相关产品推荐更多 >
万千商家帮你免费找货
0 人在求购买到急需产品
- 详细信息
- 文献和实验
- 技术资料
- 库存:
大量
- 英文名:
Gracillin
- 保质期:
1-3年
- 供应商:
上海沪震实业有限公司
- 保存条件:
常温或2-8℃保存
- 规格:
5mg/10mg/25mg
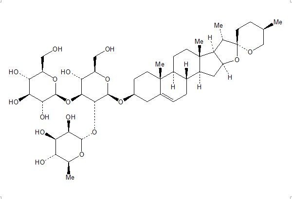
【Product Name】 Gracillin
【CAS Number】 19083-00-2
【Del.CASNumber】 168781-57-5,911213-58-6,1427449-49-7
【Synonyms】 Gracilline; Dulcamarin C; Lilioglycoside G; Diosgenin 3-O-β-gracillimatrioside; NSC698787
【中文名称】 纤细薯蓣皂苷
【Chemical Name】 β-D-Glucopyranoside, (3β,25R)-spirost-5-en-3-yl O-6-deoxy-α-L-mannopyranosyl-(1→2)-O-[β-D-glucopyranosyl-(1→3)]-
【Chemical Formula】 C45H72O17
【Molecular Weight】 885.05
【Chemotaxonomic Group】 甾体皂苷及其苷元类 Steroid Saponins and its

相关标准品-对照品列表:
| HZ20617-50ml | TTC染色液(1%) | \N | \N | 50ml | 60.00 | |
| HZ20618-100ml | TTC染色液(2%) | \N | \N | 100ml | 140.00 | |
| HZ20618-50ml | TTC染色液(2%) | \N | \N | 50ml | 80.00 | |
| HZ20620-50ml | Luxol Fast HZlue染色液 | \N | \N | 50ml | 360.00 | |
| HZ20621-3*50ml | Luxol Fast HZlue髓鞘染色液 | \N | \N | 3*50ml | 450.00 | |
| HZ20622-4*50ml | Weil髓鞘染色液 | \N | \N | 4*50ml | 420.00 | |
| HZ20623-5*50ml | 改良HZielschowsky神经染色液 | \N | \N | 5*50ml | 940.00 | |
| HZ20624-3*50ml | 尼氏染色液(亚甲蓝法) | \N | \N | 3*50ml | 160.00 | |
| HZ20625-2*50ml | 尼氏染色液(甲基紫法) | \N | \N | 2*50ml | 140.00 | |
| HZ20626-2*100ml | 尼氏染色液(焦油紫法) | \N | \N | 2*100ml | 350.00 |
风险提示:丁香通仅作为第三方平台,为商家信息发布提供平台空间。用户咨询产品时请注意保护个人信息及财产安全,合理判断,谨慎选购商品,商家和用户对交易行为负责。对于医疗器械类产品,请先查证核实企业经营资质和医疗器械产品注册证情况。
文献和实验(gongylonemiasis)。 形态 成虫细长如线状,乳白色。寄生于反刍动物体内者:雄虫长21.5~62mm,宽0.1~0.36mm。雌虫长70~145mm,宽0.2~0.53mm。但在人体寄生的虫体较小,国内记载雄虫长21.00~30.68mm,宽0.16~0.23mm,雌虫长32~68.8mm,宽0.2~0.37mm。体表具纤细横纹。前端正中有口,呈漏斗形,口小,周围有分叶状的唇,上有8个小乳突,唇外有一领环,在领环之外左右各有1头感器,其外圈有8个乳突。虫体前段具有成行排列、大小不等、数目不同
阻塞性肺气肿 Obstructive Pulmonary Emphysema
由于肺脏过度充气,残气量增加,X线检查肺透明度增加。但在早期这一X线征象不够敏感。重度肺气肿时胸廓饱满,肋骨走行变平,肋间隙增宽。侧位片胸廓前后径增大,胸骨后间隙过宽。膈肌位置下移,膈穹窿变为扁平。两肺透明度增高,肺野外带血管纹理纤细、稀疏。心影呈垂直狭长。透视下可见胸廓和膈肌活动度减弱。也有表现为肺纹理增多的,肺透明度增高不明显,肺门部肺动脉增宽,心脏常扩大。 1.支气管炎型亦称紫绀臃肿型(BB型) 支气管病变较重,粘膜肿胀,粘液腺增生,肺气肿病变轻微。患者常有多年吸烟史及慢性
技术资料暂无技术资料 索取技术资料







](https://img1.dxycdn.com/2018/0523/941/3279338750383413813-14.jpg!wh200)


