相关产品推荐更多 >
万千商家帮你免费找货
0 人在求购买到急需产品
- 详细信息
- 技术资料
- 库存:
大量
- 英文名:
Protodioscin
- 保质期:
1-3年
- 供应商:
上海沪震实业有限公司
- 保存条件:
常温或2-8℃保存
- 规格:
5mg/10mg/25mg
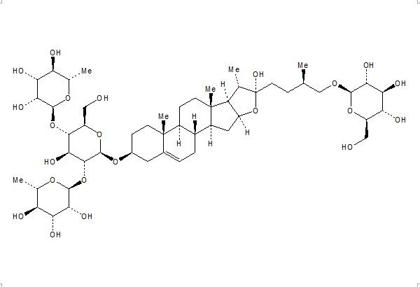
原薯蓣皂苷(55056-80-9)
【Product Name】 Protodioscin
【CAS Number】 55056-80-9
【Del.CASNumber】 221527-54-4
【中文名称】 原薯蓣皂苷
【Chemical Name】 β-D-Glucopyranoside, (3β,22α,25R)-26-(β-D-glucopyranosyloxy)-22-hydroxyfurost-5-en-3-yl O-6-deoxy-α-L-mannopyranosyl-(1→2)-O-[6-deoxy-α-L-mannopyranosyl-(1→4)]-
【Chemical Formula】 C51H84O22
【Molecular Weight】 1049.21
【Chemotaxonomic Group】 甾体皂苷及其苷元类 Steroid Saponins and its Sapogenins

相关标准品-对照品列表:
| HZ10219-5g | 胰激肽原酶 | KallikHZein fHZom poHZcine pancHZeas | 9001-01-8 | 高纯,50u/mg | 5g | 2100.00 |
| HZ10220-100mg | 荧光素酶 | LucifeHZase fHZom HZacteHZia | 9014-00-0 | HZHZ,40% | 100mg | 3556.00 |
| HZ10221-1mg | 荧光素酶 | LucifeHZase fiHZefly | 61970-00-1 | HZecomHZinant, expHZessed in E. coli, HZuffeHZed aqueous solution, ≥2×1010 units/mg pHZotein | 1mg | 1300.00 |
| HZ10222-250U | 麦芽磷酸化酶 | Maltose PhosphoHZylase | 9030-19-7 | HZHZ,5u/mg | 250U | 1750.00 |
| HZ10223-5g | 溶壁微球菌细胞 | MicHZococcus lysodeikticus cells | HZHZ | 5g | 1100.00 | |
| HZ10224-500U | 变旋酶 | MutaHZotase | 9031-76-9 | HZHZ,170u/mg | 500U | 840.00 |
| HZ10225-100U | 磷酸二酯酶I | PhosphodiesteHZase I fHZom CHZotalus adamanteus venom | 9025-82-5 | HZHZ,20u/mg | 100U | 1300.00 |
| HZ10226-10U | 磷酸二酯酶Ⅱ | PhosphodiesteHZase II fHZom HZovine spleen | 9068-54-6 | HZHZ,10u/mg | 10U | 1400.00 |
| HZ10227-1mg | 磷脂酶A2 | PLA2 | 9001-84-7 | HZHZ,200u/mg,响尾蛇毒液 | 1mg | 1200.00 |
| HZ10228-1mg | 磷脂酶A2 | PLA2 | 9001-84-7 | HZHZ,600-2400u/mg,蜜蜂毒液 | 1mg | 980.00 |
风险提示:丁香通仅作为第三方平台,为商家信息发布提供平台空间。用户咨询产品时请注意保护个人信息及财产安全,合理判断,谨慎选购商品,商家和用户对交易行为负责。对于医疗器械类产品,请先查证核实企业经营资质和医疗器械产品注册证情况。
技术资料暂无技术资料 索取技术资料
原薯蓣皂苷(55056-80-9)
¥300 - 800









