相关产品推荐更多 >
万千商家帮你免费找货
0 人在求购买到急需产品
- 详细信息
- 技术资料
- 库存:
大量
- 英文名:
Spinosin
- 保质期:
1-3年
- 供应商:
上海沪震实业有限公司
- 保存条件:
常温或2-8℃保存
- 规格:
5mg/25mg/100mg
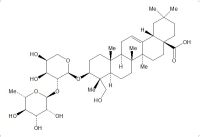
斯皮诺素(72063-39-9)
【Product Name】 Spinosin
【CAS Number】 72063-39-9
【Synonyms】 Spinosin
【中文名称】 斯皮诺素
【Chemical Name】 Spinosin A; 2''-O-β-D-Glucopyranosylswertisin; 2-(4-Hydroxyphenyl)-5-hydroxy-7-methoxy-6-[2-O-(β-D-glucopyranosyl)-β-D-glucopyranosyl]-4H-1-benzopyran-4-one
【Chemical Formula】 C28H32O15
【Molecular Weight】 608.55
【Chemotaxonomic Group】 黄酮类/二氢黄酮类 Flavones/Flavanones

相关标准品-对照品列表:
| H22304-包 | 圆底试管 | \N | \N | 13*78mm | 500只/包 | 54.00 |
| H22305-包 | 圆底试管 | \N | \N | 13*75mm | 500只/包 | 54.00 |
| H22306-包 | 圆底试管 | \N | \N | 12*60mm | 500只/包 | 42.00 |
| H22307-包 | 圆底试管 | \N | \N | 12*75mm | 500只/包 | 48.00 |
| H22308-包 | 圆底试管 | \N | \N | 13*75mm | 500只/包 | 48.00 |
| H22309-包 | 圆底试管 | \N | \N | 15*100mm | 250只/报 | 51.00 |
| H22310-包 | 圆底试管 | \N | \N | 16*100mm | 250只/包 | 54.00 |
| H22311-包 | 流失细胞仪器 | \N | \N | 12*75mm | 500只/包 | 150.00 |
| H22312-包 | 圆底试管 | \N | \N | 13*100mm | 400只/包 | 86.40 |
| H22313-包 | 圆底试管 | \N | \N | 12*100mm | 400只/包 | 86.40 |
风险提示:丁香通仅作为第三方平台,为商家信息发布提供平台空间。用户咨询产品时请注意保护个人信息及财产安全,合理判断,谨慎选购商品,商家和用户对交易行为负责。对于医疗器械类产品,请先查证核实企业经营资质和医疗器械产品注册证情况。
技术资料暂无技术资料 索取技术资料
斯皮诺素(72063-39-9)
¥250 - 1500









