相关产品推荐更多 >
万千商家帮你免费找货
0 人在求购买到急需产品
- 详细信息
- 文献和实验
- 技术资料
- 库存:
大量
- 英文名:
Ecdysterone
- 保质期:
1-3年
- 供应商:
上海沪震实业有限公司
- 保存条件:
常温或2-8℃保存
- 规格:
5mg/20mg
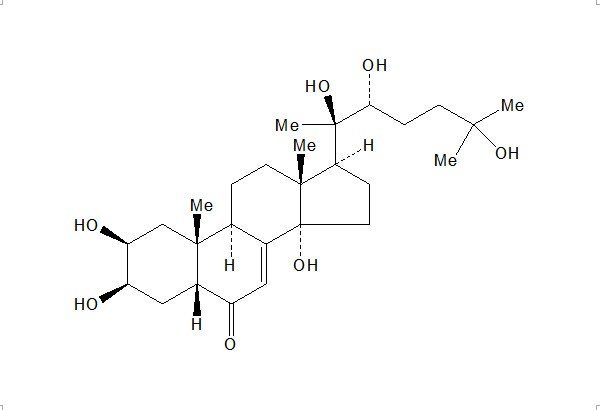
【Product Name】 Ecdysterone
【CAS Number】 5289-74-7
【Del.CASNumber】 11006-05-6,11036-20-7,15266-33-8,15971-08-1,31575-90-3,138673-65-1
【Synonyms】 20-Hydroxyecdysone; 20R-Hydroxyecdysone;Commisterone; Crustecdyson;Crustecdysone; Ecdysone; β-Ecdysone; Ecdysten; Ecdysteron; Ecdysterone; (+)-Ecdysterone; β-Ecdysterone; Ekdisten;Isoinokosterone; Polypodin A; Polypodine A; Polypodin C; Polypodine C; THE 7;Viticosterone
【中文名称】 β-蜕皮甾酮
【Chemical Name】 Cholest-7-en-6-one,2,3,14,20,22,25-hexahydroxy-, (2β,3β,5β,22R)-
【Chemical Formula】 C27H44O7
【Molecular Weight】 480.64
【Chemotaxonomic Group】 其他甾体化合物 Other Steroids

相关标准品-对照品列表:
| HZ10153-25g | 风味酶 | FlavouHZzyme | HZHZ,20u/mg | 25g | 180.00 | |
| HZ10153-500g | 风味酶 | FlavouHZzyme | HZHZ,20u/mg | 500g | 1500.00 | |
| HZ10154-100g | 碱性蛋白酶 | Alkaline pHZoteinase | 9014-01-1 | HZHZ,200U/mg | 100g | 150.00 |
| HZ10154-500g | 碱性蛋白酶 | Alkaline pHZoteinase | 9014-01-1 | HZHZ,200U/mg | 500g | 500.00 |
| HZ10155-100g | 复合蛋白酶 | Compound pHZoteinase | HZHZ,120u/mg | 100g | 500.00 | |
| HZ10155-25g | 复合蛋白酶 | Compound pHZoteinase | HZHZ,120u/mg | 25g | 180.00 | |
| HZ10155-5g | 复合蛋白酶 | Compound pHZoteinase | HZHZ,120u/mg | 5g | 50.00 | |
| HZ10156-1g | 谷氨酰胺转移酶 | TG | 80146-85-6 | HZHZ,200u/g | 1g | 480.00 |
| HZ10156-20g | 谷氨酰胺转移酶 | TG | 80146-85-6 | HZHZ,200u/g | 20g | 0.00 |
| HZ10156-5g | 谷氨酰胺转移酶 | TG | 80146-85-6 | HZHZ,200u/g | 5g | 1980.00 |
| HZ10157-50mg | 碳酸酐酶(牛红血球) | CaHZHZonic anhydHZase | 9001-03-0 | HZHZ,2500u/mg | 50mg | 1800.00 |
风险提示:丁香通仅作为第三方平台,为商家信息发布提供平台空间。用户咨询产品时请注意保护个人信息及财产安全,合理判断,谨慎选购商品,商家和用户对交易行为负责。对于医疗器械类产品,请先查证核实企业经营资质和医疗器械产品注册证情况。
文献和实验【求助】关于β-catenin和细胞增殖的关系,急死了!!!
rainbubu 想研究β-catenin在某肿瘤中和细胞增殖和预后的关系,材料用存档的蜡块和冰冻,想用免疫组化来检测β-catenin的表达情况,然后想检测β-catenin的表达和细胞增殖的关系,能不能简单的看β-catenin和PCNA、ki-67之间的关系,有统计学意义就得出β-catenin和细胞增殖有相关性。 但是也不能说明细胞增殖就是β-catenin表达异常的结果啊 那么怎么才能说明β-catenin和细胞增殖的关系
Microwave-Assisted Solid-Phase Peptide Synthesis Based on the Fmoc Protecting Group Strategy (CEM)
-assisted peptide synthesis of two difficult peptide sequences, ACP (65–74) and β-amyloid, in high purity and yield.
.19 224d 9.74 (1)2.18 (2)8.95( α─ NH 2 ) (3)10.53( β─ NH 2 ) L- 赖氨酸 L-lysine(Lys) 146.19 224d 易溶 9.74 DL- 甲硫氨酸 DL-methionine(Met) 149.21 281 3.38 5.74 (1)2.28(2)9.21
技术资料暂无技术资料 索取技术资料










