| HZ18074-25mg | 尿苷二磷酸葡萄糖 | UDPG | 28053-08-9 | 生物技术级,95% | 25mg | 420.00 |
| HZ18075-100g | 鸟苷 | Guanosine | 118-00-3 | 超纯,99% | 100g | 240.00 |
风险提示:丁香通仅作为第三方平台,为商家信息发布提供平台空间。用户咨询产品时请注意保护个人信息及财产安全,合理判断,谨慎选购商品,商家和用户对交易行为负责。对于医疗器械类产品,请先查证核实企业经营资质和医疗器械产品注册证情况。
文献和实验750X2+500X2 (DL2000 plus) P10: 3k+2k+1k+800+600 P11: 3k+1k+800+600 P12: 2k+1k+800+600 P13: 2k+1kX2 (专用于2K和1K的制备) P14: 2K P15: 3K P16: 4K P17: 5K P18: 6K P19: 8K P20: 10K II: PCR 扩增制备DNA marker 新技术(有别于上述载体发酵) 基于PCR 技术生产DNA marker 技术的新突破,成本
) 9.0 9.0 7.2 5.8 6.3 7.8 血红蛋白(g/L) 126 117~183 70~130 110~125
0:05 工具5 0:21 内容订阅21 0:22 制作琼脂蜡块和琼脂糖凝胶22 0:51 分离视网膜51 2:06 制作视网膜切片126 10:17 示例: 视网膜细胞层617 本视频来源于网络,如有异议请联系我们,我们将在5个工作日内作出处理。
技术资料暂无技术资料 索取技术资料










