相关产品推荐更多 >
万千商家帮你免费找货
0 人在求购买到急需产品
- 详细信息
- 文献和实验
- 技术资料
- 库存:
大量
- 英文名:
Physcion-8-O-β-D-glucoside
- 保质期:
1-3年
- 供应商:
上海沪震实业有限公司
- 保存条件:
常温或2-8℃保存
- 规格:
5mg/10mg/25mg
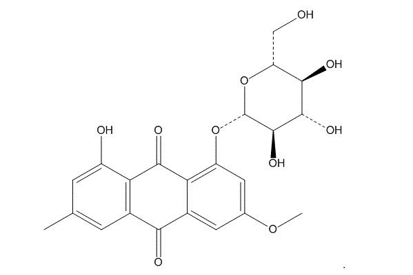
【Product Name】 Physcion-8-O-β-D-glucoside
【CAS Number】 23451-01-6
【中文名称】 大黄素甲醚-8-O-β-D-葡萄糖苷
【Chemical Name】 9,10-Anthracenedione, 1-(β-D-glucopyranosyloxy)-8-hydroxy-3-methoxy-6-methyl-
【Chemical Formula】 C22H22O10
【Molecular Weight】 446.41
【Chemotaxonomic Group】 醌类化合物 Quinones

相关标准品-对照品列表:
| H22425-包 | 培养皿 | \N | \N | 60*15mm | 10/包 | 7.20 |
| H22426-包 | 培养皿 | \N | \N | 70*15mm | 10/包 | 8.40 |
| H22427-包 | 培养皿 | \N | \N | 50*15mm | 10/包 | 7.20 |
| H22428-包 | 培养皿 | \N | \N | 35*15mm | 10/包 | 6.00 |
| H22429-包 | 分格培养皿 | \N | \N | 90*15mm | 10/包 | 10.80 |
| H22430-包 | 三格培养皿 | \N | \N | 90*15mm | 10/包 | 11.40 |
| H22431-包 | PCHZ 板 | \N | \N | 96孔 | 10/包 | 120.00 |
| H22432-包 | PCHZ 板 | \N | \N | 96孔 | 10/包 | 120.00 |
| H22433-只 | 培养板 | \N | \N | 24孔 | 1只 | 10.80 |
| H22434-只 | 培养板 | \N | \N | 6孔 | 1只 | 10.80 |
| H22435-只 | 酶标板 | 96孔 | 1只 | 10.80 | ||
| H22436-只 | 平底酶标板 | \N | \N | 96孔(可拆) | 1只 | 12.00 |
风险提示:丁香通仅作为第三方平台,为商家信息发布提供平台空间。用户咨询产品时请注意保护个人信息及财产安全,合理判断,谨慎选购商品,商家和用户对交易行为负责。对于医疗器械类产品,请先查证核实企业经营资质和医疗器械产品注册证情况。
文献和实验虎杖为蓼科植物虎杖(Polygonumcus pidatum siedet Zucc)的根及根茎。别名阴阳莲,花斑竹。味苦、性微寒。能清热解毒、祛风利湿、利尿通淋、祛痰、止咳、通经等。主要用于湿热黄疸、风湿痹痛、淋浊带下、经闭、烫伤。 虎杖中含有较多的羟基蒽醌类成分及二苯乙烯类成分。其中主要有大黄素、大黄、大黄素-6-甲醚、大黄素3-D-葡萄糖苷及β-谷甾醇、鞣质等。虎杖得主要药理作用有抗菌、抗病毒及镇咳平喘、常用来治疗急性炎症、烧烫伤、肝炎、气管炎等。 虎杖中主要成分的结构
指 2分子 D-葡萄糖α -1, 4成键的二糖。按化学系统命名法称为 4-O-α -D-葡萄吡喃糖基 -( 1→ 4) -α -D-葡萄吡喃糖。由于用麦芽或从麦芽抽提出的糖化酶(淀粉酶)作用于淀粉溶液生成的化合物,所以产生这一名称。作为天然的淀粉的代谢产物,并不象蔗糖那样最初是由生物细胞合成利用的二糖物质。具有比蔗糖甜度低的良好甜味,发酵性能也佳,所以以淀粉为原料的制造麦芽糖的工业很早以来就很发达。可被α -葡萄糖苷酶分解成 D-葡萄糖,因此动物
- A83-01 - - 0.25μM - Nicotinamide - - 5mM - N2 - - 1× - B27 - - 1× - N-acetylcysteine - - 1.25mM - 17-β Estradiol - - 10nM - p38i(SB
技术资料暂无技术资料 索取技术资料










