相关产品推荐更多 >
万千商家帮你免费找货
0 人在求购买到急需产品
- 详细信息
- 技术资料
- 库存:
767
- 英文名:
NKP-1339
- CAS号:
197723-00-5
- 保质期:
2年
- 供应商:
北京百奥莱博科技有限公司
- 保存条件:
-20℃
特别声明:本产品及我公司所售其他产品均为科研类试剂产品,严禁用于药物、医疗及其他非科研用途。
百奥莱博专业生产销*(代"售")NKP-1339优惠,我公司是生物试剂、化学试剂专业供应商,立足北京,服务全国的高校、研究所、医院、企业科研部门,欢迎各位老师来电垂询订购。
名称:NKP-1339优惠
规格:1mL(10mM)|5mg|10mg|50mg|100mg
品牌:百奥莱博
编号:M01328
英文名:NKP-1339
NKP-1339(IT-139)是一种钌-抗癌化合物复合体,靶点为转铁蛋白(transferrin)。
注:本品仅可用于科研实验,严禁用于临床医疗及其他用途!
CAS号:197723-00-5
别名:IT-139;KP-1339
纯度:98.32%
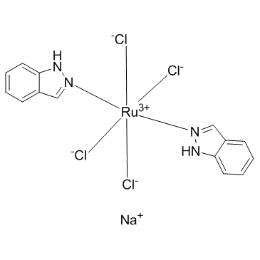
分子式:C₁₄H₁₂Cl₄N₄NaRu
分子量:502.14
结构式:

储存条件:-20℃,有效期2年,溶入溶剂后-20℃请尽量在一个月内使用。
除NKP-1339优惠外,我公司正在打折促销以下产品:
·Tramiprosate
编号:M01943
英文名称:Tramiprosate
规格:1mL(10mM)|1g|5g
Tramiprosate是一个小的,能够化合物,可以结合可溶性Aβ,减少淀粉样蛋白聚合和随后的沉积。
注:本品仅可用于科研实验,严禁用于临床医疗及其他用途!
CAS号:3687-18-1
别名:Homotaurine;3-Amino-1-propanesulfonic acid
纯度:98.0%
分子式:C₃H₉NO₃S
分子量:139.17
结构式:

储存条件:-20℃,有效期2年,溶入溶剂后-20℃请尽量在一个月内使用。
·PDE4抑制剂(Oglemilast)
编号:M04646
英文名称:Oglemilast
规格:1mL(10mM)|5mg|10mg|50mg
Oglemilast(GRC3886)是PDE4抑制剂,临床上用于过敏原诱导的哮喘。
注:本品仅可用于科研实验,严禁用于临床医疗及其他用途!
CAS号:778576-62-8
别名:GRC 3886
纯度:96.83%
分子式:C₂₀H₁₃Cl₂F₂N₃O₅S
分子量:516.3
结构式:

储存条件:-20℃,有效期2年,溶入溶剂后-20℃请尽量在一个月内使用。
NKP-1339优惠关键词:KP-1339,NKP-1339,IT-139
79-14-1 羟基乙酸 glycolic acid
BL0957 胶体金标记兔抗牛IgG抗体
ARB13117 小鼠钥孔虫戚血蓝蛋白(KLH IgG)含量检测 Mouse keyhole limpet hemocyanin,klh igG ELISA KIT
ARB13623 兔子前列腺素E1(PGE1)elisa检测 Rabbit prostaglandin e1,pge1 ELISA KIT
4-*联*(代"*") Thiabendazole 92-66-0
PY02-091 结晶紫中性红胆盐琼脂(VRBA) 250克
BTN61204 一步式PAGE染液 One-Step PAGESTAIN
辣椒素 Cyclo-C 2444-46-4
去氧胆酸(猪) Protein protectant DP4 83-44-3
PAGE非变性蛋白上样缓冲液(5×) 5ml
ARB12126 大鼠丙*(代"酮")酸激酶M2型同工酶(M2-PK)定量分析 Rat pyruvate kinase,m2-pk ELISA KIT
ARB13053 小鼠转化生长因子α(TGF-α)检测服务 Mouse transforming growth factor α,tgf-α ELISA KIT
F030833 BIOTIN标记山羊抗人IgG(H+L)抗体 Polyclonal Goat Anti-Human IgG*BIOTIN
16672-87-0 Ethephon 乙*(代"烯")利
NKP-1339优惠关键词:KP-1339,NKP-1339,IT-139
ARB12603 大鼠黄体生成素释放激素(LHRH)ELISA代测服务 Rat luteinizing hormone-releasing hormone,lhrh ELISA KIT
6106-21-4 Succinic acid Sidium 琥珀酸*
ARB10788 人抗中性粒细胞抗体(ANA)含量测试 Human anti-neutrophil antibody,ana ELISA KIT
磷钨酸负染色液 2%|3%|5% 100ml
ARB10287 人小乳腺表皮粘蛋白(SBEM)含量检测 Human small breast epithelial mucin,sbem ELISA KIT
ARB12481 大鼠前列腺酸性磷酶(PACP)代做ELISA实验
CYB161036 猪IgG(冻干粉)
PY08-006 麦康凯琼脂平板 9CM 10皿/盒,用于肠道致病菌的选择性分离、培养
CYB163072 兔抗生物素-FITC
BTN3671 血液DNAOUT Blood DNAOUT
ARB12466 大鼠促黄体激素(LH)ELISA代测服务 Rat luteotropic hormone,lh ELISA KIT
ARB10426 人布鲁氏菌抗体IgG(BrucellA Ab IgG)elisa测定使用说明书 Human brucella antibody igg,brucella ab igG ELISA KIT
ARB13997 猪瘦素(LEP)检测服务 Porcine leptin,lep ELISA KIT
BL0967 封闭用驴血清(原液) 10ml
ARB12597 大鼠基质金属蛋白酶抑制因子3(TIMP-3)酶标法分析 Rat tissue inhibitors of metalloproteinase 3,timp-3 ELISA KIT
F030217 HRP标记兔抗狗IgG抗体 Rabbit Anti-Dog IgG*HRP
乙二*(代"胺")四乙酸铁*盐 BOC-L-Threonine 15708-41-5
PY02-223 匹克氏肉汤基础B 250克
E0101 抗凝新生牛血(无菌 pet瓶装)
ARB11408 人神经激肽B(NKB)酶联免疫定量检测 Human neurokinins b,nkb ELISA KIT
我公司生产供应销*(代"售")的细胞生物学试剂产品正全系列现货促销,满分期待您的垂询选购NKP-1339优惠。
风险提示:丁香通仅作为第三方平台,为商家信息发布提供平台空间。用户咨询产品时请注意保护个人信息及财产安全,合理判断,谨慎选购商品,商家和用户对交易行为负责。对于医疗器械类产品,请先查证核实企业经营资质和医疗器械产品注册证情况。
技术资料暂无技术资料 索取技术资料










