相关产品推荐更多 >
万千商家帮你免费找货
0 人在求购买到急需产品
- 详细信息
- 文献和实验
- 技术资料
- 库存:
386
- 英文名:
Exendin derivative 1
- 保质期:
2年
- 供应商:
北京百奥莱博科技有限公司
- 保存条件:
-20℃
特别声明:本产品及我公司所售其他产品均为科研类试剂产品,严禁用于药物、医疗及其他非科研用途。
百奥莱博专业生产销*(代"售")Exendin derivative 1(国产,进口),我公司是生物试剂、化学试剂专业供应商,立足北京,服务全国的高校、研究所、医院、企业科研部门,欢迎各位老师来电垂询订购。
名称:Exendin derivative 1(国产,进口)
规格:1mL(10mM)|1mg|5mg|10mg|25mg
产地:国产|进口
编号:M07433
英文名:Exendin derivative 1
Exendin derivative1是由39个*基酸组成的多肽。
注:本品仅可用于科研实验,严禁用于临床医疗及其他用途!
别名:HAEGTFTSDVSKQMEEEAVRLFIEWLKNGGPSSGAPPPS
纯度:98.94%
分子式:C₁₈₄H₂₈₁N₄₉O₆₁S
分子量:4187.56
结构式:

储存条件:-20℃,有效期2年,溶入溶剂后-20℃请尽量在一个月内使用。
想要了解更多关于Exendin derivative 1(国产,进口)的价格、品牌、厂家、说明书、促销信息,请和我们联*(代"系")。此外我公司还销*(代"售")下面的产品:
三*甲基*树脂 β-Amylase
BTN131187 Acryl DNA助沉剂 Acryl DNADOWN
PP0701 蛋白印迹膜再生液Stripping Buffer
CYB167065 兔抗狗IgG
PY02-256 TTC卵磷脂-吐温80-营养琼脂 250克
嗜热菌蛋白酶 Taurine 9073-78-3
BTN131144 山羊抗小鼠IgG(H+L),碱性磷酸酶标记 Goat Anti-Mouse IgG(H+L),AP Conjugate
D0301 脱纤维绵羊血(无菌 pet瓶装) 100ml/200ml/500ml
EGTA溶液(0.2mol/L,pH7.0) 100ml
CYB162018 兔抗Avidin(卵清亲合素) 0.5ml
ARB14097 人白细胞介素17A(IL-17A)Elisa分析 Human interleukin 17a (IL-17a) ELISA KIT
Tris-甘*酸电泳缓冲液(5×SDS-PAGE) 100ml|500ml
ARB10795 人抗心肌抗体(AMA)酶联免疫定量检测 Human anti-myocardial antibody,ama ELISA KIT
抗蛋白酶 EDTA-MgNa2 37682-72-7
Exendin derivative 1(国产,进口)关键词:HAEGTFTSDVSKQMEEEAVRLFIEWLKNGGPSSGAPPPS,百奥莱博,Exendin derivative 1
PY01-100 海藻酸* 500克
ARB12404 大鼠组织因子途径抑制物(TFPI)elisa测定使用说明书 Rat tissue factor pathway inhibitor,tfpi ELISA KIT
PY08-021 马铃薯葡萄糖琼脂平板 9CM 10皿/盒,用于霉菌和酵母菌的计数
MOPS电泳缓冲液(1×,RNase free) 500ml
ARB12670 大鼠雌二醇(E2)elisa检测说明书 Rat estradiol,e2 ELISA KIT
ARB11546 人凋亡相关半胱*酸肽酶4(CAsp4)代做ELISA实验 Human caspase 4-apoptosis-related cysteine peptidase,casp4 ELISA KIT
BL0791 大鼠IgG抗原(干粉)
HC0036 96孔U型底培养板
BTN120619 dGTP溶液,100mM dGTP Solution
*并-18-冠醚-6 BAEE 14098-24-9
BL1247 D2000 DNA Ladder
100bp DNA Ladder Ⅱ Urea
ARB10512 人白细胞介素29(IL-29)elisa测定使用说明书 Human interleukin 29,IL-29ELISA KIT
Exendin derivative 1(国产,进口)关键词:HAEGTFTSDVSKQMEEEAVRLFIEWLKNGGPSSGAPPPS,百奥莱博,Exendin derivative 1
·拓扑异构酶抑制剂(PNU-159682)
编号:M00608
英文名称:PNU-159682
规格:1mL(10mM)|1mg|5mg|10mg|50mg
PNU-159682是Nemorubicin的有效代谢物,具有很强的细胞毒性,为有效的拓扑异构酶抑制剂,和ADCs cytotoxin。
注:本品仅可用于科研实验,严禁用于临床医疗及其他用途!
CAS号:202350-68-3
纯度:95.19%
分子式:C₃₂H₃₅NO₁₃
分子量:641.62
结构式:

储存条件:-20℃,有效期2年,溶入溶剂后-20℃请尽量在一个月内使用。
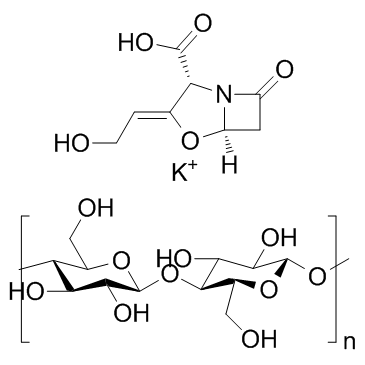
·β-内酰胺酶抑制剂(Potassium clavulanate cellulose)
编号:M03823
英文名称:Potassium clavulanate cellulose
规格:10mg|50mg|100mg|200mg|500mg
Potassium clavulanate cellulose是克拉维酸*和纤维素的混合物,是一种β-内酰胺酶抑制剂。
注:本品仅可用于科研实验,严禁用于临床医疗及其他用途!
别名:Potassium clavulanate:cellulose (1:1)
分子式:C₈H₉NO₅K .(C₆H₁₀O₅)n
分子量:238.26 (Potassium clavulanate)
结构式:

储存条件:-20℃,有效期2年,溶入溶剂后-20℃请尽量在一个月内使用。
我公司生产供应销*(代"售")的细胞生物学试剂正全品类优惠促销,十分期待您的咨询选购Exendin derivative 1(国产,进口)。
风险提示:丁香通仅作为第三方平台,为商家信息发布提供平台空间。用户咨询产品时请注意保护个人信息及财产安全,合理判断,谨慎选购商品,商家和用户对交易行为负责。对于医疗器械类产品,请先查证核实企业经营资质和医疗器械产品注册证情况。
文献和实验就是由于血清的原因,经验认为:国产血清容易发生黑色素的沉积,而且当血清从-20℃中拿出溶解使用时,最好要按照-20℃——-4℃——室温的过程一步一步来,不要急于速溶,否则细胞间质中很容易产生黑色物质,建议用56℃灭活的10%进口胎牛血清,胰酶消化浓度稍低些,继续观察培养,如果小黑颗粒没有影响细胞生长状态也没就什么大碍了! 51、关于明胶缓冲液的问题: 问:今天购买的sigma公司的c5a,上面说稀释时要在缓冲液里加入明胶,想请问下明胶缓冲液有哪些呢,怎么配置啊(明胶好像不溶于水,加热溶解后会不会再析出
技术资料暂无技术资料 索取技术资料










