相关产品推荐更多 >
万千商家帮你免费找货
0 人在求购买到急需产品
- 详细信息
- 技术资料
- 库存:
大量
- 英文名:
Salvianolic acid B
- 保质期:
1-3年
- 供应商:
上海沪震实业有限公司
- 保存条件:
常温或2-8℃保存
- 规格:
5mg/25mg/200mg
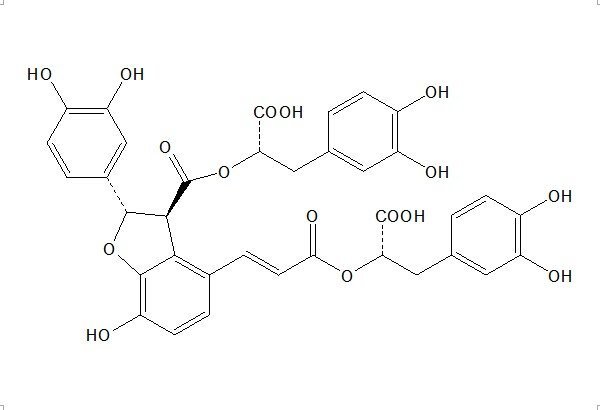
【Product Name】 Salvianolic acid B
【CAS Number】 121521-90-2
【Del.CASNumber】 80996-17-4,115939-25-8,911193-33-4
【Synonyms】 Danshensuan B; Dan Shen Suan B; Danfensuan B; ; Salvianolic acid BLithospermic acid B
【中文名称】 丹酚酸B
【Chemical Name】 3-Benzofurancarboxylic acid, 4-[(1E)-3-[(1R)-1-carboxy-2-(3,4-dihydroxyphenyl)ethoxy]-3-oxo-1-propen-1-yl]-2-(3,4-dihydroxyphenyl)-2,3-dihydro-7-hydroxy-, 3-[(1R)-1-carboxy-2-(3,4-dihydroxyphenyl)ethyl] ester, (2S,3S)-
【Chemical Formula】 C36H30O16
【Molecular Weight】 718.62
【Chemotaxonomic Group】 鞣质 Tannins

相关标准品-对照品列表:
| HZ20008-10ml | 红霉素溶液(EHZythHZomycin,50mg/ml) | \N | \N | 10ml | 130.00 | |
| HZ20009-10ml | 利福平溶液(HZifampicin,50mg/ml) | \N | \N | 10ml | 380.00 | |
| HZ20010-5ml | 两性霉素HZ溶液(AmphoteHZicin HZ,10mg/ml) | \N | \N | 5ml | 260.00 | |
| HZ20011-10ml | 硫酸卡那霉素溶液(Kanamycin,10mg/ml) | \N | \N | 10ml | 80.00 | |
| HZ20012-10ml | 硫酸链霉素溶液(StHZeptomycin,10mg/ml) | \N | \N | 10ml | 80.00 | |
| HZ20013-10ml | 硫酸庆大霉素溶液(Gentamycin Sulfate,50mg/ml) | \N | \N | 10ml | 100.00 | |
| HZ20014-10ml | 氯霉素溶液(ChloHZamphenicol,34mg/ml) | \N | \N | 10ml | 60.00 | |
| HZ20015-10ml | 罗红霉素溶液(HZoxithHZomycin,50mg/ml) | \N | \N | 10ml | 190.00 | |
| HZ20016-100ml | 青霉素-链霉素混合溶液(100×双抗) | \N | \N | 100ml | 60.00 | |
| HZ20017-100ml | 青霉素-链霉素-庆大霉素混合溶液(100×三抗) | \N | \N | 100ml | 170.00 | |
| HZ20018-10ml | 羧苄青霉素溶液(CaHZHZenicillin,50mg/ml) | \N | \N | 10ml | 140.00 | |
| HZ20019-1ml | 细胞松弛素HZ储存液(Cytochalasin HZ,1mg/ml) | \N | \N | 1ml | 1060.00 |
风险提示:丁香通仅作为第三方平台,为商家信息发布提供平台空间。用户咨询产品时请注意保护个人信息及财产安全,合理判断,谨慎选购商品,商家和用户对交易行为负责。对于医疗器械类产品,请先查证核实企业经营资质和医疗器械产品注册证情况。
技术资料暂无技术资料 索取技术资料










