相关产品推荐更多 >
万千商家帮你免费找货
0 人在求购买到急需产品
- 详细信息
- 文献和实验
- 技术资料
- 库存:
大量
- 英文名:
Eleutheroside E
- 保质期:
1-3年
- 供应商:
上海沪震实业有限公司
- 保存条件:
常温或2-8℃保存
- 规格:
5mg/20mg/200mg
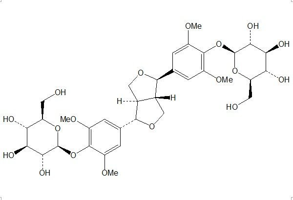
【Product Name】 Eleutheroside E
【CAS Number】 39432-56-9
【Synonyms】 Eleutheroside E; Acanthoside D
【中文名称】 刺五加苷E
【Chemical Name】 β-D-Glucopyranoside, [(1R,3aR,4S,6aS)-tetrahydro-1H,3H-furo[3,4-c]furan-1,
【Chemical Formula】 C34H46O18
【Molecular Weight】 742.72
【Chemotaxonomic Group】 木脂素类 Lignanoids

相关标准品-对照品列表:
| HZ22027-50ml | 常规甘油封片剂 | \N | \N | \N | 50ml | 220.00 |
| HZ22028-100ml | 橙黄Ⅳ指示剂 | \N | \N | \N | 100ml | 70.00 |
| HZ22029-100ml | 橙黄G指示剂 | \N | \N | \N | 100ml | 70.00 |
| HZ22030-100T | 单胺氧化酶(MAO)检测试剂盒(醛苯腙微板法) | \N | \N | \N | 100T | 290.00 |
| HZ22031-50T | 胆碱酯酶(ChE)检测试剂盒(羟胺氯化铁比色法) | \N | \N | \N | 50T | 180.00 |
| HZ22032-100T | 胆碱酯酶(ChE)检测试剂盒(羟胺氯化铁微板法) | \N | \N | \N | 100T | 230.00 |
| HZ22033-4*50ml | 弹力纤维染色液(改良GomoHZi醛品红法) | \N | \N | 4*50ml | 500.00 | |
| HZ22035-10ml | 地塞米松溶液(100×,1mg/ml) | \N | \N | \N | 10ml | 120.00 |
| HZ22035-50ml | 地塞米松溶液(100×,1mg/ml) | \N | \N | \N | 50ml | 350.00 |
| HZ22036-50ml | 地衣红乙醇溶液(1%) | \N | \N | \N | 50ml | 260.00 |
| HZ22037-200T | 淀粉酶(AMS)检测试剂盒(碘-淀粉微板法) | \N | \N | \N | 200T | 100.00 |
风险提示:丁香通仅作为第三方平台,为商家信息发布提供平台空间。用户咨询产品时请注意保护个人信息及财产安全,合理判断,谨慎选购商品,商家和用户对交易行为负责。对于医疗器械类产品,请先查证核实企业经营资质和医疗器械产品注册证情况。
文献和实验并杀伤异化或者被感染的自身细胞,但是与 CTL 不同,它可以识别 MHC I缺失的细胞,与 CTL 互补。人和小鼠的 NK 细胞表面标志物差异较大,在流式检测中所用的抗体也有所不同。人外周血NK细胞主要通过 CD16(Cat#E-AB-F1005)和CD56(Cat#E-AB-F1006)来确定,双阳的细胞被认为是 NK 细胞。在小鼠中,通用的表面标志物是CD49b(Cat#E-AB-F0988),而对于免疫学研究中最常用的 C57BL/6 小鼠,还有专门的 NK 表面标志物 NK1.1(CD
Primer Design(Manual and Automated Primer Design for SEQ and PHY Gaps)
. GC Clamp Avoid runs of identical nucleotides (e.g.ATCGACCCCCTAGAC). Similar Tm (+/-2℃) for primers in same reaction set. Unique to the template. Designing Primers for Sequencing Gaps
率的45.7%(845/1,849)。有56 例PTC死亡病例,占总死亡率的3.0%。在这些死亡病例中,45例(80.4%)BRAF V600E突变阳性。该项研究证实BRAF V600E突变阳性与PTC患者死亡率增加相关。 ADx-ARMS®技术(特异引物双扩增系统)是厦门艾德自主研发的新型核酸检测技术,也是《中华病理学杂志》公布的“基因突变检测专家共识”中推荐的技术之一。AmoyDx® BRAF V600E基因突变检测试剂盒采用ADx-ARMS®专利技术,利用新型探针在实时PCR平台
技术资料暂无技术资料 索取技术资料










