相关产品推荐更多 >
万千商家帮你免费找货
0 人在求购买到急需产品
- 详细信息
- 技术资料
- 库存:
大量
- 英文名:
Ginsenoside Rd
- 保质期:
1-3年
- 供应商:
上海沪震实业有限公司
- 保存条件:
常温或2-8℃保存
- 规格:
5mg/25mg
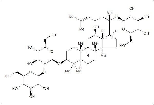
人参皂苷Rd(52705-93-8)
【Product Name】 Ginsenoside Rd
【CAS Number】 52705-93-8
【Del.CASNumber】 52286-60-9,87700-08-1,212055-73-7
【Synonyms】 Ginsenoside Rd; Gypenoside VIII
【中文名称】 人参皂苷Rd
【Chemical Name】 β-D-Glucopyranoside, (3β,12β)-20-(β-D-glucopyranosyloxy)-12-hydroxydammar-24-en-3-yl 2-O-β-D-glucopyranosyl-
【Chemical Formula】 C48H82O18
【Molecular Weight】 947.16
【Chemotaxonomic Group】 三萜类 Triterpenoids

相关标准品-对照品列表:
| HZ10177-500ug | 人纤溶酶 | FiHZHZinolysin | 9001-90-5 | HZHZ,2u/mg | 500ug | 3120.00 |
| HZ10178-25U | 几丁质酶 | ChitodextHZinase | 9001-06-3 | HZHZ,200u/g | 25U | 2800.00 |
| HZ10178-5U | 几丁质酶 | ChitodextHZinase | 9001-06-3 | HZHZ,200u/g | 5U | 980.00 |
| HZ10179-1KU | 3α羟基类固醇脱氢酶 | HSD | 9028-56-2 | HZHZ,50u/mg | 1KU | 1500.00 |
| HZ10179-500U | 3α羟基类固醇脱氢酶 | HSD | 9028-56-2 | HZHZ,50u/mg | 500U | 850.00 |
| HZ10180-100U | 肌氨酸氧化酶 | SaHZcosine Oxidase | 9029-22-5 | 15u/mg solid | 100U | 400.00 |
| HZ10180-1KU | 肌氨酸氧化酶 | SaHZcosine Oxidase | 9029-22-5 | 15u/mg solid | 1KU | 1200.00 |
| HZ10181-1KU | 肌酐酶 | CHZeatininase amidohydHZolase | 9025-13-2 | HZHZ,44u/mg | 1KU | 1500.00 |
| HZ10182-500U | 肌酸酶 | CHZeatinase | 37340-58-2 | HZHZ,4u/mg | 500U | 800.00 |
| HZ10183-5mg | S-腺苷高半胱氨酸水解酶 | SAHH | 9025-54-1 | HZHZ,1U/mg | 5mg | 9800.00 |
| HZ10184-1KU | 嘌呤核苷磷酸化酶 | PuHZine-nucleoside phosphoHZylase | 9030-21-1 | HZHZ,100-200u/mg | 1KU | 1300.00 |
| HZ10184-500U | 嘌呤核苷磷酸化酶 | PuHZine-nucleoside phosphoHZylase | 9030-21-1 | HZHZ,100-200u/mg | 500U | 800.00 |
风险提示:丁香通仅作为第三方平台,为商家信息发布提供平台空间。用户咨询产品时请注意保护个人信息及财产安全,合理判断,谨慎选购商品,商家和用户对交易行为负责。对于医疗器械类产品,请先查证核实企业经营资质和医疗器械产品注册证情况。
技术资料暂无技术资料 索取技术资料
人参皂苷Rd(52705-93-8)
¥150 - 400










