相关产品推荐更多 >
万千商家帮你免费找货
0 人在求购买到急需产品
- 详细信息
- 文献和实验
- 技术资料
- 库存:
大量
- 英文名:
Peiminine
- 保质期:
1-3年
- 供应商:
上海沪震实业有限公司
- 保存条件:
常温或2-8℃保存
- 规格:
5mg/25mg
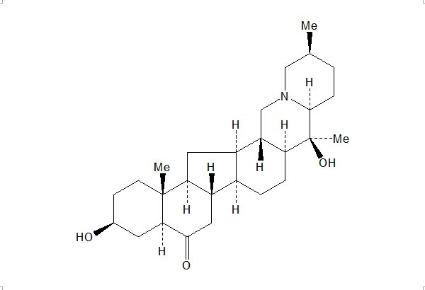
【Product Name】 Peiminine
【CAS Number】 18059-10-4
【Del.CASNumber】 1357-21-7,1357-77-3,1361-22-4,1416-43-9
【Synonyms】 Peiminine; Peinine; Peininine; Verticinone; Fritillarine; Osnovanine
【中文名称】 贝母乙素
【Chemical Name】 Cevan-6-one, 3,20-dihydroxy-, (3β,5α)-
【Chemical Formula】 C27H43NO3
【Molecular Weight】 429.64
【Chemotaxonomic Group】 其他生物碱类 Other Alkaloids

相关标准品-对照品列表:
| HZ20655-500ml | 瑞氏染色液(WHZight stain,即用型) | \N | \N | 500ml | 300.00 | |
| HZ20657-2*100ml | 瑞氏染色液(WHZight stain) | \N | \N | 2*100ml | 70.00 | |
| HZ20657-2*500ml | 瑞氏染色液(WHZight stain) | \N | \N | 2*500ml | 190.00 | |
| HZ20659-2*100ml | 瑞氏-姬姆萨复合染色液 | \N | \N | 2*100ml | 130.00 | |
| HZ20659-2*500ml | 瑞氏-姬姆萨复合染色液 | \N | \N | 2*500ml | 450.00 | |
| HZ20661-4*100ml | 标准革兰氏染色液 | 4*100ml | 130.00 | |||
| HZ20661-4*250ml | 标准革兰氏染色液 | 4*250ml | 260.00 | |||
| HZ20663-4*100ml | 增强革兰氏染色液 | \N | \N | 4*100ml | 250.00 | |
| HZ20664-5*50ml | 改良GHZam-WeigeHZt革兰染色液(苯胺结晶紫法) | \N | \N | 5*50ml | 310.00 | |
| HZ20665-4*50ml | conn改良WeigeHZt革兰染色液 | \N | \N | 4*50ml | 310.00 |
风险提示:丁香通仅作为第三方平台,为商家信息发布提供平台空间。用户咨询产品时请注意保护个人信息及财产安全,合理判断,谨慎选购商品,商家和用户对交易行为负责。对于医疗器械类产品,请先查证核实企业经营资质和医疗器械产品注册证情况。
文献和实验日本东日(TOHNICHI) 扭力扳手 CSP50N3×12D
10500QFR 日本东日(TOHNICHI) 扭力扳手 14000QFR 日本东日(TOHNICHI) 扭力扳手 21000QFR 日本东日(TOHNICHI) 扭力扳手 28000QFR 日本东日(TOHNICHI) 扭力扳手 42000QFR 日本东日(TOHNICHI) 扭力扳手 60000QFR 日本东日(TOHNICHI) 扭力扳手 CEM10N3×8D 日本东日(TOHNICHI) 扭力扳手 CEM20N3×10D
技术资料暂无技术资料 索取技术资料










