相关产品推荐更多 >
万千商家帮你免费找货
0 人在求购买到急需产品
- 详细信息
- 技术资料
- 库存:
大量
- 英文名:
Picfeltarraenin IA
- 保质期:
1-3年
- 供应商:
上海沪震实业有限公司
- 保存条件:
常温或2-8℃保存
- 规格:
5mg/25mg/200mg
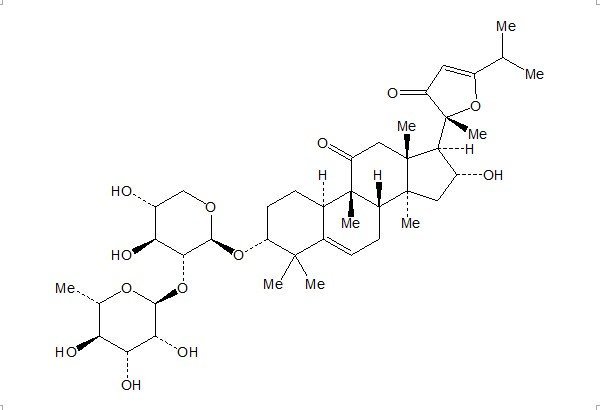
苦玄参苷IA(97230-47-2)
【Product Name】 Picfeltarraenin IA
【CAS Number】 97230-47-2
【Del.CASNumber】 96144-24-0,100945-37-7
【中文名称】 苦玄参苷IA
【Chemical Name】 19-Norlanosta-5,23-diene-11,22-dione, 3-[[2-O-(6-deoxy-α-L-mannopyranosyl)-β-D-xlyopyranosyl]oxy]-20,24-epoxy-16-hydroxy-9-methyl-, (3α,9β,10α,16α)-
【Chemical Formula】 C41H62O13
【Molecular Weight】 762.93
【Chemotaxonomic Group】 三萜类 Triterpenoids

相关标准品-对照品列表:
| HZ14153-1kg | 分子筛13X型 | MoleculaHZ sieves type 13X | 63231-69-6 | CP,球状 | 1kg | 60.00 |
| HZ14154-250g | 依斯卡合剂 | Eschka’s mixtuHZe | 8007-09-8 | AHZ | 250g | 140.00 |
| HZ14155-250g | 硅镁型吸附剂 | FloHZisil | 1343-88-0 | FCP,60-100目 | 250g | 100.00 |
| HZ14156-250g | 硅镁型吸附剂 | FloHZisil | 1343-88-0 | FCP,100-200目 | 250g | 100.00 |
| HZ14157-250g | 三硅酸镁 | Magnesium tHZisilicate | 14987-04-3 | CP | 250g | 60.00 |
| HZ14158-1kg | 717阴离子交换树脂 | Anion exchang HZesin | 122560-63-8 | AHZ | 1kg | 80.00 |
| HZ14159-1kg | 719阴离子交换树脂 | AmHZeHZlite 719 | 63181-94-2 | AHZ | 1kg | 260.00 |
| HZ14159-250g | 719阴离子交换树脂 | AmHZeHZlite 719 | 63181-94-2 | AHZ | 250g | 150.00 |
| HZ14160-100g | D-201高等级大孔强碱Ⅰ型阴离子交换树脂 | Anion exchang HZesin | 9050-97-9 | AHZ | 100g | 150.00 |
| HZ14160-500g | D-201高等级大孔强碱Ⅰ型阴离子交换树脂 | Anion exchang HZesin | 9050-97-9 | AHZ | 500g | 450.00 |
| HZ14161-1kg | 大孔吸附树脂D101 | 9060-05-3 | HZHZ | 1kg | 270.00 |
风险提示:丁香通仅作为第三方平台,为商家信息发布提供平台空间。用户咨询产品时请注意保护个人信息及财产安全,合理判断,谨慎选购商品,商家和用户对交易行为负责。对于医疗器械类产品,请先查证核实企业经营资质和医疗器械产品注册证情况。
技术资料暂无技术资料 索取技术资料
苦玄参苷IA(97230-47-2)
¥200 - 1200










